Номер 351, страница 109 - гдз по алгебре 10-11 класс учебник Алимов, Колягин

Алгебра, 10-11 класс Учебник, авторы: Алимов Шавкат Арифджанович, Колягин Юрий Михайлович, Ткачева Мария Владимировна, Федорова Надежда Евгеньевна, Шабунин Михаил Иванович, издательство Просвещение, Москва, 2014

Авторы: Алимов Ш. А., Колягин Ю. М., Ткачева М. В., Федорова Н. Е., Шабунин М. И.

Тип: Учебник

Издательство: Просвещение

Год издания: 2014 - 2025

Уровень обучения: базовый и углублённый

Цвет обложки: синий, фиолетовый

ISBN: 978-5-09-112136-0

Допущено Министерством просвещения Российской Федерации

Математика: алгебра и начала математического анализа, геометрия

Популярные ГДЗ в 10 классе

Глава 4. Логарифмическая функция. Параграф 19. Логарифмические уравнения - номер 351, страница 109.

№351 (с. 109)
Условие. №351 (с. 109)
скриншот условия
Алгебра, 10-11 класс Учебник, авторы: Алимов Шавкат Арифджанович, Колягин Юрий Михайлович, Ткачева Мария Владимировна, Федорова Надежда Евгеньевна, Шабунин Михаил Иванович, издательство Просвещение, Москва, 2014, страница 109, номер 351, Условие

