Номер 357, страница 112 - гдз по алгебре 10-11 класс учебник Алимов, Колягин

Алгебра, 10-11 класс Учебник, авторы: Алимов Шавкат Арифджанович, Колягин Юрий Михайлович, Ткачева Мария Владимировна, Федорова Надежда Евгеньевна, Шабунин Михаил Иванович, издательство Просвещение, Москва, 2014

Авторы: Алимов Ш. А., Колягин Ю. М., Ткачева М. В., Федорова Н. Е., Шабунин М. И.

Тип: Учебник

Издательство: Просвещение

Год издания: 2014 - 2026

Уровень обучения: базовый и углублённый

Цвет обложки: синий, фиолетовый

ISBN: 978-5-09-112136-0

Допущено Министерством просвещения Российской Федерации

Математика: алгебра и начала математического анализа, геометрия

Глава 4. Логарифмическая функция. Параграф 20. Логарифмические неравенства - номер 357, страница 112.

№357 (с. 112)
Условие. №357 (с. 112)
скриншот условия
Алгебра, 10-11 класс Учебник, авторы: Алимов Шавкат Арифджанович, Колягин Юрий Михайлович, Ткачева Мария Владимировна, Федорова Надежда Евгеньевна, Шабунин Михаил Иванович, издательство Просвещение, Москва, 2014, страница 112, номер 357, Условие

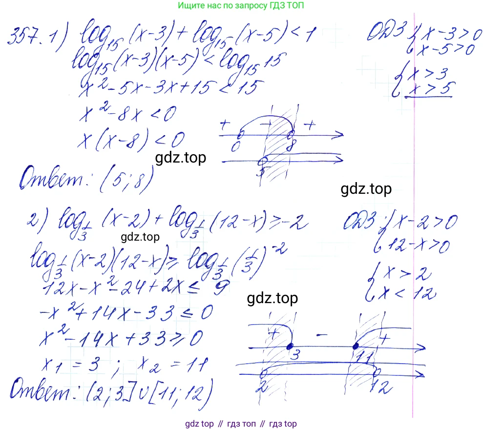
357 1) $log_{15} (x - 3) + log_{15} (x - 5) < 1;$

2) $log_{\frac{1}{3}} (x - 2) + log_{\frac{1}{3}} (12 - x) \ge -2.$

Решение 1. №357 (с. 112)
Алгебра, 10-11 класс Учебник, авторы: Алимов Шавкат Арифджанович, Колягин Юрий Михайлович, Ткачева Мария Владимировна, Федорова Надежда Евгеньевна, Шабунин Михаил Иванович, издательство Просвещение, Москва, 2014, страница 112, номер 357, Решение 1
Алгебра, 10-11 класс Учебник, авторы: Алимов Шавкат Арифджанович, Колягин Юрий Михайлович, Ткачева Мария Владимировна, Федорова Надежда Евгеньевна, Шабунин Михаил Иванович, издательство Просвещение, Москва, 2014, страница 112, номер 357, Решение 1 (продолжение 2)
Решение 2. №357 (с. 112)
Алгебра, 10-11 класс Учебник, авторы: Алимов Шавкат Арифджанович, Колягин Юрий Михайлович, Ткачева Мария Владимировна, Федорова Надежда Евгеньевна, Шабунин Михаил Иванович, издательство Просвещение, Москва, 2014, страница 112, номер 357, Решение 2
Решение 3. №357 (с. 112)
Алгебра, 10-11 класс Учебник, авторы: Алимов Шавкат Арифджанович, Колягин Юрий Михайлович, Ткачева Мария Владимировна, Федорова Надежда Евгеньевна, Шабунин Михаил Иванович, издательство Просвещение, Москва, 2014, страница 112, номер 357, Решение 3
Решение 4. №357 (с. 112)
Алгебра, 10-11 класс Учебник, авторы: Алимов Шавкат Арифджанович, Колягин Юрий Михайлович, Ткачева Мария Владимировна, Федорова Надежда Евгеньевна, Шабунин Михаил Иванович, издательство Просвещение, Москва, 2014, страница 112, номер 357, Решение 4
Решение 5. №357 (с. 112)
Алгебра, 10-11 класс Учебник, авторы: Алимов Шавкат Арифджанович, Колягин Юрий Михайлович, Ткачева Мария Владимировна, Федорова Надежда Евгеньевна, Шабунин Михаил Иванович, издательство Просвещение, Москва, 2014, страница 112, номер 357, Решение 5
Решение 6. №357 (с. 112)
Алгебра, 10-11 класс Учебник, авторы: Алимов Шавкат Арифджанович, Колягин Юрий Михайлович, Ткачева Мария Владимировна, Федорова Надежда Евгеньевна, Шабунин Михаил Иванович, издательство Просвещение, Москва, 2014, страница 112, номер 357, Решение 6
Решение 7. №357 (с. 112)
Алгебра, 10-11 класс Учебник, авторы: Алимов Шавкат Арифджанович, Колягин Юрий Михайлович, Ткачева Мария Владимировна, Федорова Надежда Евгеньевна, Шабунин Михаил Иванович, издательство Просвещение, Москва, 2014, страница 112, номер 357, Решение 7
Решение 8. №357 (с. 112)

1) $\log_{15}(x - 3) + \log_{15}(x - 5) < 1$

Сначала найдем область допустимых значений (ОДЗ). Аргументы логарифмов должны быть строго больше нуля:
$\begin{cases} x - 3 > 0 \\ x - 5 > 0 \end{cases} \implies \begin{cases} x > 3 \\ x > 5 \end{cases} \implies x > 5$.
Таким образом, ОДЗ: $x \in (5; +\infty)$.

