Номер 343, страница 108 - гдз по алгебре 10-11 класс учебник Алимов, Колягин

Алгебра, 10-11 класс Учебник, авторы: Алимов Шавкат Арифджанович, Колягин Юрий Михайлович, Ткачева Мария Владимировна, Федорова Надежда Евгеньевна, Шабунин Михаил Иванович, издательство Просвещение, Москва, 2014

Авторы: Алимов Ш. А., Колягин Ю. М., Ткачева М. В., Федорова Н. Е., Шабунин М. И.

Тип: Учебник

Издательство: Просвещение

Год издания: 2014 - 2025

Уровень обучения: базовый и углублённый

Цвет обложки: синий, фиолетовый

ISBN: 978-5-09-112136-0

Допущено Министерством просвещения Российской Федерации

Математика: алгебра и начала математического анализа, геометрия

Популярные ГДЗ в 10 классе

Глава 4. Логарифмическая функция. Параграф 19. Логарифмические уравнения - номер 343, страница 108.

№343 (с. 108)
Условие. №343 (с. 108)
скриншот условия
Алгебра, 10-11 класс Учебник, авторы: Алимов Шавкат Арифджанович, Колягин Юрий Михайлович, Ткачева Мария Владимировна, Федорова Надежда Евгеньевна, Шабунин Михаил Иванович, издательство Просвещение, Москва, 2014, страница 108, номер 343, Условие

Решить уравнение (343—345).

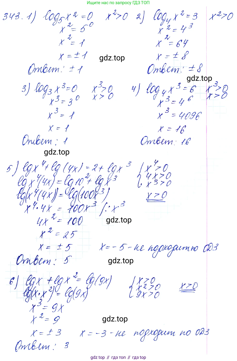
343 1) $\log_5 x^2 = 0$; 2) $\log_4 x^2 = 3$; 3) $\log_3 x^3 = 0$; 4) $\log_4 x^3 = 6$;

5) $\lg x^4 + \lg (4x) = 2 + \lg x^3$; 6) $\lg x + \lg x^2 = \lg (9x)$.

