Номер 344, страница 108 - гдз по алгебре 10-11 класс учебник Алимов, Колягин

Алгебра, 10-11 класс Учебник, авторы: Алимов Шавкат Арифджанович, Колягин Юрий Михайлович, Ткачева Мария Владимировна, Федорова Надежда Евгеньевна, Шабунин Михаил Иванович, издательство Просвещение, Москва, 2014

Авторы: Алимов Ш. А., Колягин Ю. М., Ткачева М. В., Федорова Н. Е., Шабунин М. И.

Тип: Учебник

Издательство: Просвещение

Год издания: 2014 - 2025

Уровень обучения: базовый и углублённый

Цвет обложки: синий, фиолетовый

ISBN: 978-5-09-112136-0

Допущено Министерством просвещения Российской Федерации

Математика: алгебра и начала математического анализа, геометрия

Популярные ГДЗ в 10 классе

Глава 4. Логарифмическая функция. Параграф 19. Логарифмические уравнения - номер 344, страница 108.

№344 (с. 108)
Условие. №344 (с. 108)
скриншот условия
Алгебра, 10-11 класс Учебник, авторы: Алимов Шавкат Арифджанович, Колягин Юрий Михайлович, Ткачева Мария Владимировна, Федорова Надежда Евгеньевна, Шабунин Михаил Иванович, издательство Просвещение, Москва, 2014, страница 108, номер 344, Условие

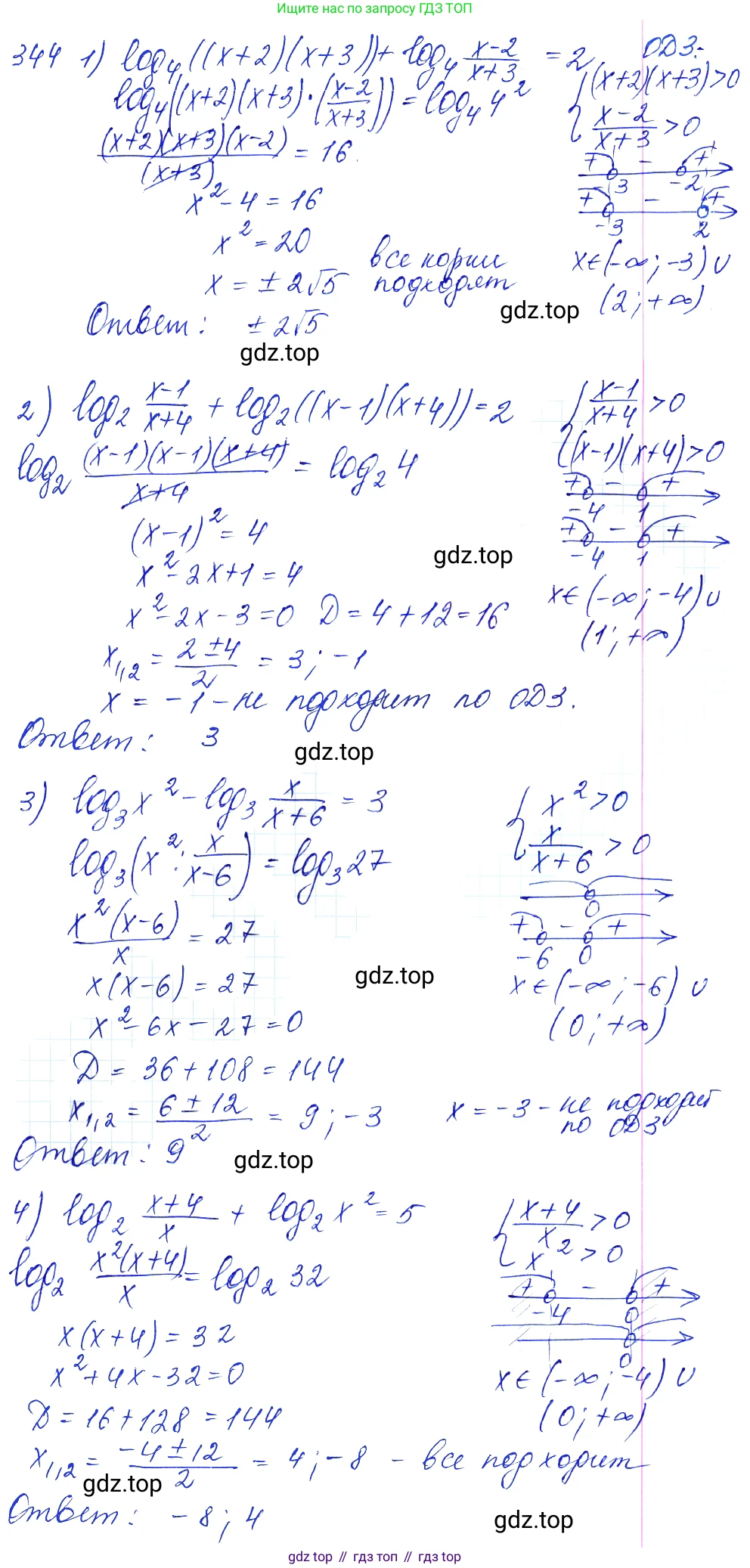
344 1) $log_4 (((x + 2) (x + 3))) + log_4 \frac{x-2}{x+3} = 2;$

