Номер 362, страница 112 - гдз по алгебре 10-11 класс учебник Алимов, Колягин

Алгебра, 10-11 класс Учебник, авторы: Алимов Шавкат Арифджанович, Колягин Юрий Михайлович, Ткачева Мария Владимировна, Федорова Надежда Евгеньевна, Шабунин Михаил Иванович, издательство Просвещение, Москва, 2014

Авторы: Алимов Ш. А., Колягин Ю. М., Ткачева М. В., Федорова Н. Е., Шабунин М. И.

Тип: Учебник

Издательство: Просвещение

Год издания: 2014 - 2026

Уровень обучения: базовый и углублённый

Цвет обложки: синий, фиолетовый

ISBN: 978-5-09-112136-0

Допущено Министерством просвещения Российской Федерации

Математика: алгебра и начала математического анализа, геометрия

Глава 4. Логарифмическая функция. Параграф 20. Логарифмические неравенства - номер 362, страница 112.

№362 (с. 112)
Условие. №362 (с. 112)
скриншот условия
Алгебра, 10-11 класс Учебник, авторы: Алимов Шавкат Арифджанович, Колягин Юрий Михайлович, Ткачева Мария Владимировна, Федорова Надежда Евгеньевна, Шабунин Михаил Иванович, издательство Просвещение, Москва, 2014, страница 112, номер 362, Условие

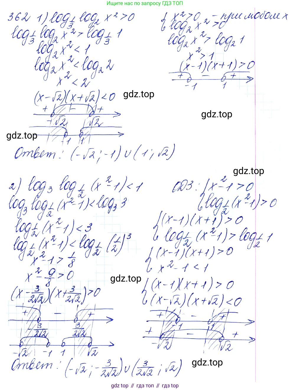
362 1) $log_{\frac{1}{3}} log_2 x^2 > 0;$

2) $log_3 log_{\frac{1}{2}} (x^2 - 1) < 1.$

Решение 1. №362 (с. 112)
Алгебра, 10-11 класс Учебник, авторы: Алимов Шавкат Арифджанович, Колягин Юрий Михайлович, Ткачева Мария Владимировна, Федорова Надежда Евгеньевна, Шабунин Михаил Иванович, издательство Просвещение, Москва, 2014, страница 112, номер 362, Решение 1
Алгебра, 10-11 класс Учебник, авторы: Алимов Шавкат Арифджанович, Колягин Юрий Михайлович, Ткачева Мария Владимировна, Федорова Надежда Евгеньевна, Шабунин Михаил Иванович, издательство Просвещение, Москва, 2014, страница 112, номер 362, Решение 1 (продолжение 2)
Решение 2. №362 (с. 112)
Алгебра, 10-11 класс Учебник, авторы: Алимов Шавкат Арифджанович, Колягин Юрий Михайлович, Ткачева Мария Владимировна, Федорова Надежда Евгеньевна, Шабунин Михаил Иванович, издательство Просвещение, Москва, 2014, страница 112, номер 362, Решение 2
Алгебра, 10-11 класс Учебник, авторы: Алимов Шавкат Арифджанович, Колягин Юрий Михайлович, Ткачева Мария Владимировна, Федорова Надежда Евгеньевна, Шабунин Михаил Иванович, издательство Просвещение, Москва, 2014, страница 112, номер 362, Решение 2 (продолжение 2)
Решение 3. №362 (с. 112)
Алгебра, 10-11 класс Учебник, авторы: Алимов Шавкат Арифджанович, Колягин Юрий Михайлович, Ткачева Мария Владимировна, Федорова Надежда Евгеньевна, Шабунин Михаил Иванович, издательство Просвещение, Москва, 2014, страница 112, номер 362, Решение 3
Решение 4. №362 (с. 112)
Алгебра, 10-11 класс Учебник, авторы: Алимов Шавкат Арифджанович, Колягин Юрий Михайлович, Ткачева Мария Владимировна, Федорова Надежда Евгеньевна, Шабунин Михаил Иванович, издательство Просвещение, Москва, 2014, страница 112, номер 362, Решение 4
Решение 5. №362 (с. 112)
Алгебра, 10-11 класс Учебник, авторы: Алимов Шавкат Арифджанович, Колягин Юрий Михайлович, Ткачева Мария Владимировна, Федорова Надежда Евгеньевна, Шабунин Михаил Иванович, издательство Просвещение, Москва, 2014, страница 112, номер 362, Решение 5
Решение 6. №362 (с. 112)
Алгебра, 10-11 класс Учебник, авторы: Алимов Шавкат Арифджанович, Колягин Юрий Михайлович, Ткачева Мария Владимировна, Федорова Надежда Евгеньевна, Шабунин Михаил Иванович, издательство Просвещение, Москва, 2014, страница 112, номер 362, Решение 6
Решение 7. №362 (с. 112)
Алгебра, 10-11 класс Учебник, авторы: Алимов Шавкат Арифджанович, Колягин Юрий Михайлович, Ткачева Мария Владимировна, Федорова Надежда Евгеньевна, Шабунин Михаил Иванович, издательство Просвещение, Москва, 2014, страница 112, номер 362, Решение 7 Алгебра, 10-11 класс Учебник, авторы: Алимов Шавкат Арифджанович, Колягин Юрий Михайлович, Ткачева Мария Владимировна, Федорова Надежда Евгеньевна, Шабунин Михаил Иванович, издательство Просвещение, Москва, 2014, страница 112, номер 362, Решение 7 (продолжение 2)
Решение 8. №362 (с. 112)