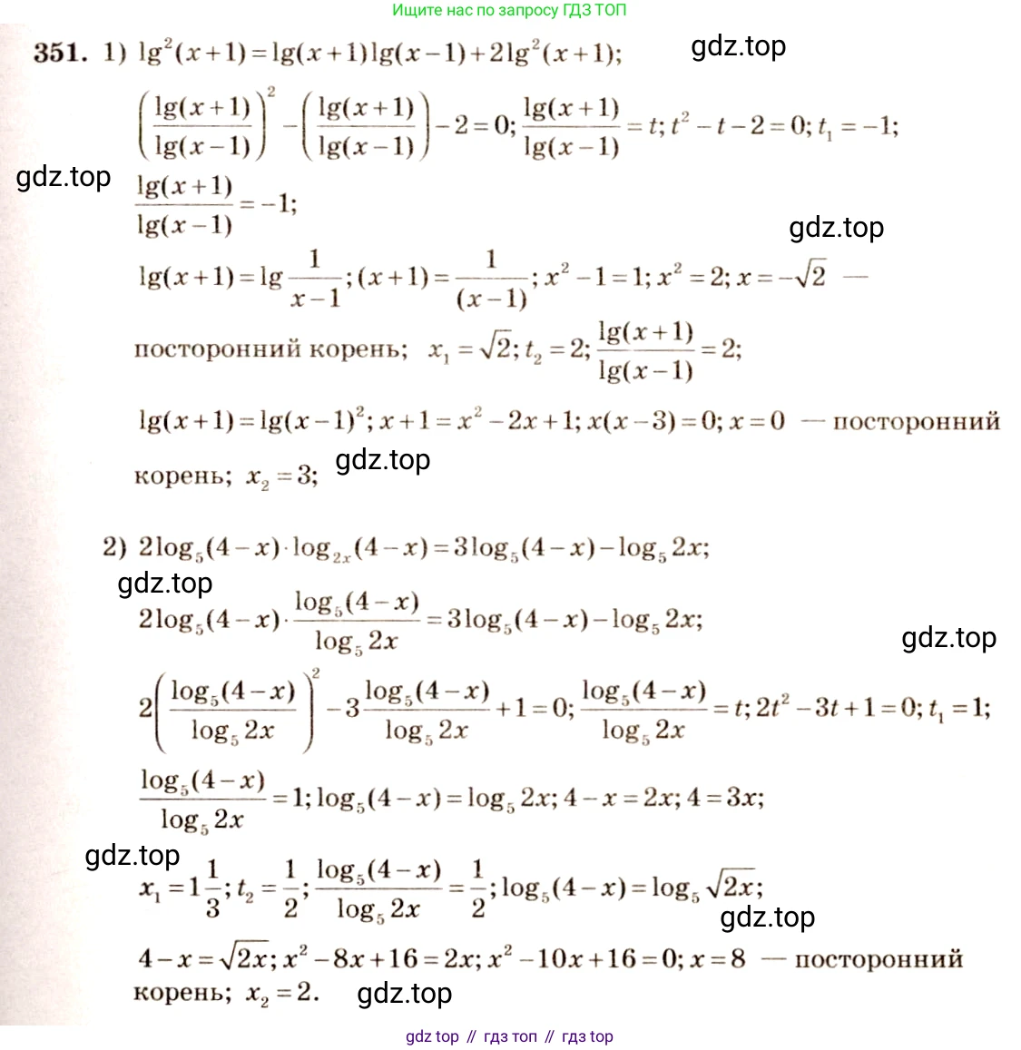
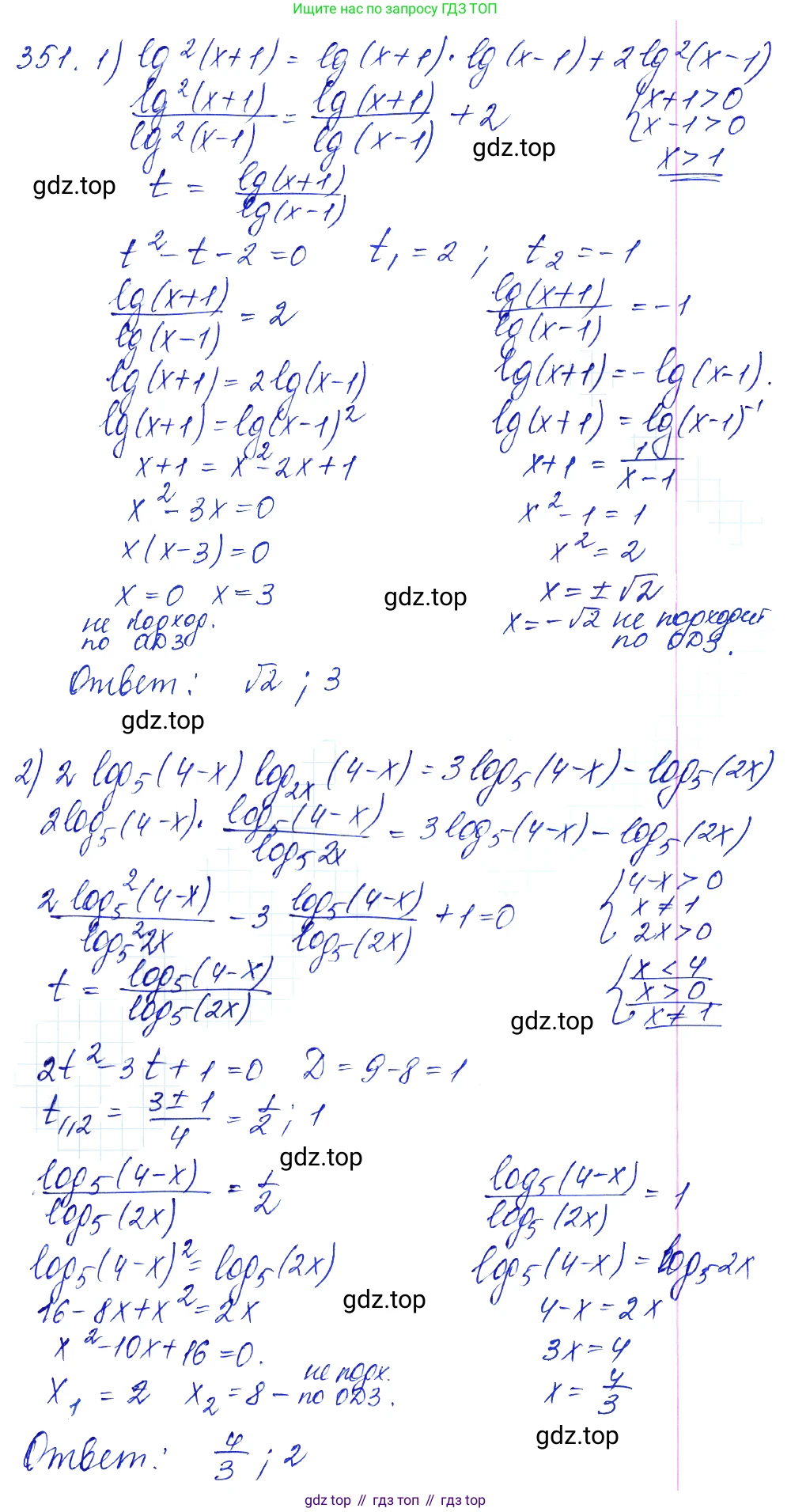
