Номер 358, страница 112 - гдз по алгебре 10-11 класс учебник Алимов, Колягин

Алгебра, 10-11 класс Учебник, авторы: Алимов Шавкат Арифджанович, Колягин Юрий Михайлович, Ткачева Мария Владимировна, Федорова Надежда Евгеньевна, Шабунин Михаил Иванович, издательство Просвещение, Москва, 2014

Авторы: Алимов Ш. А., Колягин Ю. М., Ткачева М. В., Федорова Н. Е., Шабунин М. И.

Тип: Учебник

Издательство: Просвещение

Год издания: 2014 - 2025

Уровень обучения: базовый и углублённый

Цвет обложки: синий, фиолетовый

ISBN: 978-5-09-112136-0

Допущено Министерством просвещения Российской Федерации

Математика: алгебра и начала математического анализа, геометрия

Популярные ГДЗ в 10 классе

Глава 4. Логарифмическая функция. Параграф 20. Логарифмические неравенства - номер 358, страница 112.

№358 (с. 112)
Условие. №358 (с. 112)
скриншот условия
Алгебра, 10-11 класс Учебник, авторы: Алимов Шавкат Арифджанович, Колягин Юрий Михайлович, Ткачева Мария Владимировна, Федорова Надежда Евгеньевна, Шабунин Михаил Иванович, издательство Просвещение, Москва, 2014, страница 112, номер 358, Условие

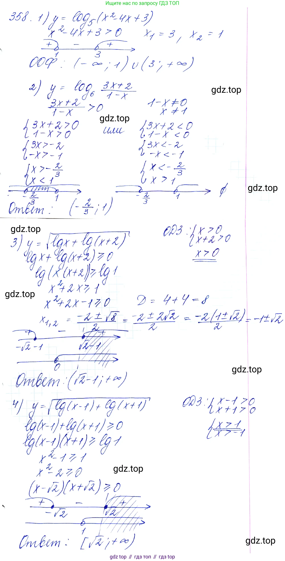
358 Найти область определения функции:

1) $y = \log_5 (x^2 - 4x + 3)$;

2) $y = \log_6 \frac{3x+2}{1-x}$;

3) $y = \sqrt{\lg x + \lg (x+2)}$;

4) $y = \sqrt{\lg (x-1) + \lg (x+1)}$.

