Номер 363, страница 112 - гдз по алгебре 10-11 класс учебник Алимов, Колягин

Алгебра, 10-11 класс Учебник, авторы: Алимов Шавкат Арифджанович, Колягин Юрий Михайлович, Ткачева Мария Владимировна, Федорова Надежда Евгеньевна, Шабунин Михаил Иванович, издательство Просвещение, Москва, 2014

Авторы: Алимов Ш. А., Колягин Ю. М., Ткачева М. В., Федорова Н. Е., Шабунин М. И.

Тип: Учебник

Издательство: Просвещение

Год издания: 2014 - 2026

Уровень обучения: базовый и углублённый

Цвет обложки: синий, фиолетовый

ISBN: 978-5-09-112136-0

Допущено Министерством просвещения Российской Федерации

Математика: алгебра и начала математического анализа, геометрия

Глава 4. Логарифмическая функция. Параграф 20. Логарифмические неравенства - номер 363, страница 112.

№363 (с. 112)
Условие. №363 (с. 112)
скриншот условия
Алгебра, 10-11 класс Учебник, авторы: Алимов Шавкат Арифджанович, Колягин Юрий Михайлович, Ткачева Мария Владимировна, Федорова Надежда Евгеньевна, Шабунин Михаил Иванович, издательство Просвещение, Москва, 2014, страница 112, номер 363, Условие

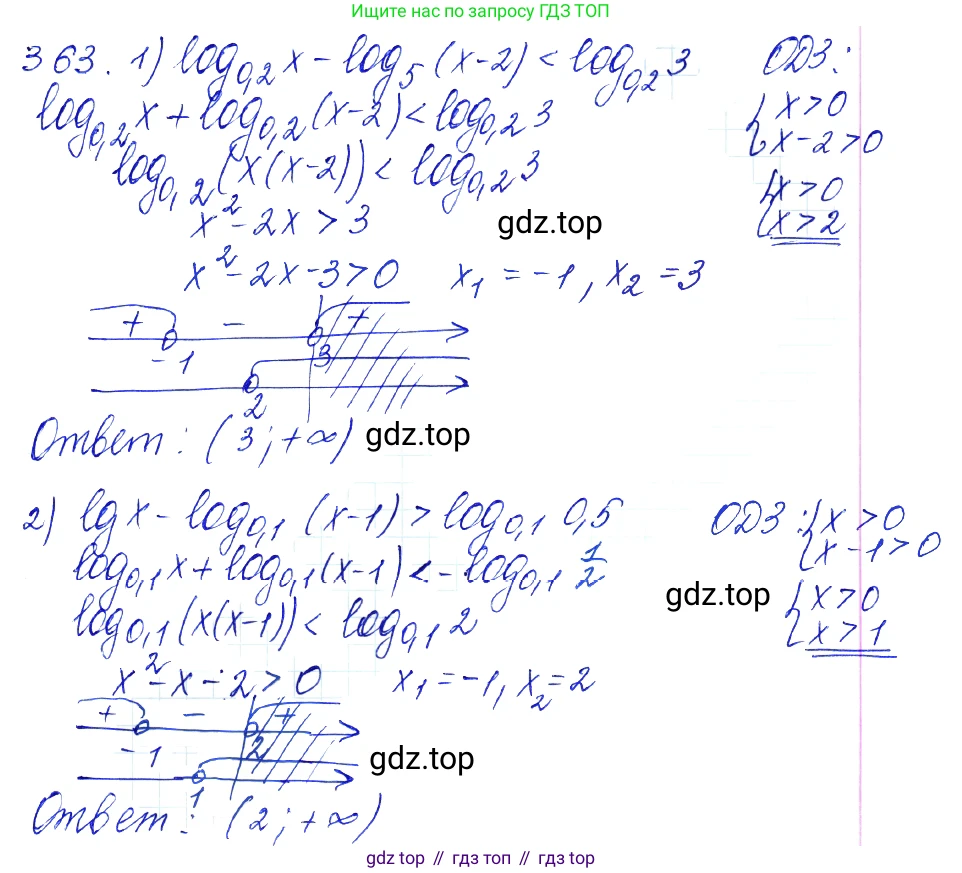
363 1) $\log_{0,2} x - \log_5 (x - 2) < \log_{0,2} 3;$