Решение 1. №343 (с. 108)
Алгебра, 10-11 класс Учебник, авторы: Алимов Шавкат Арифджанович, Колягин Юрий Михайлович, Ткачева Мария Владимировна, Федорова Надежда Евгеньевна, Шабунин Михаил Иванович, издательство Просвещение, Москва, 2014, страница 108, номер 343, Решение 1
Алгебра, 10-11 класс Учебник, авторы: Алимов Шавкат Арифджанович, Колягин Юрий Михайлович, Ткачева Мария Владимировна, Федорова Надежда Евгеньевна, Шабунин Михаил Иванович, издательство Просвещение, Москва, 2014, страница 108, номер 343, Решение 1 (продолжение 2)
Алгебра, 10-11 класс Учебник, авторы: Алимов Шавкат Арифджанович, Колягин Юрий Михайлович, Ткачева Мария Владимировна, Федорова Надежда Евгеньевна, Шабунин Михаил Иванович, издательство Просвещение, Москва, 2014, страница 108, номер 343, Решение 1 (продолжение 3)
Алгебра, 10-11 класс Учебник, авторы: Алимов Шавкат Арифджанович, Колягин Юрий Михайлович, Ткачева Мария Владимировна, Федорова Надежда Евгеньевна, Шабунин Михаил Иванович, издательство Просвещение, Москва, 2014, страница 108, номер 343, Решение 1 (продолжение 4)
Алгебра, 10-11 класс Учебник, авторы: Алимов Шавкат Арифджанович, Колягин Юрий Михайлович, Ткачева Мария Владимировна, Федорова Надежда Евгеньевна, Шабунин Михаил Иванович, издательство Просвещение, Москва, 2014, страница 108, номер 343, Решение 1 (продолжение 5) Алгебра, 10-11 класс Учебник, авторы: Алимов Шавкат Арифджанович, Колягин Юрий Михайлович, Ткачева Мария Владимировна, Федорова Надежда Евгеньевна, Шабунин Михаил Иванович, издательство Просвещение, Москва, 2014, страница 108, номер 343, Решение 1 (продолжение 6)
Решение 2. №343 (с. 108)
Алгебра, 10-11 класс Учебник, авторы: Алимов Шавкат Арифджанович, Колягин Юрий Михайлович, Ткачева Мария Владимировна, Федорова Надежда Евгеньевна, Шабунин Михаил Иванович, издательство Просвещение, Москва, 2014, страница 108, номер 343, Решение 2
Алгебра, 10-11 класс Учебник, авторы: Алимов Шавкат Арифджанович, Колягин Юрий Михайлович, Ткачева Мария Владимировна, Федорова Надежда Евгеньевна, Шабунин Михаил Иванович, издательство Просвещение, Москва, 2014, страница 108, номер 343, Решение 2 (продолжение 2)
Решение 4. №343 (с. 108)
Алгебра, 10-11 класс Учебник, авторы: Алимов Шавкат Арифджанович, Колягин Юрий Михайлович, Ткачева Мария Владимировна, Федорова Надежда Евгеньевна, Шабунин Михаил Иванович, издательство Просвещение, Москва, 2014, страница 108, номер 343, Решение 4
Алгебра, 10-11 класс Учебник, авторы: Алимов Шавкат Арифджанович, Колягин Юрий Михайлович, Ткачева Мария Владимировна, Федорова Надежда Евгеньевна, Шабунин Михаил Иванович, издательство Просвещение, Москва, 2014, страница 108, номер 343, Решение 4 (продолжение 2)
Решение 5. №343 (с. 108)
Алгебра, 10-11 класс Учебник, авторы: Алимов Шавкат Арифджанович, Колягин Юрий Михайлович, Ткачева Мария Владимировна, Федорова Надежда Евгеньевна, Шабунин Михаил Иванович, издательство Просвещение, Москва, 2014, страница 108, номер 343, Решение 5
Решение 6. №343 (с. 108)
Алгебра, 10-11 класс Учебник, авторы: Алимов Шавкат Арифджанович, Колягин Юрий Михайлович, Ткачева Мария Владимировна, Федорова Надежда Евгеньевна, Шабунин Михаил Иванович, издательство Просвещение, Москва, 2014, страница 108, номер 343, Решение 6
Решение 7. №343 (с. 108)
Алгебра, 10-11 класс Учебник, авторы: Алимов Шавкат Арифджанович, Колягин Юрий Михайлович, Ткачева Мария Владимировна, Федорова Надежда Евгеньевна, Шабунин Михаил Иванович, издательство Просвещение, Москва, 2014, страница 108, номер 343, Решение 7 Алгебра, 10-11 класс Учебник, авторы: Алимов Шавкат Арифджанович, Колягин Юрий Михайлович, Ткачева Мария Владимировна, Федорова Надежда Евгеньевна, Шабунин Михаил Иванович, издательство Просвещение, Москва, 2014, страница 108, номер 343, Решение 7 (продолжение 2)
Решение 8. №343 (с. 108)

1) $\log_5 x^2 = 0$

Определим область допустимых значений (ОДЗ). Аргумент логарифма должен быть строго больше нуля: $x^2 > 0$, что выполняется для всех $x$, кроме $x=0$. Таким образом, ОДЗ: $x \ne 0$.

По определению логарифма, если $\log_a b = c$, то $b = a^c$. Применим это к нашему уравнению: $x^2 = 5^0$

$x^2 = 1$

Решениями этого уравнения являются $x_1 = 1$ и $x_2 = -1$.

Оба корня удовлетворяют ОДЗ ($x \ne 0$).

Ответ: $x = \pm 1$.

2) $\log_4 x^2 = 3$

ОДЗ: $x^2 > 0$, что означает $x \ne 0$.

По определению логарифма: $x^2 = 4^3$

$x^2 = 64$

Решениями этого уравнения являются $x_1 = 8$ и $x_2 = -8$.

