Номер 352, страница 109 - гдз по алгебре 10-11 класс учебник Алимов, Колягин

Алгебра, 10-11 класс Учебник, авторы: Алимов Шавкат Арифджанович, Колягин Юрий Михайлович, Ткачева Мария Владимировна, Федорова Надежда Евгеньевна, Шабунин Михаил Иванович, издательство Просвещение, Москва, 2014

Авторы: Алимов Ш. А., Колягин Ю. М., Ткачева М. В., Федорова Н. Е., Шабунин М. И.

Тип: Учебник

Издательство: Просвещение

Год издания: 2014 - 2026

Уровень обучения: базовый и углублённый

Цвет обложки: синий, фиолетовый

ISBN: 978-5-09-112136-0

Допущено Министерством просвещения Российской Федерации

Математика: алгебра и начала математического анализа, геометрия

Глава 4. Логарифмическая функция. Параграф 19. Логарифмические уравнения - номер 352, страница 109.

№352 (с. 109)
Условие. №352 (с. 109)
скриншот условия
Алгебра, 10-11 класс Учебник, авторы: Алимов Шавкат Арифджанович, Колягин Юрий Михайлович, Ткачева Мария Владимировна, Федорова Надежда Евгеньевна, Шабунин Михаил Иванович, издательство Просвещение, Москва, 2014, страница 109, номер 352, Условие

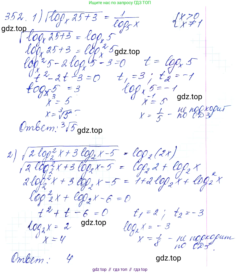
352 1) $\sqrt{\log_x 25 + 3} = \frac{1}{\log_5 x}$;

2) $\sqrt{2 \log^2_2 x + 3 \log_2 x - 5} = \log_2 (2x).$

Решение 1. №352 (с. 109)
Алгебра, 10-11 класс Учебник, авторы: Алимов Шавкат Арифджанович, Колягин Юрий Михайлович, Ткачева Мария Владимировна, Федорова Надежда Евгеньевна, Шабунин Михаил Иванович, издательство Просвещение, Москва, 2014, страница 109, номер 352, Решение 1
Алгебра, 10-11 класс Учебник, авторы: Алимов Шавкат Арифджанович, Колягин Юрий Михайлович, Ткачева Мария Владимировна, Федорова Надежда Евгеньевна, Шабунин Михаил Иванович, издательство Просвещение, Москва, 2014, страница 109, номер 352, Решение 1 (продолжение 2)
Решение 2. №352 (с. 109)
Алгебра, 10-11 класс Учебник, авторы: Алимов Шавкат Арифджанович, Колягин Юрий Михайлович, Ткачева Мария Владимировна, Федорова Надежда Евгеньевна, Шабунин Михаил Иванович, издательство Просвещение, Москва, 2014, страница 109, номер 352, Решение 2
Алгебра, 10-11 класс Учебник, авторы: Алимов Шавкат Арифджанович, Колягин Юрий Михайлович, Ткачева Мария Владимировна, Федорова Надежда Евгеньевна, Шабунин Михаил Иванович, издательство Просвещение, Москва, 2014, страница 109, номер 352, Решение 2 (продолжение 2)
Решение 3. №352 (с. 109)
Алгебра, 10-11 класс Учебник, авторы: Алимов Шавкат Арифджанович, Колягин Юрий Михайлович, Ткачева Мария Владимировна, Федорова Надежда Евгеньевна, Шабунин Михаил Иванович, издательство Просвещение, Москва, 2014, страница 109, номер 352, Решение 3
Решение 4. №352 (с. 109)
Алгебра, 10-11 класс Учебник, авторы: Алимов Шавкат Арифджанович, Колягин Юрий Михайлович, Ткачева Мария Владимировна, Федорова Надежда Евгеньевна, Шабунин Михаил Иванович, издательство Просвещение, Москва, 2014, страница 109, номер 352, Решение 4
Решение 5. №352 (с. 109)
Алгебра, 10-11 класс Учебник, авторы: Алимов Шавкат Арифджанович, Колягин Юрий Михайлович, Ткачева Мария Владимировна, Федорова Надежда Евгеньевна, Шабунин Михаил Иванович, издательство Просвещение, Москва, 2014, страница 109, номер 352, Решение 5
Решение 6. №352 (с. 109)
Алгебра, 10-11 класс Учебник, авторы: Алимов Шавкат Арифджанович, Колягин Юрий Михайлович, Ткачева Мария Владимировна, Федорова Надежда Евгеньевна, Шабунин Михаил Иванович, издательство Просвещение, Москва, 2014, страница 109, номер 352, Решение 6
Решение 7. №352 (с. 109)
Алгебра, 10-11 класс Учебник, авторы: Алимов Шавкат Арифджанович, Колягин Юрий Михайлович, Ткачева Мария Владимировна, Федорова Надежда Евгеньевна, Шабунин Михаил Иванович, издательство Просвещение, Москва, 2014, страница 109, номер 352, Решение 7 Алгебра, 10-11 класс Учебник, авторы: Алимов Шавкат Арифджанович, Колягин Юрий Михайлович, Ткачева Мария Владимировна, Федорова Надежда Евгеньевна, Шабунин Михаил Иванович, издательство Просвещение, Москва, 2014, страница 109, номер 352, Решение 7 (продолжение 2)
Решение 8. №352 (с. 109)