Решение 1. №358 (с. 112)
Алгебра, 10-11 класс Учебник, авторы: Алимов Шавкат Арифджанович, Колягин Юрий Михайлович, Ткачева Мария Владимировна, Федорова Надежда Евгеньевна, Шабунин Михаил Иванович, издательство Просвещение, Москва, 2014, страница 112, номер 358, Решение 1
Алгебра, 10-11 класс Учебник, авторы: Алимов Шавкат Арифджанович, Колягин Юрий Михайлович, Ткачева Мария Владимировна, Федорова Надежда Евгеньевна, Шабунин Михаил Иванович, издательство Просвещение, Москва, 2014, страница 112, номер 358, Решение 1 (продолжение 2)
Алгебра, 10-11 класс Учебник, авторы: Алимов Шавкат Арифджанович, Колягин Юрий Михайлович, Ткачева Мария Владимировна, Федорова Надежда Евгеньевна, Шабунин Михаил Иванович, издательство Просвещение, Москва, 2014, страница 112, номер 358, Решение 1 (продолжение 3)
Алгебра, 10-11 класс Учебник, авторы: Алимов Шавкат Арифджанович, Колягин Юрий Михайлович, Ткачева Мария Владимировна, Федорова Надежда Евгеньевна, Шабунин Михаил Иванович, издательство Просвещение, Москва, 2014, страница 112, номер 358, Решение 1 (продолжение 4)
Решение 2. №358 (с. 112)
Алгебра, 10-11 класс Учебник, авторы: Алимов Шавкат Арифджанович, Колягин Юрий Михайлович, Ткачева Мария Владимировна, Федорова Надежда Евгеньевна, Шабунин Михаил Иванович, издательство Просвещение, Москва, 2014, страница 112, номер 358, Решение 2
Алгебра, 10-11 класс Учебник, авторы: Алимов Шавкат Арифджанович, Колягин Юрий Михайлович, Ткачева Мария Владимировна, Федорова Надежда Евгеньевна, Шабунин Михаил Иванович, издательство Просвещение, Москва, 2014, страница 112, номер 358, Решение 2 (продолжение 2)
Решение 4. №358 (с. 112)
Алгебра, 10-11 класс Учебник, авторы: Алимов Шавкат Арифджанович, Колягин Юрий Михайлович, Ткачева Мария Владимировна, Федорова Надежда Евгеньевна, Шабунин Михаил Иванович, издательство Просвещение, Москва, 2014, страница 112, номер 358, Решение 4
Решение 5. №358 (с. 112)
Алгебра, 10-11 класс Учебник, авторы: Алимов Шавкат Арифджанович, Колягин Юрий Михайлович, Ткачева Мария Владимировна, Федорова Надежда Евгеньевна, Шабунин Михаил Иванович, издательство Просвещение, Москва, 2014, страница 112, номер 358, Решение 5
Решение 6. №358 (с. 112)
Алгебра, 10-11 класс Учебник, авторы: Алимов Шавкат Арифджанович, Колягин Юрий Михайлович, Ткачева Мария Владимировна, Федорова Надежда Евгеньевна, Шабунин Михаил Иванович, издательство Просвещение, Москва, 2014, страница 112, номер 358, Решение 6
Решение 7. №358 (с. 112)
Алгебра, 10-11 класс Учебник, авторы: Алимов Шавкат Арифджанович, Колягин Юрий Михайлович, Ткачева Мария Владимировна, Федорова Надежда Евгеньевна, Шабунин Михаил Иванович, издательство Просвещение, Москва, 2014, страница 112, номер 358, Решение 7 Алгебра, 10-11 класс Учебник, авторы: Алимов Шавкат Арифджанович, Колягин Юрий Михайлович, Ткачева Мария Владимировна, Федорова Надежда Евгеньевна, Шабунин Михаил Иванович, издательство Просвещение, Москва, 2014, страница 112, номер 358, Решение 7 (продолжение 2)
Решение 8. №358 (с. 112)

1) Для функции $y = \log_5(x^2 - 4x + 3)$ область определения задается условием, что выражение под знаком логарифма должно быть строго положительным.
$x^2 - 4x + 3 > 0$
Чтобы решить это квадратное неравенство, найдем корни соответствующего уравнения $x^2 - 4x + 3 = 0$.
По теореме Виета, сумма корней равна 4, а их произведение равно 3. Следовательно, корни уравнения: $x_1 = 1$ и $x_2 = 3$.
Парабола $y = x^2 - 4x + 3$ направлена ветвями вверх (коэффициент при $x^2$ положителен), поэтому неравенство выполняется за пределами интервала между корнями.
Таким образом, $x \in (-\infty; 1) \cup (3; +\infty)$.
Ответ: $D(y) = (-\infty; 1) \cup (3; +\infty)$.

2) Для функции $y = \log_6 \frac{3x + 2}{1 - x}$ выражение под знаком логарифма должно быть строго положительным.
$\frac{3x + 2}{1 - x} > 0$
Решим это неравенство методом интервалов. Найдем нули числителя и знаменателя.
Нуль числителя: $3x + 2 = 0 \Rightarrow x = -2/3$.
Нуль знаменателя: $1 - x = 0 \Rightarrow x = 1$.
Отметим точки $x = -2/3$ и $x = 1$ на числовой прямой. Они разбивают прямую на три интервала: $(-\infty; -2/3)$, $(-2/3; 1)$, $(1; +\infty)$.
Определим знак выражения в каждом интервале:
- при $x \in (-2/3; 1)$, например $x=0$, получаем $\frac{3(0)+2}{1-0} = 2 > 0$.
- при $x \in (1; +\infty)$, например $x=2$, получаем $\frac{3(2)+2}{1-2} = -8 < 0$.
- при $x \in (-\infty; -2/3)$, например $x=-1$, получаем $\frac{3(-1)+2}{1-(-1)} = -1/2 < 0$.
Неравенство выполняется на интервале $(-2/3; 1)$.
Ответ: $D(y) = (-2/3; 1)$.