Оба корня удовлетворяют ОДЗ ($x \ne 0$).

Ответ: $x = \pm 8$.

3) $\log_3 x^3 = 0$

ОДЗ: $x^3 > 0$, что означает $x > 0$.

По определению логарифма: $x^3 = 3^0$

$x^3 = 1$

Единственным действительным решением этого уравнения является $x = 1$.

Корень $x = 1$ удовлетворяет ОДЗ ($x > 0$).

Ответ: $x = 1$.

4) $\log_4 x^3 = 6$

ОДЗ: $x^3 > 0$, что означает $x > 0$.

По определению логарифма: $x^3 = 4^6$

Можно упростить правую часть: $4^6 = (4^2)^3 = 16^3$. $x^3 = 16^3$

Отсюда следует, что $x = 16$.

Корень $x = 16$ удовлетворяет ОДЗ ($x > 0$).

Ответ: $x = 16$.

5) $\lg x^4 + \lg (4x) = 2 + \lg x^3$

Определим ОДЗ. Аргументы всех логарифмов должны быть положительными: 1. $x^4 > 0 \implies x \ne 0$ 2. $4x > 0 \implies x > 0$ 3. $x^3 > 0 \implies x > 0$ Объединяя все условия, получаем ОДЗ: $x > 0$.

Перенесем все члены с логарифмами в левую часть уравнения: $\lg x^4 + \lg (4x) - \lg x^3 = 2$

Используем свойства логарифмов $\log a + \log b = \log(ab)$ и $\log a - \log b = \log(a/b)$: $\lg \left( \frac{x^4 \cdot 4x}{x^3} \right) = 2$

Упростим выражение в скобках: $\lg(4x^2) = 2$

По определению десятичного логарифма ($\lg a = \log_{10} a$): $4x^2 = 10^2$ $4x^2 = 100$ $x^2 = 25$

Получаем два возможных корня: $x_1 = 5$ и $x_2 = -5$.

Проверяем корни по ОДЗ ($x > 0$). Корень $x=5$ удовлетворяет условию, а корень $x=-5$ — нет.

Ответ: $x = 5$.

6) $\lg x + \lg x^2 = \lg (9x)$

Определим ОДЗ: 1. $x > 0$ 2. $x^2 > 0 \implies x \ne 0$ 3. $9x > 0 \implies x > 0$ Общее ОДЗ: $x > 0$.

Используем свойство суммы логарифмов для левой части уравнения: $\lg(x \cdot x^2) = \lg(9x)$ $\lg(x^3) = \lg(9x)$

Так как основания логарифмов одинаковы, мы можем приравнять их аргументы: $x^3 = 9x$

Решим полученное уравнение: $x^3 - 9x = 0$ $x(x^2 - 9) = 0$ $x(x - 3)(x + 3) = 0$

Возможные корни: $x_1 = 0$, $x_2 = 3$, $x_3 = -3$.

Проверяем корни по ОДЗ ($x > 0$). Корни $x=0$ и $x=-3$ не удовлетворяют условию. Корень $x=3$ удовлетворяет условию.

Ответ: $x = 3$.

Помогло решение? Оставьте отзыв в комментариях ниже.

Присоединяйтесь к Телеграм-группе @top_gdz

Присоединиться

Мы подготовили для вас ответ c подробным объяснением домашего задания по алгебре за 10-11 класс, для упражнения номер 343 расположенного на странице 108 к учебнику 2014 года издания для учащихся школ и гимназий.

Теперь на нашем сайте ГДЗ.ТОП вы всегда легко и бесплатно найдёте условие с правильным ответом на вопрос «Как решить ДЗ» и «Как сделать» задание по алгебре к упражнению №343 (с. 108), авторов: Алимов (Шавкат Арифджанович), Колягин (Юрий Михайлович), Ткачева (Мария Владимировна), Федорова (Надежда Евгеньевна), Шабунин (Михаил Иванович), ФГОС (старый) базовый и углублённый уровень обучения учебного пособия издательства Просвещение.