2) $\lg x - \log_{0,1} (x - 1) > \log_{0,1} 0,5.$

Решение 1. №363 (с. 112)
Алгебра, 10-11 класс Учебник, авторы: Алимов Шавкат Арифджанович, Колягин Юрий Михайлович, Ткачева Мария Владимировна, Федорова Надежда Евгеньевна, Шабунин Михаил Иванович, издательство Просвещение, Москва, 2014, страница 112, номер 363, Решение 1
Алгебра, 10-11 класс Учебник, авторы: Алимов Шавкат Арифджанович, Колягин Юрий Михайлович, Ткачева Мария Владимировна, Федорова Надежда Евгеньевна, Шабунин Михаил Иванович, издательство Просвещение, Москва, 2014, страница 112, номер 363, Решение 1 (продолжение 2)
Решение 2. №363 (с. 112)
Алгебра, 10-11 класс Учебник, авторы: Алимов Шавкат Арифджанович, Колягин Юрий Михайлович, Ткачева Мария Владимировна, Федорова Надежда Евгеньевна, Шабунин Михаил Иванович, издательство Просвещение, Москва, 2014, страница 112, номер 363, Решение 2
Алгебра, 10-11 класс Учебник, авторы: Алимов Шавкат Арифджанович, Колягин Юрий Михайлович, Ткачева Мария Владимировна, Федорова Надежда Евгеньевна, Шабунин Михаил Иванович, издательство Просвещение, Москва, 2014, страница 112, номер 363, Решение 2 (продолжение 2)
Решение 3. №363 (с. 112)
Алгебра, 10-11 класс Учебник, авторы: Алимов Шавкат Арифджанович, Колягин Юрий Михайлович, Ткачева Мария Владимировна, Федорова Надежда Евгеньевна, Шабунин Михаил Иванович, издательство Просвещение, Москва, 2014, страница 112, номер 363, Решение 3
Решение 4. №363 (с. 112)
Алгебра, 10-11 класс Учебник, авторы: Алимов Шавкат Арифджанович, Колягин Юрий Михайлович, Ткачева Мария Владимировна, Федорова Надежда Евгеньевна, Шабунин Михаил Иванович, издательство Просвещение, Москва, 2014, страница 112, номер 363, Решение 4
Решение 5. №363 (с. 112)
Алгебра, 10-11 класс Учебник, авторы: Алимов Шавкат Арифджанович, Колягин Юрий Михайлович, Ткачева Мария Владимировна, Федорова Надежда Евгеньевна, Шабунин Михаил Иванович, издательство Просвещение, Москва, 2014, страница 112, номер 363, Решение 5
Решение 6. №363 (с. 112)
Алгебра, 10-11 класс Учебник, авторы: Алимов Шавкат Арифджанович, Колягин Юрий Михайлович, Ткачева Мария Владимировна, Федорова Надежда Евгеньевна, Шабунин Михаил Иванович, издательство Просвещение, Москва, 2014, страница 112, номер 363, Решение 6
Решение 7. №363 (с. 112)
Алгебра, 10-11 класс Учебник, авторы: Алимов Шавкат Арифджанович, Колягин Юрий Михайлович, Ткачева Мария Владимировна, Федорова Надежда Евгеньевна, Шабунин Михаил Иванович, издательство Просвещение, Москва, 2014, страница 112, номер 363, Решение 7 Алгебра, 10-11 класс Учебник, авторы: Алимов Шавкат Арифджанович, Колягин Юрий Михайлович, Ткачева Мария Владимировна, Федорова Надежда Евгеньевна, Шабунин Михаил Иванович, издательство Просвещение, Москва, 2014, страница 112, номер 363, Решение 7 (продолжение 2)
Решение 8. №363 (с. 112)

1) $\log_{0.2} x - \log_{5} (x - 2) < \log_{0.2} 3$

Сначала найдем область допустимых значений (ОДЗ). Аргументы логарифмов должны быть строго положительными:

$\begin{cases} x > 0 \\ x - 2 > 0 \end{cases} \implies \begin{cases} x > 0 \\ x > 2 \end{cases} \implies x > 2.$

Таким образом, ОДЗ: $x \in (2, +\infty)$.

Приведем все логарифмы к одному основанию. Заметим, что $0.2 = \frac{1}{5} = 5^{-1}$. Используем формулу $\log_{a^k} b = \frac{1}{k} \log_a b$.

