Номер 359, страница 112 - гдз по алгебре 10-11 класс учебник Алимов, Колягин

Алгебра, 10-11 класс Учебник, авторы: Алимов Шавкат Арифджанович, Колягин Юрий Михайлович, Ткачева Мария Владимировна, Федорова Надежда Евгеньевна, Шабунин Михаил Иванович, издательство Просвещение, Москва, 2014

Авторы: Алимов Ш. А., Колягин Ю. М., Ткачева М. В., Федорова Н. Е., Шабунин М. И.

Тип: Учебник

Издательство: Просвещение

Год издания: 2014 - 2025

Уровень обучения: базовый и углублённый

Цвет обложки: синий, фиолетовый

ISBN: 978-5-09-112136-0

Допущено Министерством просвещения Российской Федерации

Математика: алгебра и начала математического анализа, геометрия

Популярные ГДЗ в 10 классе

Глава 4. Логарифмическая функция. Параграф 20. Логарифмические неравенства - номер 359, страница 112.

№359 (с. 112)
Условие. №359 (с. 112)
скриншот условия
Алгебра, 10-11 класс Учебник, авторы: Алимов Шавкат Арифджанович, Колягин Юрий Михайлович, Ткачева Мария Владимировна, Федорова Надежда Евгеньевна, Шабунин Михаил Иванович, издательство Просвещение, Москва, 2014, страница 112, номер 359, Условие

Решить неравенство (359—367).

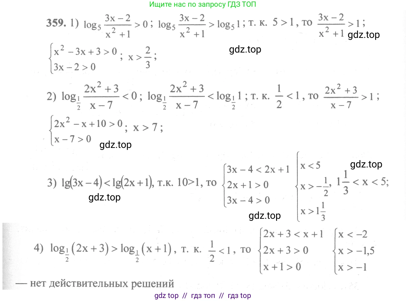
359 1) $log_5 \frac{3x-2}{x^2+1} > 0$;

2) $log_{\frac{1}{2}} \frac{2x^2+3}{x-7} < 0$;

3) $lg (3x-4) < lg (2x+1)$;

4) $log_{\frac{1}{2}} (2x+3) > log_{\frac{1}{2}} (x+1)$.

Решение 1. №359 (с. 112)
Алгебра, 10-11 класс Учебник, авторы: Алимов Шавкат Арифджанович, Колягин Юрий Михайлович, Ткачева Мария Владимировна, Федорова Надежда Евгеньевна, Шабунин Михаил Иванович, издательство Просвещение, Москва, 2014, страница 112, номер 359, Решение 1
Алгебра, 10-11 класс Учебник, авторы: Алимов Шавкат Арифджанович, Колягин Юрий Михайлович, Ткачева Мария Владимировна, Федорова Надежда Евгеньевна, Шабунин Михаил Иванович, издательство Просвещение, Москва, 2014, страница 112, номер 359, Решение 1 (продолжение 2)
Алгебра, 10-11 класс Учебник, авторы: Алимов Шавкат Арифджанович, Колягин Юрий Михайлович, Ткачева Мария Владимировна, Федорова Надежда Евгеньевна, Шабунин Михаил Иванович, издательство Просвещение, Москва, 2014, страница 112, номер 359, Решение 1 (продолжение 3)
Алгебра, 10-11 класс Учебник, авторы: Алимов Шавкат Арифджанович, Колягин Юрий Михайлович, Ткачева Мария Владимировна, Федорова Надежда Евгеньевна, Шабунин Михаил Иванович, издательство Просвещение, Москва, 2014, страница 112, номер 359, Решение 1 (продолжение 4)
Решение 2. №359 (с. 112)
Алгебра, 10-11 класс Учебник, авторы: Алимов Шавкат Арифджанович, Колягин Юрий Михайлович, Ткачева Мария Владимировна, Федорова Надежда Евгеньевна, Шабунин Михаил Иванович, издательство Просвещение, Москва, 2014, страница 112, номер 359, Решение 2
Алгебра, 10-11 класс Учебник, авторы: Алимов Шавкат Арифджанович, Колягин Юрий Михайлович, Ткачева Мария Владимировна, Федорова Надежда Евгеньевна, Шабунин Михаил Иванович, издательство Просвещение, Москва, 2014, страница 112, номер 359, Решение 2 (продолжение 2)
Решение 4. №359 (с. 112)
Алгебра, 10-11 класс Учебник, авторы: Алимов Шавкат Арифджанович, Колягин Юрий Михайлович, Ткачева Мария Владимировна, Федорова Надежда Евгеньевна, Шабунин Михаил Иванович, издательство Просвещение, Москва, 2014, страница 112, номер 359, Решение 4
Решение 5. №359 (с. 112)
Алгебра, 10-11 класс Учебник, авторы: Алимов Шавкат Арифджанович, Колягин Юрий Михайлович, Ткачева Мария Владимировна, Федорова Надежда Евгеньевна, Шабунин Михаил Иванович, издательство Просвещение, Москва, 2014, страница 112, номер 359, Решение 5
Решение 6. №359 (с. 112)
Алгебра, 10-11 класс Учебник, авторы: Алимов Шавкат Арифджанович, Колягин Юрий Михайлович, Ткачева Мария Владимировна, Федорова Надежда Евгеньевна, Шабунин Михаил Иванович, издательство Просвещение, Москва, 2014, страница 112, номер 359, Решение 6
Решение 7. №359 (с. 112)
Алгебра, 10-11 класс Учебник, авторы: Алимов Шавкат Арифджанович, Колягин Юрий Михайлович, Ткачева Мария Владимировна, Федорова Надежда Евгеньевна, Шабунин Михаил Иванович, издательство Просвещение, Москва, 2014, страница 112, номер 359, Решение 7 Алгебра, 10-11 класс Учебник, авторы: Алимов Шавкат Арифджанович, Колягин Юрий Михайлович, Ткачева Мария Владимировна, Федорова Надежда Евгеньевна, Шабунин Михаил Иванович, издательство Просвещение, Москва, 2014, страница 112, номер 359, Решение 7 (продолжение 2)
Решение 8. №359 (с. 112)