1) $\log_{\frac{1}{3}} \log_2 x^2 > 0$

Решим данное логарифмическое неравенство. Сначала найдем область допустимых значений (ОДЗ). Аргумент каждого логарифма должен быть строго больше нуля.

$ \begin{cases} x^2 > 0 \\ \log_2 x^2 > 0 \end{cases} $

Решим первое неравенство системы:

$x^2 > 0 \implies x \neq 0$.

Решим второе неравенство системы, представив 0 как $\log_2 1$:

$\log_2 x^2 > \log_2 1$

Так как основание логарифма $2 > 1$, знак неравенства сохраняется:

$x^2 > 1 \implies x^2 - 1 > 0 \implies (x-1)(x+1) > 0$.

Решением этого неравенства является объединение интервалов $x \in (-\infty; -1) \cup (1; \infty)$.

Объединяя условия ОДЗ, получаем, что $x \in (-\infty; -1) \cup (1; \infty)$.

Теперь решим исходное неравенство. Представим 0 в правой части как логарифм по основанию $\frac{1}{3}$:

$\log_{\frac{1}{3}} (\log_2 x^2) > \log_{\frac{1}{3}} 1$

Так как основание логарифма $\frac{1}{3} < 1$, при переходе к аргументам знак неравенства меняется на противоположный:

$\log_2 x^2 < 1$

Представим 1 как $\log_2 2$:

$\log_2 x^2 < \log_2 2$

Так как основание логарифма $2 > 1$, знак неравенства сохраняется:

$x^2 < 2 \implies x^2 - 2 < 0 \implies (x - \sqrt{2})(x + \sqrt{2}) < 0$.

Решением этого неравенства является интервал $x \in (-\sqrt{2}; \sqrt{2})$.

Для получения окончательного ответа найдем пересечение решения неравенства с ОДЗ:

$ \begin{cases} x \in (-\infty; -1) \cup (1; \infty) \\ x \in (-\sqrt{2}; \sqrt{2}) \end{cases} $

Пересечением этих множеств является $(-\sqrt{2}; -1) \cup (1; \sqrt{2})$.

Ответ: $x \in (-\sqrt{2}; -1) \cup (1; \sqrt{2})$.

2) $\log_3 \log_{\frac{1}{2}} (x^2 - 1) < 1$

Найдем область допустимых значений (ОДЗ). Аргументы логарифмов должны быть положительными.

$ \begin{cases} x^2 - 1 > 0 \\ \log_{\frac{1}{2}} (x^2 - 1) > 0 \end{cases} $

Решим первое неравенство системы:

$x^2 - 1 > 0 \implies (x-1)(x+1) > 0 \implies x \in (-\infty; -1) \cup (1; \infty)$.