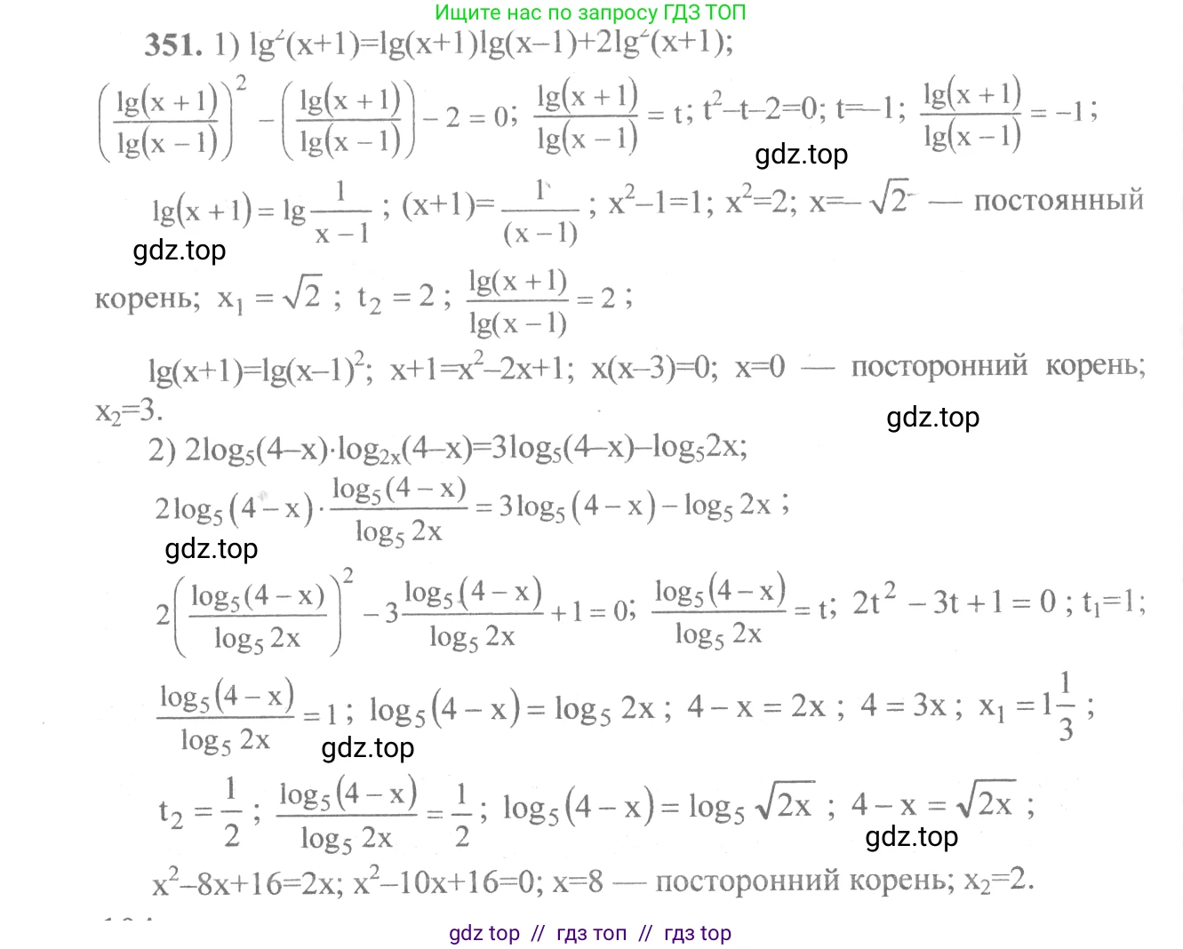
351 1) $\lg^2(x + 1) = \lg(x + 1) \cdot \lg(x - 1) + 2 \lg^2(x - 1);$