2) $log_2 \frac{x-1}{x+4} + log_2 ((x-1)(x+4)) = 2;$

3) $log_3 x^2 - log_3 \frac{x}{x+6} = 3;$ 4) $log_2 \frac{x+4}{x} + log_2 x^2 = 5.$

Решение 1. №344 (с. 108)
Алгебра, 10-11 класс Учебник, авторы: Алимов Шавкат Арифджанович, Колягин Юрий Михайлович, Ткачева Мария Владимировна, Федорова Надежда Евгеньевна, Шабунин Михаил Иванович, издательство Просвещение, Москва, 2014, страница 108, номер 344, Решение 1
Алгебра, 10-11 класс Учебник, авторы: Алимов Шавкат Арифджанович, Колягин Юрий Михайлович, Ткачева Мария Владимировна, Федорова Надежда Евгеньевна, Шабунин Михаил Иванович, издательство Просвещение, Москва, 2014, страница 108, номер 344, Решение 1 (продолжение 2)
Алгебра, 10-11 класс Учебник, авторы: Алимов Шавкат Арифджанович, Колягин Юрий Михайлович, Ткачева Мария Владимировна, Федорова Надежда Евгеньевна, Шабунин Михаил Иванович, издательство Просвещение, Москва, 2014, страница 108, номер 344, Решение 1 (продолжение 3)
Алгебра, 10-11 класс Учебник, авторы: Алимов Шавкат Арифджанович, Колягин Юрий Михайлович, Ткачева Мария Владимировна, Федорова Надежда Евгеньевна, Шабунин Михаил Иванович, издательство Просвещение, Москва, 2014, страница 108, номер 344, Решение 1 (продолжение 4)
Решение 2. №344 (с. 108)
Алгебра, 10-11 класс Учебник, авторы: Алимов Шавкат Арифджанович, Колягин Юрий Михайлович, Ткачева Мария Владимировна, Федорова Надежда Евгеньевна, Шабунин Михаил Иванович, издательство Просвещение, Москва, 2014, страница 108, номер 344, Решение 2
Алгебра, 10-11 класс Учебник, авторы: Алимов Шавкат Арифджанович, Колягин Юрий Михайлович, Ткачева Мария Владимировна, Федорова Надежда Евгеньевна, Шабунин Михаил Иванович, издательство Просвещение, Москва, 2014, страница 108, номер 344, Решение 2 (продолжение 2)
Решение 4. №344 (с. 108)
Алгебра, 10-11 класс Учебник, авторы: Алимов Шавкат Арифджанович, Колягин Юрий Михайлович, Ткачева Мария Владимировна, Федорова Надежда Евгеньевна, Шабунин Михаил Иванович, издательство Просвещение, Москва, 2014, страница 108, номер 344, Решение 4
Решение 5. №344 (с. 108)
Алгебра, 10-11 класс Учебник, авторы: Алимов Шавкат Арифджанович, Колягин Юрий Михайлович, Ткачева Мария Владимировна, Федорова Надежда Евгеньевна, Шабунин Михаил Иванович, издательство Просвещение, Москва, 2014, страница 108, номер 344, Решение 5
Решение 6. №344 (с. 108)
Алгебра, 10-11 класс Учебник, авторы: Алимов Шавкат Арифджанович, Колягин Юрий Михайлович, Ткачева Мария Владимировна, Федорова Надежда Евгеньевна, Шабунин Михаил Иванович, издательство Просвещение, Москва, 2014, страница 108, номер 344, Решение 6
Решение 7. №344 (с. 108)
Алгебра, 10-11 класс Учебник, авторы: Алимов Шавкат Арифджанович, Колягин Юрий Михайлович, Ткачева Мария Владимировна, Федорова Надежда Евгеньевна, Шабунин Михаил Иванович, издательство Просвещение, Москва, 2014, страница 108, номер 344, Решение 7 Алгебра, 10-11 класс Учебник, авторы: Алимов Шавкат Арифджанович, Колягин Юрий Михайлович, Ткачева Мария Владимировна, Федорова Надежда Евгеньевна, Шабунин Михаил Иванович, издательство Просвещение, Москва, 2014, страница 108, номер 344, Решение 7 (продолжение 2) Алгебра, 10-11 класс Учебник, авторы: Алимов Шавкат Арифджанович, Колягин Юрий Михайлович, Ткачева Мария Владимировна, Федорова Надежда Евгеньевна, Шабунин Михаил Иванович, издательство Просвещение, Москва, 2014, страница 108, номер 344, Решение 7 (продолжение 3)
Решение 8. №344 (с. 108)

