Номер 348, страница 109 - гдз по алгебре 10-11 класс учебник Алимов, Колягин

Алгебра, 10-11 класс Учебник, авторы: Алимов Шавкат Арифджанович, Колягин Юрий Михайлович, Ткачева Мария Владимировна, Федорова Надежда Евгеньевна, Шабунин Михаил Иванович, издательство Просвещение, Москва, 2014

Авторы: Алимов Ш. А., Колягин Ю. М., Ткачева М. В., Федорова Н. Е., Шабунин М. И.

Тип: Учебник

Издательство: Просвещение

Год издания: 2014 - 2025

Уровень обучения: базовый и углублённый

Цвет обложки: синий, фиолетовый

ISBN: 978-5-09-112136-0

Допущено Министерством просвещения Российской Федерации

Математика: алгебра и начала математического анализа, геометрия

Популярные ГДЗ в 10 классе

Глава 4. Логарифмическая функция. Параграф 19. Логарифмические уравнения - номер 348, страница 109.

№348 (с. 109)
Условие. №348 (с. 109)
скриншот условия
Алгебра, 10-11 класс Учебник, авторы: Алимов Шавкат Арифджанович, Колягин Юрий Михайлович, Ткачева Мария Владимировна, Федорова Надежда Евгеньевна, Шабунин Михаил Иванович, издательство Просвещение, Москва, 2014, страница 109, номер 348, Условие

Решить уравнение (348—352).