2) $2 \log_5(4 - x) \cdot \log_{2x}(4 - x) = 3 \log_5(4 - x) - \log_5(2x).$

Решение 1. №351 (с. 109)
Алгебра, 10-11 класс Учебник, авторы: Алимов Шавкат Арифджанович, Колягин Юрий Михайлович, Ткачева Мария Владимировна, Федорова Надежда Евгеньевна, Шабунин Михаил Иванович, издательство Просвещение, Москва, 2014, страница 109, номер 351, Решение 1
Алгебра, 10-11 класс Учебник, авторы: Алимов Шавкат Арифджанович, Колягин Юрий Михайлович, Ткачева Мария Владимировна, Федорова Надежда Евгеньевна, Шабунин Михаил Иванович, издательство Просвещение, Москва, 2014, страница 109, номер 351, Решение 1 (продолжение 2)
Решение 2. №351 (с. 109)
Алгебра, 10-11 класс Учебник, авторы: Алимов Шавкат Арифджанович, Колягин Юрий Михайлович, Ткачева Мария Владимировна, Федорова Надежда Евгеньевна, Шабунин Михаил Иванович, издательство Просвещение, Москва, 2014, страница 109, номер 351, Решение 2
Алгебра, 10-11 класс Учебник, авторы: Алимов Шавкат Арифджанович, Колягин Юрий Михайлович, Ткачева Мария Владимировна, Федорова Надежда Евгеньевна, Шабунин Михаил Иванович, издательство Просвещение, Москва, 2014, страница 109, номер 351, Решение 2 (продолжение 2)
Алгебра, 10-11 класс Учебник, авторы: Алимов Шавкат Арифджанович, Колягин Юрий Михайлович, Ткачева Мария Владимировна, Федорова Надежда Евгеньевна, Шабунин Михаил Иванович, издательство Просвещение, Москва, 2014, страница 109, номер 351, Решение 2 (продолжение 3)
Решение 4. №351 (с. 109)
Алгебра, 10-11 класс Учебник, авторы: Алимов Шавкат Арифджанович, Колягин Юрий Михайлович, Ткачева Мария Владимировна, Федорова Надежда Евгеньевна, Шабунин Михаил Иванович, издательство Просвещение, Москва, 2014, страница 109, номер 351, Решение 4
Решение 5. №351 (с. 109)
Алгебра, 10-11 класс Учебник, авторы: Алимов Шавкат Арифджанович, Колягин Юрий Михайлович, Ткачева Мария Владимировна, Федорова Надежда Евгеньевна, Шабунин Михаил Иванович, издательство Просвещение, Москва, 2014, страница 109, номер 351, Решение 5
Алгебра, 10-11 класс Учебник, авторы: Алимов Шавкат Арифджанович, Колягин Юрий Михайлович, Ткачева Мария Владимировна, Федорова Надежда Евгеньевна, Шабунин Михаил Иванович, издательство Просвещение, Москва, 2014, страница 109, номер 351, Решение 5 (продолжение 2)
Решение 6. №351 (с. 109)
Алгебра, 10-11 класс Учебник, авторы: Алимов Шавкат Арифджанович, Колягин Юрий Михайлович, Ткачева Мария Владимировна, Федорова Надежда Евгеньевна, Шабунин Михаил Иванович, издательство Просвещение, Москва, 2014, страница 109, номер 351, Решение 6
Решение 7. №351 (с. 109)
Алгебра, 10-11 класс Учебник, авторы: Алимов Шавкат Арифджанович, Колягин Юрий Михайлович, Ткачева Мария Владимировна, Федорова Надежда Евгеньевна, Шабунин Михаил Иванович, издательство Просвещение, Москва, 2014, страница 109, номер 351, Решение 7 Алгебра, 10-11 класс Учебник, авторы: Алимов Шавкат Арифджанович, Колягин Юрий Михайлович, Ткачева Мария Владимировна, Федорова Надежда Евгеньевна, Шабунин Михаил Иванович, издательство Просвещение, Москва, 2014, страница 109, номер 351, Решение 7 (продолжение 2) Алгебра, 10-11 класс Учебник, авторы: Алимов Шавкат Арифджанович, Колягин Юрий Михайлович, Ткачева Мария Владимировна, Федорова Надежда Евгеньевна, Шабунин Михаил Иванович, издательство Просвещение, Москва, 2014, страница 109, номер 351, Решение 7 (продолжение 3)
Решение 8. №351 (с. 109)