Преобразуем логарифмы с основанием $0.2$ к основанию 5:

$\log_{0.2} x = \log_{5^{-1}} x = -1 \cdot \log_5 x = -\log_5 x$

$\log_{0.2} 3 = \log_{5^{-1}} 3 = -1 \cdot \log_5 3 = -\log_5 3$

Подставим преобразованные логарифмы в исходное неравенство:

$-\log_5 x - \log_5 (x - 2) < -\log_5 3$

Умножим обе части неравенства на -1, при этом знак неравенства изменится на противоположный:

$\log_5 x + \log_5 (x - 2) > \log_5 3$

Используем свойство суммы логарифмов $\log_a b + \log_a c = \log_a (bc)$:

$\log_5 (x(x - 2)) > \log_5 3$

Так как основание логарифма $5 > 1$, логарифмическая функция является возрастающей. Поэтому при переходе к неравенству для аргументов знак неравенства сохраняется:

$x(x - 2) > 3$

Решим полученное квадратное неравенство:

$x^2 - 2x - 3 > 0$

Найдем корни соответствующего уравнения $x^2 - 2x - 3 = 0$. По теореме Виета, корни $x_1 = 3, x_2 = -1$.

Неравенство можно записать в виде $(x - 3)(x + 1) > 0$. Решением этого неравенства является объединение интервалов $x \in (-\infty, -1) \cup (3, +\infty)$.

Теперь найдем пересечение полученного решения с ОДЗ $x > 2$.

Пересечением множеств $(-\infty, -1) \cup (3, +\infty)$ и $(2, +\infty)$ является интервал $(3, +\infty)$.

Ответ: $x \in (3, +\infty)$.

2) $\lg x - \log_{0.1} (x - 1) > \log_{0.1} 0.5$

Найдем область допустимых значений (ОДЗ):

$\begin{cases} x > 0 \\ x - 1 > 0 \end{cases} \implies \begin{cases} x > 0 \\ x > 1 \end{cases} \implies x > 1.$

Таким образом, ОДЗ: $x \in (1, +\infty)$.

Приведем все логарифмы к одному основанию. Заметим, что $\lg x$ — это логарифм по основанию 10, а $0.1 = 10^{-1}$. Используем формулу $\log_{a^k} b = \frac{1}{k} \log_a b$.

Преобразуем логарифмы с основанием 0.1 к основанию 10:

$\log_{0.1} (x - 1) = \log_{10^{-1}} (x - 1) = -1 \cdot \log_{10} (x - 1) = -\lg(x - 1)$

$\log_{0.1} 0.5 = \log_{10^{-1}} 0.5 = -1 \cdot \log_{10} 0.5 = -\lg 0.5$

Подставим преобразованные логарифмы в исходное неравенство:

$\lg x - (-\lg(x - 1)) > -\lg 0.5$

$\lg x + \lg(x - 1) > -\lg 0.5$

Используем свойство суммы логарифмов $\log_a b + \log_a c = \log_a (bc)$ и свойство степени логарифма $k \log_a b = \log_a (b^k)$:

$\lg(x(x - 1)) > \lg(0.5^{-1})$

Поскольку $0.5^{-1} = (\frac{1}{2})^{-1} = 2$, получаем:

$\lg(x(x - 1)) > \lg(2)$

Так как основание логарифма $10 > 1$, логарифмическая функция является возрастающей. Поэтому при переходе к неравенству для аргументов знак неравенства сохраняется:

$x(x - 1) > 2$

Решим полученное квадратное неравенство:

$x^2 - x - 2 > 0$

Найдем корни соответствующего уравнения $x^2 - x - 2 = 0$. По теореме Виета, корни $x_1 = 2, x_2 = -1$.

Неравенство можно записать в виде $(x - 2)(x + 1) > 0$. Решением этого неравенства является объединение интервалов $x \in (-\infty, -1) \cup (2, +\infty)$.

Найдем пересечение полученного решения с ОДЗ $x > 1$.

Пересечением множеств $(-\infty, -1) \cup (2, +\infty)$ и $(1, +\infty)$ является интервал $(2, +\infty)$.

Ответ: $x \in (2, +\infty)$.

Помогло решение? Оставьте отзыв в комментариях ниже.

Присоединяйтесь к Телеграм-группе @top_gdz

Присоединиться

Мы подготовили для вас ответ c подробным объяснением домашего задания по алгебре за 10-11 класс, для упражнения номер 363 расположенного на странице 112 к учебнику 2014 года издания для учащихся школ и гимназий.

Теперь на нашем сайте ГДЗ.ТОП вы всегда легко и бесплатно найдёте условие с правильным ответом на вопрос «Как решить ДЗ» и «Как сделать» задание по алгебре к упражнению №363 (с. 112), авторов: Алимов (Шавкат Арифджанович), Колягин (Юрий Михайлович), Ткачева (Мария Владимировна), Федорова (Надежда Евгеньевна), Шабунин (Михаил Иванович), ФГОС (старый) базовый и углублённый уровень обучения учебного пособия издательства Просвещение.