348 1) $\log_2 x - 2 \log_x 2 = -1;$ 2) $\log_2 x + \log_x 2 = 2,5;$

3) $\log_3 x + 2 \log_x 3 = 3;$ 4) $\log_3 x - 6 \log_x 3 = 1.$

Решение 1. №348 (с. 109)
Алгебра, 10-11 класс Учебник, авторы: Алимов Шавкат Арифджанович, Колягин Юрий Михайлович, Ткачева Мария Владимировна, Федорова Надежда Евгеньевна, Шабунин Михаил Иванович, издательство Просвещение, Москва, 2014, страница 109, номер 348, Решение 1
Алгебра, 10-11 класс Учебник, авторы: Алимов Шавкат Арифджанович, Колягин Юрий Михайлович, Ткачева Мария Владимировна, Федорова Надежда Евгеньевна, Шабунин Михаил Иванович, издательство Просвещение, Москва, 2014, страница 109, номер 348, Решение 1 (продолжение 2)
Алгебра, 10-11 класс Учебник, авторы: Алимов Шавкат Арифджанович, Колягин Юрий Михайлович, Ткачева Мария Владимировна, Федорова Надежда Евгеньевна, Шабунин Михаил Иванович, издательство Просвещение, Москва, 2014, страница 109, номер 348, Решение 1 (продолжение 3)
Алгебра, 10-11 класс Учебник, авторы: Алимов Шавкат Арифджанович, Колягин Юрий Михайлович, Ткачева Мария Владимировна, Федорова Надежда Евгеньевна, Шабунин Михаил Иванович, издательство Просвещение, Москва, 2014, страница 109, номер 348, Решение 1 (продолжение 4)
Решение 2. №348 (с. 109)
Алгебра, 10-11 класс Учебник, авторы: Алимов Шавкат Арифджанович, Колягин Юрий Михайлович, Ткачева Мария Владимировна, Федорова Надежда Евгеньевна, Шабунин Михаил Иванович, издательство Просвещение, Москва, 2014, страница 109, номер 348, Решение 2
Алгебра, 10-11 класс Учебник, авторы: Алимов Шавкат Арифджанович, Колягин Юрий Михайлович, Ткачева Мария Владимировна, Федорова Надежда Евгеньевна, Шабунин Михаил Иванович, издательство Просвещение, Москва, 2014, страница 109, номер 348, Решение 2 (продолжение 2)
Алгебра, 10-11 класс Учебник, авторы: Алимов Шавкат Арифджанович, Колягин Юрий Михайлович, Ткачева Мария Владимировна, Федорова Надежда Евгеньевна, Шабунин Михаил Иванович, издательство Просвещение, Москва, 2014, страница 109, номер 348, Решение 2 (продолжение 3)
Решение 4. №348 (с. 109)
Алгебра, 10-11 класс Учебник, авторы: Алимов Шавкат Арифджанович, Колягин Юрий Михайлович, Ткачева Мария Владимировна, Федорова Надежда Евгеньевна, Шабунин Михаил Иванович, издательство Просвещение, Москва, 2014, страница 109, номер 348, Решение 4
Решение 5. №348 (с. 109)
Алгебра, 10-11 класс Учебник, авторы: Алимов Шавкат Арифджанович, Колягин Юрий Михайлович, Ткачева Мария Владимировна, Федорова Надежда Евгеньевна, Шабунин Михаил Иванович, издательство Просвещение, Москва, 2014, страница 109, номер 348, Решение 5
Решение 6. №348 (с. 109)
Алгебра, 10-11 класс Учебник, авторы: Алимов Шавкат Арифджанович, Колягин Юрий Михайлович, Ткачева Мария Владимировна, Федорова Надежда Евгеньевна, Шабунин Михаил Иванович, издательство Просвещение, Москва, 2014, страница 109, номер 348, Решение 6
Решение 7. №348 (с. 109)
Алгебра, 10-11 класс Учебник, авторы: Алимов Шавкат Арифджанович, Колягин Юрий Михайлович, Ткачева Мария Владимировна, Федорова Надежда Евгеньевна, Шабунин Михаил Иванович, издательство Просвещение, Москва, 2014, страница 109, номер 348, Решение 7 Алгебра, 10-11 класс Учебник, авторы: Алимов Шавкат Арифджанович, Колягин Юрий Михайлович, Ткачева Мария Владимировна, Федорова Надежда Евгеньевна, Шабунин Михаил Иванович, издательство Просвещение, Москва, 2014, страница 109, номер 348, Решение 7 (продолжение 2) Алгебра, 10-11 класс Учебник, авторы: Алимов Шавкат Арифджанович, Колягин Юрий Михайлович, Ткачева Мария Владимировна, Федорова Надежда Евгеньевна, Шабунин Михаил Иванович, издательство Просвещение, Москва, 2014, страница 109, номер 348, Решение 7 (продолжение 3)
Решение 8. №348 (с. 109)