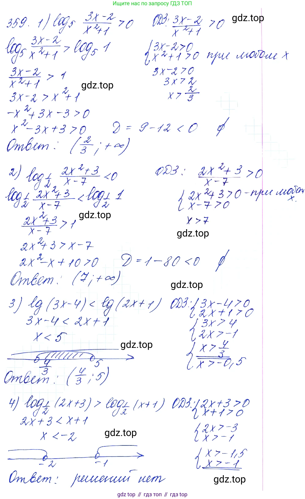
1) $\log_5 \frac{3x-2}{x^2+1} > 0$

Данное логарифмическое неравенство можно переписать, представив 0 как логарифм с тем же основанием:
$\log_5 \frac{3x-2}{x^2+1} > \log_5 1$
Так как основание логарифма $5 > 1$, функция является возрастающей. Поэтому при переходе от логарифмов к их аргументам знак неравенства сохраняется. Это равносильно решению неравенства:
$\frac{3x-2}{x^2+1} > 1$
Заметим, что условие области допустимых значений (ОДЗ) $\frac{3x-2}{x^2+1} > 0$ выполняется автоматически, так как если выражение больше 1, оно заведомо больше 0.
Решим полученное неравенство:
$\frac{3x-2}{x^2+1} - 1 > 0$
$\frac{3x-2 - (x^2+1)}{x^2+1} > 0$
$\frac{-x^2 + 3x - 3}{x^2+1} > 0$
Знаменатель дроби $x^2+1$ всегда положителен при любом действительном $x$. Следовательно, знак дроби зависит только от знака числителя:
$-x^2 + 3x - 3 > 0$
Умножим обе части на -1, изменив знак неравенства на противоположный:
$x^2 - 3x + 3 < 0$
Найдем дискриминант квадратного трехчлена $x^2 - 3x + 3$:
$D = b^2 - 4ac = (-3)^2 - 4 \cdot 1 \cdot 3 = 9 - 12 = -3$
Так как дискриминант $D < 0$ и старший коэффициент $a = 1 > 0$, парабола $y = x^2 - 3x + 3$ полностью лежит выше оси Ox, то есть выражение $x^2 - 3x + 3$ всегда положительно.
Следовательно, неравенство $x^2 - 3x + 3 < 0$ не имеет решений.

Ответ: решений нет (или $x \in \emptyset$).