1) $log_4 ((x + 2) (x + 3)) + log_4 \frac{x - 2}{x + 3} = 2$

Найдем область допустимых значений (ОДЗ). Аргументы логарифмов должны быть строго положительными:

$\begin{cases} (x + 2)(x + 3) > 0 \\ \frac{x - 2}{x + 3} > 0 \end{cases}$

Решим первое неравенство: $(x + 2)(x + 3) > 0$. Корни $x = -2$ и $x = -3$. Решение: $x \in (-\infty; -3) \cup (-2; +\infty)$.

Решим второе неравенство: $\frac{x - 2}{x + 3} > 0$. Корни $x = 2$ и $x = -3$. Решение: $x \in (-\infty; -3) \cup (2; +\infty)$.

Пересечение этих решений дает ОДЗ: $x \in (-\infty; -3) \cup (2; +\infty)$.

Теперь решим уравнение, используя свойство суммы логарифмов $log_a b + log_a c = log_a(bc)$:

$log_4 \left( (x + 2)(x + 3) \cdot \frac{x - 2}{x + 3} \right) = 2$

Сокращаем $(x + 3)$, так как в ОДЗ $x \ne -3$:

$log_4 ((x + 2)(x - 2)) = 2$

$log_4 (x^2 - 4) = 2$

По определению логарифма:

$x^2 - 4 = 4^2$

$x^2 - 4 = 16$

$x^2 = 20$

$x = \pm\sqrt{20} = \pm2\sqrt{5}$

Проверим корни по ОДЗ: $x \in (-\infty; -3) \cup (2; +\infty)$.

Так как $\sqrt{5} \approx 2.236$, то $2\sqrt{5} \approx 4.472$.

$x_1 = 2\sqrt{5}$ принадлежит интервалу $(2; +\infty)$, следовательно, является корнем.

$x_2 = -2\sqrt{5}$ принадлежит интервалу $(-\infty; -3)$, следовательно, является корнем.

Ответ: $\{-2\sqrt{5}; 2\sqrt{5}\}$

2) $log_2 \frac{x - 1}{x + 4} + log_2 ((x - 1)(x + 4)) = 2$

Найдем ОДЗ:

$\begin{cases} \frac{x - 1}{x + 4} > 0 \\ (x - 1)(x + 4) > 0 \end{cases}$

Оба неравенства имеют одинаковое решение: $x \in (-\infty; -4) \cup (1; +\infty)$. Это и есть ОДЗ.

Используем свойство суммы логарифмов:

$log_2 \left( \frac{x - 1}{x + 4} \cdot (x - 1)(x + 4) \right) = 2$

Сокращаем $(x + 4)$, так как в ОДЗ $x \ne -4$:

$log_2 ((x - 1)^2) = 2$

По определению логарифма:

$(x - 1)^2 = 2^2$

$(x - 1)^2 = 4$

Извлекаем квадратный корень:

$x - 1 = 2$ или $x - 1 = -2$

$x_1 = 3$

$x_2 = -3$

Проверим корни по ОДЗ: $x \in (-\infty; -4) \cup (1; +\infty)$.