1) Решим уравнение $\sqrt{\log_x 25 + 3} = \frac{1}{\log_5 x}$.

Сначала определим область допустимых значений (ОДЗ).
1. Основание логарифма $x$ должно быть положительным и не равным единице: $x > 0$, $x \neq 1$.
2. Выражение под корнем должно быть неотрицательным: $\log_x 25 + 3 \ge 0$.
3. Знаменатель не должен быть равен нулю: $\log_5 x \neq 0$, что означает $x \neq 1$.
4. Поскольку левая часть уравнения (арифметический квадратный корень) неотрицательна, правая часть также должна быть неотрицательной: $\frac{1}{\log_5 x} \ge 0$. Это равносильно $\log_5 x > 0$, откуда следует $x > 5^0$, то есть $x > 1$.
Объединяя все условия, получаем ОДЗ: $x > 1$. При этом условии $\log_x 25 > 0$, поэтому условие $\log_x 25 + 3 \ge 0$ выполняется автоматически.

Теперь преобразуем уравнение. Воспользуемся формулой перехода к новому основанию для логарифма: $\log_a b = \frac{1}{\log_b a}$.Тогда правая часть уравнения преобразуется к виду: $\frac{1}{\log_5 x} = \log_x 5$.Также преобразуем логарифм в левой части: $\log_x 25 = \log_x (5^2) = 2 \log_x 5$.Уравнение принимает вид:$\sqrt{2 \log_x 5 + 3} = \log_x 5$.

Сделаем замену переменной. Пусть $t = \log_x 5$. Так как $x > 1$, то $t = \log_x 5 > 0$.Уравнение с новой переменной:$\sqrt{2t + 3} = t$.

Поскольку $t > 0$, обе части уравнения неотрицательны. Можем возвести обе части в квадрат:$2t + 3 = t^2$.$t^2 - 2t - 3 = 0$.Решим это квадратное уравнение. По теореме Виета или через дискриминант находим корни:$t_1 = 3$ и $t_2 = -1$.

Проверим корни по условию $t > 0$.
Корень $t_1 = 3$ удовлетворяет условию $t > 0$.
Корень $t_2 = -1$ не удовлетворяет условию $t > 0$, поэтому является посторонним.

Итак, единственное решение для $t$ это $t=3$.Вернемся к исходной переменной $x$:$\log_x 5 = 3$.По определению логарифма, это означает $x^3 = 5$.Отсюда $x = \sqrt[3]{5}$.

Проверим, удовлетворяет ли найденный корень ОДЗ ($x > 1$).Поскольку $5 > 1$, то $\sqrt[3]{5} > \sqrt[3]{1}$, то есть $\sqrt[3]{5} > 1$. Корень удовлетворяет ОДЗ.