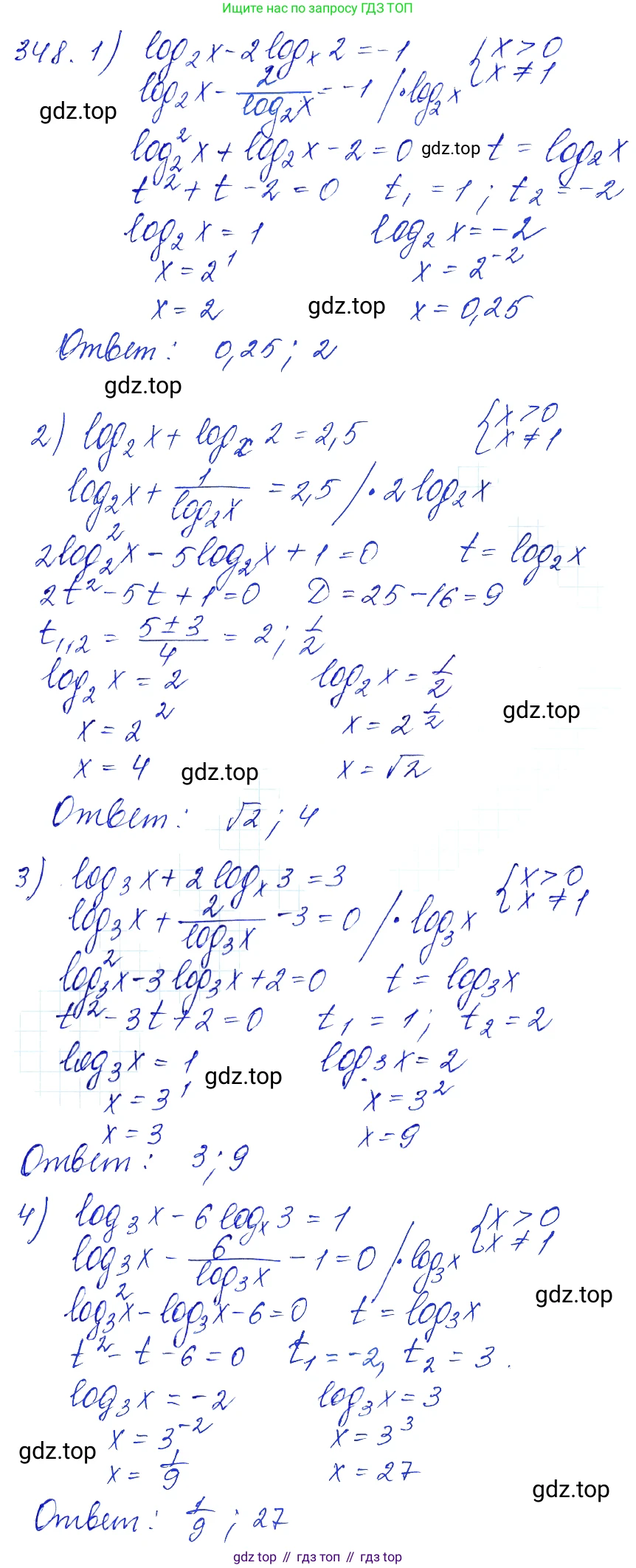
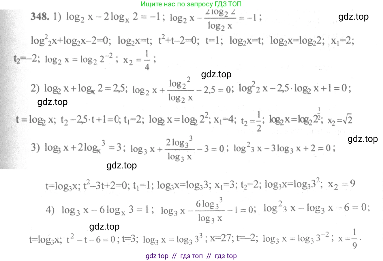
1) $\log_2 x - 2 \log_x 2 = -1$

Определим область допустимых значений (ОДЗ). Аргумент логарифма должен быть больше нуля, а основание логарифма должно быть больше нуля и не равно единице. Таким образом, ОДЗ: $x > 0$ и $x \neq 1$.

Воспользуемся формулой замены основания логарифма $\log_b a = \frac{1}{\log_a b}$, чтобы привести все логарифмы к одному основанию:

$\log_x 2 = \frac{1}{\log_2 x}$

Подставим это выражение в исходное уравнение:

$\log_2 x - 2 \cdot \frac{1}{\log_2 x} = -1$

Сделаем замену переменной. Пусть $t = \log_2 x$. Учитывая ОДЗ ($x \neq 1$), имеем $t \neq \log_2 1$, то есть $t \neq 0$.

$t - \frac{2}{t} = -1$

Умножим обе части уравнения на $t$, так как $t \neq 0$:

$t^2 - 2 = -t$

$t^2 + t - 2 = 0$

Решим полученное квадратное уравнение. По теореме Виета, сумма корней равна $-1$, а произведение равно $-2$. Корни уравнения: $t_1 = 1$ и $t_2 = -2$.

Выполним обратную замену:

1. Если $t = 1$, то $\log_2 x = 1$, откуда $x = 2^1 = 2$.

2. Если $t = -2$, то $\log_2 x = -2$, откуда $x = 2^{-2} = \frac{1}{4}$.

Оба найденных значения $x=2$ и $x=\frac{1}{4}$ удовлетворяют ОДЗ.

Ответ: $2; \frac{1}{4}$.


2) $\log_2 x + \log_x 2 = 2,5$

ОДЗ: $x > 0$ и $x \neq 1$.

Приведем логарифмы к одному основанию, используя формулу $\log_x 2 = \frac{1}{\log_2 x}$:

$\log_2 x + \frac{1}{\log_2 x} = 2,5$

Сделаем замену переменной: $t = \log_2 x$ (где $t \neq 0$).