$x_1 = 3$ принадлежит интервалу $(1; +\infty)$, значит, это корень.

$x_2 = -3$ не принадлежит ОДЗ.

Ответ: $\{3\}$

3) $log_3 x^2 - log_3 \frac{x}{x + 6} = 3$

Найдем ОДЗ:

$\begin{cases} x^2 > 0 \\ \frac{x}{x + 6} > 0 \end{cases}$

Из первого неравенства следует $x \ne 0$.

Решение второго неравенства: $x \in (-\infty; -6) \cup (0; +\infty)$.

Пересечение условий дает ОДЗ: $x \in (-\infty; -6) \cup (0; +\infty)$.

Используем свойство разности логарифмов $log_a b - log_a c = log_a(b/c)$:

$log_3 \left( x^2 : \frac{x}{x + 6} \right) = 3$

$log_3 \left( x^2 \cdot \frac{x + 6}{x} \right) = 3$

Сокращаем $x$, так как в ОДЗ $x \ne 0$:

$log_3 (x(x + 6)) = 3$

$log_3 (x^2 + 6x) = 3$

По определению логарифма:

$x^2 + 6x = 3^3$

$x^2 + 6x = 27$

$x^2 + 6x - 27 = 0$

Решаем квадратное уравнение по теореме Виета или через дискриминант. Корни: $x_1 = 3$, $x_2 = -9$.

Проверим корни по ОДЗ: $x \in (-\infty; -6) \cup (0; +\infty)$.

$x_1 = 3$ принадлежит интервалу $(0; +\infty)$, является корнем.

$x_2 = -9$ принадлежит интервалу $(-\infty; -6)$, является корнем.

Ответ: $\{-9; 3\}$

4) $log_2 \frac{x + 4}{x} + log_2 x^2 = 5$

Найдем ОДЗ:

$\begin{cases} \frac{x + 4}{x} > 0 \\ x^2 > 0 \end{cases}$

Из второго неравенства следует $x \ne 0$.

Решение первого неравенства: $x \in (-\infty; -4) \cup (0; +\infty)$.

ОДЗ: $x \in (-\infty; -4) \cup (0; +\infty)$.

Используем свойство суммы логарифмов:

$log_2 \left( \frac{x + 4}{x} \cdot x^2 \right) = 5$

Сокращаем $x$, так как в ОДЗ $x \ne 0$:

$log_2 ((x + 4)x) = 5$

$log_2 (x^2 + 4x) = 5$

По определению логарифма:

$x^2 + 4x = 2^5$

$x^2 + 4x = 32$

$x^2 + 4x - 32 = 0$

Решаем квадратное уравнение. Корни: $x_1 = 4$, $x_2 = -8$.

Проверим корни по ОДЗ: $x \in (-\infty; -4) \cup (0; +\infty)$.

$x_1 = 4$ принадлежит интервалу $(0; +\infty)$, является корнем.

$x_2 = -8$ принадлежит интервалу $(-\infty; -4)$, является корнем.

Ответ: $\{-8; 4\}$

Помогло решение? Оставьте отзыв в комментариях ниже.

Присоединяйтесь к Телеграм-группе @top_gdz

Присоединиться

Мы подготовили для вас ответ c подробным объяснением домашего задания по алгебре за 10-11 класс, для упражнения номер 344 расположенного на странице 108 к учебнику 2014 года издания для учащихся школ и гимназий.

Теперь на нашем сайте ГДЗ.ТОП вы всегда легко и бесплатно найдёте условие с правильным ответом на вопрос «Как решить ДЗ» и «Как сделать» задание по алгебре к упражнению №344 (с. 108), авторов: Алимов (Шавкат Арифджанович), Колягин (Юрий Михайлович), Ткачева (Мария Владимировна), Федорова (Надежда Евгеньевна), Шабунин (Михаил Иванович), ФГОС (старый) базовый и углублённый уровень обучения учебного пособия издательства Просвещение.