Ответ: $x = \sqrt[3]{5}$.


2) Решим уравнение $\sqrt{2 \log_2^2 x + 3 \log_2 x - 5} = \log_2 (2x)$.

Найдем область допустимых значений (ОДЗ).
1. Аргумент логарифма должен быть положительным: $x > 0$.
2. Выражение под корнем должно быть неотрицательным: $2 \log_2^2 x + 3 \log_2 x - 5 \ge 0$.
3. Левая часть уравнения неотрицательна, значит и правая часть должна быть неотрицательной: $\log_2 (2x) \ge 0$.Преобразуем последнее неравенство: $\log_2 (2x) \ge \log_2 1$. Так как основание логарифма $2 > 1$, то $2x \ge 1$, откуда $x \ge \frac{1}{2}$.
Объединяя условия, получаем ОДЗ: $x \ge \frac{1}{2}$ и $2 \log_2^2 x + 3 \log_2 x - 5 \ge 0$.

Преобразуем правую часть уравнения, используя свойство логарифма произведения: $\log_a(bc) = \log_a b + \log_a c$.$\log_2 (2x) = \log_2 2 + \log_2 x = 1 + \log_2 x$.Уравнение принимает вид:$\sqrt{2 \log_2^2 x + 3 \log_2 x - 5} = 1 + \log_2 x$.

Сделаем замену переменной. Пусть $t = \log_2 x$.Из условия ОДЗ $x \ge \frac{1}{2}$ следует, что $t = \log_2 x \ge \log_2 \frac{1}{2} = -1$.Уравнение с новой переменной:$\sqrt{2t^2 + 3t - 5} = 1 + t$.

Так как $t \ge -1$, то правая часть $1 + t \ge 0$. Следовательно, можно возвести обе части уравнения в квадрат:$2t^2 + 3t - 5 = (1 + t)^2$.$2t^2 + 3t - 5 = 1 + 2t + t^2$.$2t^2 - t^2 + 3t - 2t - 5 - 1 = 0$.$t^2 + t - 6 = 0$.Решим полученное квадратное уравнение. По теореме Виета или через дискриминант находим корни:$t_1 = 2$ и $t_2 = -3$.

Проверим корни по условию $t \ge -1$.
Корень $t_1 = 2$ удовлетворяет условию $t \ge -1$.
Корень $t_2 = -3$ не удовлетворяет условию $t \ge -1$, значит, это посторонний корень.

Единственное подходящее решение для $t$ это $t=2$.Выполним обратную замену:$\log_2 x = 2$.По определению логарифма: $x = 2^2 = 4$.

Проверим найденный корень по ОДЗ.1. $x = 4 \ge \frac{1}{2}$. Условие выполняется.2. $2 \log_2^2 4 + 3 \log_2 4 - 5 = 2 \cdot (2)^2 + 3 \cdot 2 - 5 = 2 \cdot 4 + 6 - 5 = 8 + 6 - 5 = 9 \ge 0$. Условие выполняется.Следовательно, корень $x=4$ является решением уравнения.

Ответ: $x=4$.

Помогло решение? Оставьте отзыв в комментариях ниже.

Присоединяйтесь к Телеграм-группе @top_gdz

Присоединиться

Мы подготовили для вас ответ c подробным объяснением домашего задания по алгебре за 10-11 класс, для упражнения номер 352 расположенного на странице 109 к учебнику 2014 года издания для учащихся школ и гимназий.

Теперь на нашем сайте ГДЗ.ТОП вы всегда легко и бесплатно найдёте условие с правильным ответом на вопрос «Как решить ДЗ» и «Как сделать» задание по алгебре к упражнению №352 (с. 109), авторов: Алимов (Шавкат Арифджанович), Колягин (Юрий Михайлович), Ткачева (Мария Владимировна), Федорова (Надежда Евгеньевна), Шабунин (Михаил Иванович), ФГОС (старый) базовый и углублённый уровень обучения учебного пособия издательства Просвещение.