2) $\log_{\frac{1}{2}} \frac{2x^2+3}{x-7} < 0$

Представим 0 как логарифм с основанием $\frac{1}{2}$:
$\log_{\frac{1}{2}} \frac{2x^2+3}{x-7} < \log_{\frac{1}{2}} 1$
Так как основание логарифма $0 < \frac{1}{2} < 1$, функция является убывающей. Поэтому при переходе от логарифмов к их аргументам знак неравенства меняется на противоположный:
$\frac{2x^2+3}{x-7} > 1$
Это неравенство также обеспечивает выполнение ОДЗ $\frac{2x^2+3}{x-7} > 0$.
Решим полученное неравенство:
$\frac{2x^2+3}{x-7} - 1 > 0$
$\frac{2x^2+3 - (x-7)}{x-7} > 0$
$\frac{2x^2 - x + 10}{x-7} > 0$
Рассмотрим числитель $2x^2 - x + 10$. Найдем его дискриминант:
$D = b^2 - 4ac = (-1)^2 - 4 \cdot 2 \cdot 10 = 1 - 80 = -79$
Так как $D < 0$ и старший коэффициент $a=2 > 0$, выражение $2x^2 - x + 10$ всегда положительно.
Следовательно, знак дроби определяется знаком знаменателя:
$x-7 > 0$
$x > 7$

Ответ: $(7; +\infty)$.

3) $\lg(3x - 4) < \lg(2x + 1)$

Здесь $\lg$ обозначает десятичный логарифм (основание 10). Так как основание $10 > 1$, функция возрастающая, и знак неравенства при переходе к аргументам сохраняется. Неравенство равносильно системе, включающей ОДЗ (аргументы логарифмов должны быть положительны):
$\begin{cases} 3x - 4 < 2x + 1 \\ 3x - 4 > 0 \\ 2x + 1 > 0 \end{cases}$
Решим каждое неравенство системы:
1) $3x - 4 < 2x + 1 \Rightarrow x < 5$
2) $3x - 4 > 0 \Rightarrow 3x > 4 \Rightarrow x > \frac{4}{3}$
3) $2x + 1 > 0 \Rightarrow 2x > -1 \Rightarrow x > -\frac{1}{2}$
Найдем пересечение решений. Условие $x > \frac{4}{3}$ является более строгим, чем $x > -\frac{1}{2}$, поэтому достаточно найти пересечение первых двух условий:
$\begin{cases} x < 5 \\ x > \frac{4}{3} \end{cases}$
Объединяя эти условия, получаем интервал $\frac{4}{3} < x < 5$.

Ответ: $(\frac{4}{3}; 5)$.

4) $\log_{\frac{1}{2}}(2x + 3) > \log_{\frac{1}{2}}(x + 1)$

Основание логарифма $0 < \frac{1}{2} < 1$, поэтому функция убывающая. При переходе к аргументам знак неравенства меняется на противоположный. Неравенство равносильно системе:
$\begin{cases} 2x + 3 < x + 1 \\ 2x + 3 > 0 \\ x + 1 > 0 \end{cases}$
Решим каждое неравенство системы:
1) $2x + 3 < x + 1 \Rightarrow x < -2$
2) $2x + 3 > 0 \Rightarrow 2x > -3 \Rightarrow x > -\frac{3}{2}$ (или $x > -1.5$)
3) $x + 1 > 0 \Rightarrow x > -1$
Найдем пересечение всех трех условий. Из условий ОДЗ ($x > -1.5$ и $x > -1$) следует, что $x > -1$.
Теперь нужно найти пересечение решения основного неравенства и ОДЗ:
$\begin{cases} x < -2 \\ x > -1 \end{cases}$
Не существует чисел, которые одновременно больше -1 и меньше -2. Следовательно, система не имеет решений.

Ответ: решений нет (или $x \in \emptyset$).

Помогло решение? Оставьте отзыв в комментариях ниже.

Присоединяйтесь к Телеграм-группе @top_gdz

Присоединиться

Мы подготовили для вас ответ c подробным объяснением домашего задания по алгебре за 10-11 класс, для упражнения номер 359 расположенного на странице 112 к учебнику 2014 года издания для учащихся школ и гимназий.

Теперь на нашем сайте ГДЗ.ТОП вы всегда легко и бесплатно найдёте условие с правильным ответом на вопрос «Как решить ДЗ» и «Как сделать» задание по алгебре к упражнению №359 (с. 112), авторов: Алимов (Шавкат Арифджанович), Колягин (Юрий Михайлович), Ткачева (Мария Владимировна), Федорова (Надежда Евгеньевна), Шабунин (Михаил Иванович), ФГОС (старый) базовый и углублённый уровень обучения учебного пособия издательства Просвещение.