Номер 347, страница 109 - гдз по алгебре 10-11 класс учебник Алимов, Колягин

Авторы: Алимов Ш. А., Колягин Ю. М., Ткачева М. В., Федорова Н. Е., Шабунин М. И.
Тип: Учебник
Издательство: Просвещение
Год издания: 2014 - 2025
Уровень обучения: базовый и углублённый
Цвет обложки: синий, фиолетовый
ISBN: 978-5-09-112136-0
Допущено Министерством просвещения Российской Федерации
Математика: алгебра и начала математического анализа, геометрия
Популярные ГДЗ в 10 классе
§ 19. Логарифмические уравнения. Глава 4. Логарифмическая функция - номер 347, страница 109.
№347 (с. 109)
Условие. №347 (с. 109)
скриншот условия

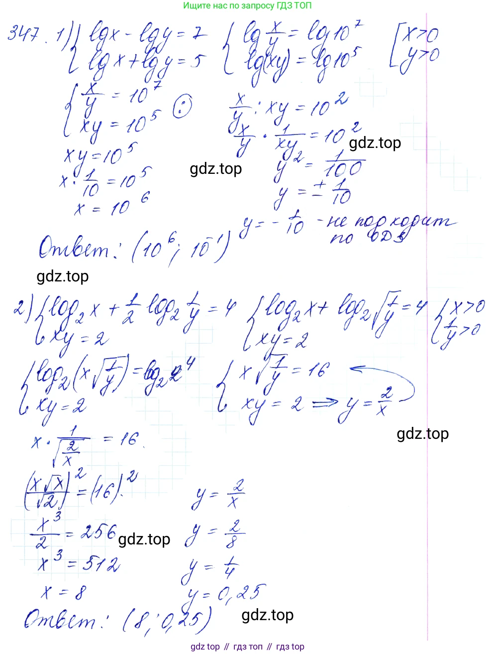
347 Решить систему уравнений:
1) $\begin{cases} \lg x - \lg y = 7, \\ \lg x + \lg y = 5; \end{cases}$
2) $\begin{cases} \log_2 x + \frac{1}{2} \log_2 \frac{1}{y} = 4, \\ xy = 2. \end{cases}$
Решение 1. №347 (с. 109)


Решение 2. №347 (с. 109)


Решение 4. №347 (с. 109)

Решение 5. №347 (с. 109)

Решение 6. №347 (с. 109)

Решение 7. №347 (с. 109)

Решение 8. №347 (с. 109)
1) Дана система уравнений: $$ \begin{cases} \lg x - \lg y = 7, \\ \lg x + \lg y = 5 \end{cases} $$ Область допустимых значений (ОДЗ) для логарифмов: $x > 0$ и $y > 0$.
Данная система является линейной относительно $\lg x$ и $\lg y$. Для ее решения можно использовать метод сложения. Сложим первое и второе уравнения системы:
$(\lg x - \lg y) + (\lg x + \lg y) = 7 + 5$
$2\lg x = 12$
$\lg x = 6$
Из определения десятичного логарифма следует:
$x = 10^6 = 1000000$.
Теперь вычтем второе уравнение из первого, чтобы найти $\lg y$:
$(\lg x + \lg y) - (\lg x - \lg y) = 5 - 7$
$2\lg y = -2$
$\lg y = -1$
Из определения десятичного логарифма следует:
$y = 10^{-1} = \frac{1}{10} = 0.1$.
Найденные значения $x=10^6$ и $y=0.1$ положительны и удовлетворяют ОДЗ.
Выполним проверку, подставив значения в исходную систему:
$\lg(10^6) - \lg(10^{-1}) = 6 - (-1) = 7$.
$\lg(10^6) + \lg(10^{-1}) = 6 + (-1) = 5$.
Оба равенства верны, следовательно, решение найдено правильно.
Ответ: $x = 1000000, y = 0.1$.
2) Дана система уравнений: $$ \begin{cases} \log_2 x + \frac{1}{2}\log_2 \frac{1}{y} = 4, \\ xy = 2 \end{cases} $$ ОДЗ: $x > 0$ и $\frac{1}{y} > 0$, что эквивалентно $x > 0$ и $y > 0$.
Упростим первое уравнение, используя свойства логарифмов $\log_a \frac{1}{b} = -\log_a b$ и $\log_a(b^c) = c \log_a b$:
$\log_2 x + \frac{1}{2}\log_2(y^{-1}) = 4$
$\log_2 x - \frac{1}{2}\log_2 y = 4$
Теперь прологарифмируем второе уравнение системы по основанию 2:
$\log_2(xy) = \log_2 2$
Используя свойство логарифма произведения, получаем:
$\log_2 x + \log_2 y = 1$
В результате мы получили новую систему уравнений относительно $\log_2 x$ и $\log_2 y$: $$ \begin{cases} \log_2 x - \frac{1}{2}\log_2 y = 4, \\ \log_2 x + \log_2 y = 1 \end{cases} $$ Вычтем первое уравнение из второго:
$(\log_2 x + \log_2 y) - (\log_2 x - \frac{1}{2}\log_2 y) = 1 - 4$
$\log_2 y + \frac{1}{2}\log_2 y = -3$
$\frac{3}{2}\log_2 y = -3$
$\log_2 y = -3 \cdot \frac{2}{3} = -2$
Из определения логарифма находим $y$:
$y = 2^{-2} = \frac{1}{4}$.
Подставим найденное значение $\log_2 y = -2$ в уравнение $\log_2 x + \log_2 y = 1$:
$\log_2 x + (-2) = 1$
$\log_2 x = 3$
Из определения логарифма находим $x$:
$x = 2^3 = 8$.
Найденные значения $x=8$ и $y=\frac{1}{4}$ удовлетворяют ОДЗ.
Выполним проверку:
Первое уравнение: $\log_2 8 + \frac{1}{2}\log_2 \frac{1}{1/4} = 3 + \frac{1}{2}\log_2 4 = 3 + \frac{1}{2} \cdot 2 = 3 + 1 = 4$.
Второе уравнение: $8 \cdot \frac{1}{4} = 2$.
Оба равенства верны.
Ответ: $x = 8, y = \frac{1}{4}$.
Другие задания:
Помогло решение? Оставьте отзыв в комментариях ниже.
Мы подготовили для вас ответ c подробным объяснением домашего задания по алгебре за 10-11 класс, для упражнения номер 347 расположенного на странице 109 к учебнику 2014 года издания для учащихся школ и гимназий.
Теперь на нашем сайте ГДЗ.ТОП вы всегда легко и бесплатно найдёте условие с правильным ответом на вопрос «Как решить ДЗ» и «Как сделать» задание по алгебре к упражнению №347 (с. 109), авторов: Алимов (Шавкат Арифджанович), Колягин (Юрий Михайлович), Ткачева (Мария Владимировна), Федорова (Надежда Евгеньевна), Шабунин (Михаил Иванович), ФГОС (старый) базовый и углублённый уровень обучения учебного пособия издательства Просвещение.