3) Для функции $y = \sqrt{\lg x + \lg(x+2)}$ область определения находится из системы неравенств.
Во-первых, выражения под знаками логарифмов должны быть положительными:
$\begin{cases} x > 0 \\ x+2 > 0 \end{cases} \Rightarrow \begin{cases} x > 0 \\ x > -2 \end{cases} \Rightarrow x > 0$.
Во-вторых, выражение под знаком квадратного корня должно быть неотрицательным:
$\lg x + \lg(x+2) \geq 0$.
Используя свойство логарифмов, получаем:
$\lg(x(x+2)) \geq 0$.
Так как основание десятичного логарифма $10 > 1$, неравенство равносильно следующему:
$x(x+2) \geq 10^0$
$x^2 + 2x \geq 1$
$x^2 + 2x - 1 \geq 0$.
Найдем корни уравнения $x^2 + 2x - 1 = 0$:
$x = \frac{-2 \pm \sqrt{2^2 - 4(1)(-1)}}{2} = \frac{-2 \pm \sqrt{8}}{2} = \frac{-2 \pm 2\sqrt{2}}{2} = -1 \pm \sqrt{2}$.
Парабола $y = x^2 + 2x - 1$ направлена ветвями вверх, значит, неравенство выполняется при $x \leq -1 - \sqrt{2}$ или $x \geq -1 + \sqrt{2}$.
Теперь объединим все условия: $x > 0$ и ($x \leq -1 - \sqrt{2}$ или $x \geq -1 + \sqrt{2}$).
Так как $-1 - \sqrt{2} < 0$, а $-1 + \sqrt{2} > 0$, решением системы будет $x \geq -1 + \sqrt{2}$.
Ответ: $D(y) = [-1 + \sqrt{2}; +\infty)$.

4) Для функции $y = \sqrt{\lg(x-1) + \lg(x+1)}$ область определения находится из системы неравенств.
Во-первых, выражения под знаками логарифмов должны быть положительными:
$\begin{cases} x-1 > 0 \\ x+1 > 0 \end{cases} \Rightarrow \begin{cases} x > 1 \\ x > -1 \end{cases} \Rightarrow x > 1$.
Во-вторых, выражение под знаком квадратного корня должно быть неотрицательным:
$\lg(x-1) + \lg(x+1) \geq 0$.
Используя свойство логарифмов:
$\lg((x-1)(x+1)) \geq 0$
$\lg(x^2 - 1) \geq 0$.
Так как основание логарифма $10 > 1$:
$x^2 - 1 \geq 10^0$
$x^2 - 1 \geq 1$
$x^2 - 2 \geq 0$.
Корни уравнения $x^2 - 2 = 0$ равны $x = \pm\sqrt{2}$.
Парабола $y = x^2 - 2$ направлена ветвями вверх, значит, неравенство выполняется при $x \leq -\sqrt{2}$ или $x \geq \sqrt{2}$.
Объединим все условия: $x > 1$ и ($x \leq -\sqrt{2}$ или $x \geq \sqrt{2}$).
Так как $\sqrt{2} \approx 1.414$, то $\sqrt{2} > 1$, а $-\sqrt{2} < 1$. Решением системы будет $x \geq \sqrt{2}$.
Ответ: $D(y) = [\sqrt{2}; +\infty)$.

Помогло решение? Оставьте отзыв в комментариях ниже.

Присоединяйтесь к Телеграм-группе @top_gdz

Присоединиться

Мы подготовили для вас ответ c подробным объяснением домашего задания по алгебре за 10-11 класс, для упражнения номер 358 расположенного на странице 112 к учебнику 2014 года издания для учащихся школ и гимназий.

Теперь на нашем сайте ГДЗ.ТОП вы всегда легко и бесплатно найдёте условие с правильным ответом на вопрос «Как решить ДЗ» и «Как сделать» задание по алгебре к упражнению №358 (с. 112), авторов: Алимов (Шавкат Арифджанович), Колягин (Юрий Михайлович), Ткачева (Мария Владимировна), Федорова (Надежда Евгеньевна), Шабунин (Михаил Иванович), ФГОС (старый) базовый и углублённый уровень обучения учебного пособия издательства Просвещение.