1) $lg^2(x + 1) = lg(x + 1) \cdot lg(x - 1) + 2lg^2(x - 1)$

Сначала определим область допустимых значений (ОДЗ). Аргументы логарифмов должны быть строго положительными:

$\begin{cases} x + 1 > 0 \\ x - 1 > 0 \end{cases} \Rightarrow \begin{cases} x > -1 \\ x > 1 \end{cases} \Rightarrow x > 1$

Перенесем все члены уравнения в левую часть:

$lg^2(x + 1) - lg(x + 1) \cdot lg(x - 1) - 2lg^2(x - 1) = 0$

Это однородное уравнение второй степени относительно $lg(x+1)$ и $lg(x-1)$. Сделаем замену:

Пусть $a = lg(x+1)$ и $b = lg(x-1)$. Уравнение примет вид:

$a^2 - ab - 2b^2 = 0$

Заметим, что $b = lg(x-1) \ne 0$, так как если $lg(x-1)=0$, то $x-1=1$, $x=2$. Подставив $x=2$ в исходное уравнение, получим $lg^2(3) = 0$, что неверно. Поэтому мы можем разделить обе части уравнения на $b^2$:

$(\frac{a}{b})^2 - (\frac{a}{b}) - 2 = 0$

Сделаем еще одну замену: $t = \frac{a}{b} = \frac{lg(x+1)}{lg(x-1)}$.

$t^2 - t - 2 = 0$

По теореме Виета находим корни: $t_1 = 2$, $t_2 = -1$.

Рассмотрим оба случая:

Случай 1: $t = 2$

$\frac{lg(x+1)}{lg(x-1)} = 2$

$lg(x+1) = 2 \cdot lg(x-1)$

$lg(x+1) = lg((x-1)^2)$

$x+1 = (x-1)^2$

$x+1 = x^2 - 2x + 1$

$x^2 - 3x = 0$

$x(x-3) = 0$

Корни: $x=0$ и $x=3$. Корень $x=0$ не удовлетворяет ОДЗ ($x>1$). Корень $x=3$ удовлетворяет ОДЗ.

Случай 2: $t = -1$

$\frac{lg(x+1)}{lg(x-1)} = -1$

$lg(x+1) = -lg(x-1)$

$lg(x+1) = lg((x-1)^{-1})$

$x+1 = \frac{1}{x-1}$

$(x+1)(x-1) = 1$

$x^2 - 1 = 1$

$x^2 = 2$

Корни: $x = \sqrt{2}$ и $x = -\sqrt{2}$. Корень $x=-\sqrt{2}$ не удовлетворяет ОДЗ ($x>1$). Корень $x=\sqrt{2}$ удовлетворяет ОДЗ, так как $\sqrt{2} \approx 1.414 > 1$.