Используем свойство суммы логарифмов: $\log_a(b) + \log_a(c) = \log_a(bc)$.
$\log_{15}((x - 3)(x - 5)) < 1$

Представим правую часть неравенства в виде логарифма с тем же основанием: $1 = \log_{15}(15)$.
$\log_{15}((x - 3)(x - 5)) < \log_{15}(15)$

Так как основание логарифма $15 > 1$, функция $y=\log_{15}(t)$ является возрастающей. Поэтому при переходе к неравенству для аргументов знак неравенства сохраняется:
$(x - 3)(x - 5) < 15$

Раскроем скобки и решим полученное квадратное неравенство:
$x^2 - 5x - 3x + 15 < 15$
$x^2 - 8x < 0$
$x(x - 8) < 0$
Корни соответствующего уравнения $x(x - 8) = 0$ равны $x_1 = 0$ и $x_2 = 8$. Поскольку это парабола с ветвями вверх, неравенство выполняется между корнями.
Решение этого неравенства: $x \in (0; 8)$.

Теперь найдем пересечение полученного решения с ОДЗ:
$\begin{cases} x \in (0; 8) \\ x \in (5; +\infty) \end{cases} \implies x \in (5; 8)$.

Ответ: $(5; 8)$.

2) $\log_{\frac{1}{3}}(x - 2) + \log_{\frac{1}{3}}(12 - x) \ge -2$

Найдем область допустимых значений (ОДЗ):
$\begin{cases} x - 2 > 0 \\ 12 - x > 0 \end{cases} \implies \begin{cases} x > 2 \\ x < 12 \end{cases} \implies 2 < x < 12$.
Таким образом, ОДЗ: $x \in (2; 12)$.

Применим свойство суммы логарифмов:
$\log_{\frac{1}{3}}((x - 2)(12 - x)) \ge -2$

Представим правую часть в виде логарифма с основанием $\frac{1}{3}$:
$-2 = -2 \cdot \log_{\frac{1}{3}}(\frac{1}{3}) = \log_{\frac{1}{3}}((\frac{1}{3})^{-2}) = \log_{\frac{1}{3}}(3^2) = \log_{\frac{1}{3}}(9)$.
Неравенство принимает вид:
$\log_{\frac{1}{3}}((x - 2)(12 - x)) \ge \log_{\frac{1}{3}}(9)$

Так как основание логарифма $\frac{1}{3} < 1$, функция $y=\log_{\frac{1}{3}}(t)$ является убывающей. Поэтому при переходе к неравенству для аргументов знак неравенства меняется на противоположный:
$(x - 2)(12 - x) \le 9$

Решим полученное квадратное неравенство:
$12x - x^2 - 24 + 2x \le 9$
$-x^2 + 14x - 24 - 9 \le 0$
$-x^2 + 14x - 33 \le 0$
Умножим обе части на $-1$ и сменим знак неравенства:
$x^2 - 14x + 33 \ge 0$

Найдем корни уравнения $x^2 - 14x + 33 = 0$.
Дискриминант $D = (-14)^2 - 4 \cdot 1 \cdot 33 = 196 - 132 = 64$.
$x_{1,2} = \frac{14 \pm \sqrt{64}}{2} = \frac{14 \pm 8}{2}$.
$x_1 = \frac{14 - 8}{2} = 3$, $x_2 = \frac{14 + 8}{2} = 11$.
Парабола $y = x^2 - 14x + 33$ имеет ветви вверх, поэтому неравенство $x^2 - 14x + 33 \ge 0$ выполняется при $x \le 3$ или $x \ge 11$.
Решение этого неравенства: $x \in (-\infty; 3] \cup [11; +\infty)$.

Найдем пересечение этого решения с ОДЗ $x \in (2; 12)$:
$\begin{cases} x \in (-\infty; 3] \cup [11; +\infty) \\ x \in (2; 12) \end{cases} \implies x \in (2; 3] \cup [11; 12)$.

Ответ: $(2; 3] \cup [11; 12)$.

Помогло решение? Оставьте отзыв в комментариях ниже.

Присоединяйтесь к Телеграм-группе @top_gdz

Присоединиться

Мы подготовили для вас ответ c подробным объяснением домашего задания по алгебре за 10-11 класс, для упражнения номер 357 расположенного на странице 112 к учебнику 2014 года издания для учащихся школ и гимназий.

Теперь на нашем сайте ГДЗ.ТОП вы всегда легко и бесплатно найдёте условие с правильным ответом на вопрос «Как решить ДЗ» и «Как сделать» задание по алгебре к упражнению №357 (с. 112), авторов: Алимов (Шавкат Арифджанович), Колягин (Юрий Михайлович), Ткачева (Мария Владимировна), Федорова (Надежда Евгеньевна), Шабунин (Михаил Иванович), ФГОС (старый) базовый и углублённый уровень обучения учебного пособия издательства Просвещение.