Решим второе неравенство системы, представив 0 как $\log_{\frac{1}{2}} 1$:

$\log_{\frac{1}{2}} (x^2 - 1) > \log_{\frac{1}{2}} 1$

Так как основание логарифма $\frac{1}{2} < 1$, знак неравенства меняется на противоположный:

$x^2 - 1 < 1 \implies x^2 < 2 \implies x \in (-\sqrt{2}; \sqrt{2})$.

ОДЗ является пересечением этих решений: $x \in (-\sqrt{2}; -1) \cup (1; \sqrt{2})$.

Теперь решим исходное неравенство. Представим 1 в правой части как $\log_3 3$:

$\log_3 (\log_{\frac{1}{2}} (x^2 - 1)) < \log_3 3$

Так как основание логарифма $3 > 1$, знак неравенства сохраняется:

$\log_{\frac{1}{2}} (x^2 - 1) < 3$

Представим 3 как логарифм по основанию $\frac{1}{2}$: $3 = 3 \cdot \log_{\frac{1}{2}} (\frac{1}{2}) = \log_{\frac{1}{2}} ((\frac{1}{2})^3) = \log_{\frac{1}{2}} (\frac{1}{8})$.

$\log_{\frac{1}{2}} (x^2 - 1) < \log_{\frac{1}{2}} (\frac{1}{8})$

Так как основание логарифма $\frac{1}{2} < 1$, знак неравенства меняется на противоположный:

$x^2 - 1 > \frac{1}{8} \implies x^2 > 1 + \frac{1}{8} \implies x^2 > \frac{9}{8}$.

Решением этого неравенства является $x < -\sqrt{\frac{9}{8}}$ или $x > \sqrt{\frac{9}{8}}$.

Упростим: $x < -\frac{3}{\sqrt{8}}$ или $x > \frac{3}{\sqrt{8}}$, что то же самое, что $x < -\frac{3\sqrt{2}}{4}$ или $x > \frac{3\sqrt{2}}{4}$.

Таким образом, $x \in (-\infty; -\frac{3\sqrt{2}}{4}) \cup (\frac{3\sqrt{2}}{4}; \infty)$.

Найдем пересечение полученного решения с ОДЗ:

$ \begin{cases} x \in (-\sqrt{2}; -1) \cup (1; \sqrt{2}) \\ x \in (-\infty; -\frac{3\sqrt{2}}{4}) \cup (\frac{3\sqrt{2}}{4}; \infty) \end{cases} $

Учитывая, что $1 < \frac{3\sqrt{2}}{4} < \sqrt{2}$ и $-\sqrt{2} < -\frac{3\sqrt{2}}{4} < -1$, пересечение множеств будет $(-\sqrt{2}; -\frac{3\sqrt{2}}{4}) \cup (\frac{3\sqrt{2}}{4}; \sqrt{2})$.

Ответ: $x \in (-\sqrt{2}; -\frac{3\sqrt{2}}{4}) \cup (\frac{3\sqrt{2}}{4}; \sqrt{2})$.

Помогло решение? Оставьте отзыв в комментариях ниже.

Присоединяйтесь к Телеграм-группе @top_gdz

Присоединиться

Мы подготовили для вас ответ c подробным объяснением домашего задания по алгебре за 10-11 класс, для упражнения номер 362 расположенного на странице 112 к учебнику 2014 года издания для учащихся школ и гимназий.

Теперь на нашем сайте ГДЗ.ТОП вы всегда легко и бесплатно найдёте условие с правильным ответом на вопрос «Как решить ДЗ» и «Как сделать» задание по алгебре к упражнению №362 (с. 112), авторов: Алимов (Шавкат Арифджанович), Колягин (Юрий Михайлович), Ткачева (Мария Владимировна), Федорова (Надежда Евгеньевна), Шабунин (Михаил Иванович), ФГОС (старый) базовый и углублённый уровень обучения учебного пособия издательства Просвещение.