Ответ: $3; \sqrt{2}$

2) $2\log_5(4-x) \cdot \log_{2x}(4-x) = 3\log_5(4-x) - \log_5(2x)$

Найдем область допустимых значений (ОДЗ):

$\begin{cases} 4-x > 0 \\ 2x > 0 \\ 2x \ne 1 \end{cases} \Rightarrow \begin{cases} x < 4 \\ x > 0 \\ x \ne 1/2 \end{cases} \Rightarrow x \in (0; 1/2) \cup (1/2; 4)$

Используем формулу перехода к новому основанию для $\log_{2x}(4-x)$: $\log_b a = \frac{\log_c a}{\log_c b}$.

$\log_{2x}(4-x) = \frac{\log_5(4-x)}{\log_5(2x)}$

Подставим это в исходное уравнение:

$2\log_5(4-x) \cdot \frac{\log_5(4-x)}{\log_5(2x)} = 3\log_5(4-x) - \log_5(2x)$

$\frac{2\log_5^2(4-x)}{\log_5(2x)} = 3\log_5(4-x) - \log_5(2x)$

Сделаем замену: пусть $a = \log_5(4-x)$ и $b = \log_5(2x)$.

$\frac{2a^2}{b} = 3a - b$

Так как $2x \ne 1$, то $b = \log_5(2x) \ne \log_5(1) = 0$. Умножим обе части на $b$:

$2a^2 = 3ab - b^2$

$2a^2 - 3ab + b^2 = 0$

Это однородное уравнение. Разделим его на $b^2$:

$2(\frac{a}{b})^2 - 3(\frac{a}{b}) + 1 = 0$

Сделаем еще одну замену $t = \frac{a}{b} = \frac{\log_5(4-x)}{\log_5(2x)}$:

$2t^2 - 3t + 1 = 0$

Находим корни квадратного уравнения: $D = (-3)^2 - 4 \cdot 2 \cdot 1 = 9 - 8 = 1$.

$t_1 = \frac{3 - 1}{4} = \frac{1}{2}$

$t_2 = \frac{3 + 1}{4} = 1$

Рассмотрим оба случая:

Случай 1: $t = 1/2$

$\frac{\log_5(4-x)}{\log_5(2x)} = \frac{1}{2}$

$2\log_5(4-x) = \log_5(2x)$

$\log_5((4-x)^2) = \log_5(2x)$

$(4-x)^2 = 2x$

$16 - 8x + x^2 = 2x$

$x^2 - 10x + 16 = 0$

По теореме Виета, корни $x=2$ и $x=8$. Корень $x=8$ не входит в ОДЗ ($x<4$). Корень $x=2$ удовлетворяет ОДЗ.

Случай 2: $t = 1$

$\frac{\log_5(4-x)}{\log_5(2x)} = 1$

$\log_5(4-x) = \log_5(2x)$

$4-x = 2x$

$3x = 4$

$x = 4/3$. Этот корень удовлетворяет ОДЗ.

Ответ: $4/3; 2$

Помогло решение? Оставьте отзыв в комментариях ниже.

Присоединяйтесь к Телеграм-группе @top_gdz

Присоединиться

Мы подготовили для вас ответ c подробным объяснением домашего задания по алгебре за 10-11 класс, для упражнения номер 351 расположенного на странице 109 к учебнику 2014 года издания для учащихся школ и гимназий.

Теперь на нашем сайте ГДЗ.ТОП вы всегда легко и бесплатно найдёте условие с правильным ответом на вопрос «Как решить ДЗ» и «Как сделать» задание по алгебре к упражнению №351 (с. 109), авторов: Алимов (Шавкат Арифджанович), Колягин (Юрий Михайлович), Ткачева (Мария Владимировна), Федорова (Надежда Евгеньевна), Шабунин (Михаил Иванович), ФГОС (старый) базовый и углублённый уровень обучения учебного пособия издательства Просвещение.