$t + \frac{1}{t} = \frac{5}{2}$

Умножим обе части на $2t$ (так как $t \neq 0$):

$2t^2 + 2 = 5t$

$2t^2 - 5t + 2 = 0$

Решим квадратное уравнение. Дискриминант $D = (-5)^2 - 4 \cdot 2 \cdot 2 = 25 - 16 = 9$.

Корни уравнения: $t_{1,2} = \frac{5 \pm \sqrt{9}}{4} = \frac{5 \pm 3}{4}$.

$t_1 = \frac{5+3}{4} = 2$

$t_2 = \frac{5-3}{4} = \frac{2}{4} = \frac{1}{2}$

Выполним обратную замену:

1. Если $t = 2$, то $\log_2 x = 2$, откуда $x = 2^2 = 4$.

2. Если $t = \frac{1}{2}$, то $\log_2 x = \frac{1}{2}$, откуда $x = 2^{1/2} = \sqrt{2}$.

Оба корня $x=4$ и $x=\sqrt{2}$ удовлетворяют ОДЗ.

Ответ: $4; \sqrt{2}$.


3) $\log_3 x + 2 \log_x 3 = 3$

ОДЗ: $x > 0$ и $x \neq 1$.

Используя формулу $\log_x 3 = \frac{1}{\log_3 x}$, преобразуем уравнение:

$\log_3 x + 2 \cdot \frac{1}{\log_3 x} = 3$

Сделаем замену $t = \log_3 x$ (где $t \neq 0$):

$t + \frac{2}{t} = 3$

Умножим на $t$:

$t^2 + 2 = 3t$

$t^2 - 3t + 2 = 0$

По теореме Виета, $t_1 = 1$, $t_2 = 2$.

Выполним обратную замену:

1. Если $t = 1$, то $\log_3 x = 1$, откуда $x = 3^1 = 3$.

2. Если $t = 2$, то $\log_3 x = 2$, откуда $x = 3^2 = 9$.

Оба корня $x=3$ и $x=9$ удовлетворяют ОДЗ.

Ответ: $3; 9$.


4) $\log_3 x - 6 \log_x 3 = 1$

ОДЗ: $x > 0$ и $x \neq 1$.

Преобразуем уравнение, используя $\log_x 3 = \frac{1}{\log_3 x}$:

$\log_3 x - \frac{6}{\log_3 x} = 1$

Сделаем замену $t = \log_3 x$ (где $t \neq 0$):

$t - \frac{6}{t} = 1$

Умножим на $t$:

$t^2 - 6 = t$

$t^2 - t - 6 = 0$

По теореме Виета, сумма корней равна $1$, а произведение $-6$. Корни уравнения: $t_1 = 3$ и $t_2 = -2$.

Выполним обратную замену:

1. Если $t = 3$, то $\log_3 x = 3$, откуда $x = 3^3 = 27$.

2. Если $t = -2$, то $\log_3 x = -2$, откуда $x = 3^{-2} = \frac{1}{9}$.

Оба корня $x=27$ и $x=\frac{1}{9}$ удовлетворяют ОДЗ.

Ответ: $27; \frac{1}{9}$.

Помогло решение? Оставьте отзыв в комментариях ниже.

Присоединяйтесь к Телеграм-группе @top_gdz

Присоединиться

Мы подготовили для вас ответ c подробным объяснением домашего задания по алгебре за 10-11 класс, для упражнения номер 348 расположенного на странице 109 к учебнику 2014 года издания для учащихся школ и гимназий.

Теперь на нашем сайте ГДЗ.ТОП вы всегда легко и бесплатно найдёте условие с правильным ответом на вопрос «Как решить ДЗ» и «Как сделать» задание по алгебре к упражнению №348 (с. 109), авторов: Алимов (Шавкат Арифджанович), Колягин (Юрий Михайлович), Ткачева (Мария Владимировна), Федорова (Надежда Евгеньевна), Шабунин (Михаил Иванович), ФГОС (старый) базовый и углублённый уровень обучения учебного пособия издательства Просвещение.