Номер 345, страница 109 - гдз по алгебре 10-11 класс учебник Алимов, Колягин

Алгебра, 10-11 класс Учебник, авторы: Алимов Шавкат Арифджанович, Колягин Юрий Михайлович, Ткачева Мария Владимировна, Федорова Надежда Евгеньевна, Шабунин Михаил Иванович, издательство Просвещение, Москва, 2014

Авторы: Алимов Ш. А., Колягин Ю. М., Ткачева М. В., Федорова Н. Е., Шабунин М. И.

Тип: Учебник

Издательство: Просвещение

Год издания: 2014 - 2025

Уровень обучения: базовый и углублённый

Цвет обложки: синий, фиолетовый

ISBN: 978-5-09-112136-0

Допущено Министерством просвещения Российской Федерации

Математика: алгебра и начала математического анализа, геометрия

Популярные ГДЗ в 10 классе

Глава 4. Логарифмическая функция. Параграф 19. Логарифмические уравнения - номер 345, страница 109.

№345 (с. 109)
Условие. №345 (с. 109)
скриншот условия
Алгебра, 10-11 класс Учебник, авторы: Алимов Шавкат Арифджанович, Колягин Юрий Михайлович, Ткачева Мария Владимировна, Федорова Надежда Евгеньевна, Шабунин Михаил Иванович, издательство Просвещение, Москва, 2014, страница 109, номер 345, Условие

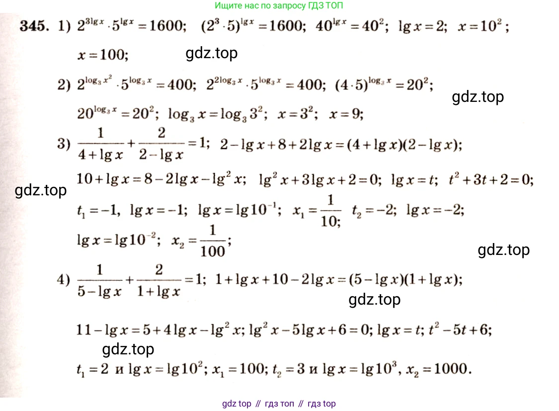
345 1) $2^{3 \lg x} \cdot 5^{\lg x} = 1600;$

2) $2^{\log_3 x^2} \cdot 5^{\log_3 x} = 400;$

3) $\frac{1}{4 + \lg x} + \frac{2}{2 - \lg x} = 1;$

4) $\frac{1}{5 - \lg x} + \frac{2}{1 + \lg x} = 1.$

Решение 1. №345 (с. 109)
Алгебра, 10-11 класс Учебник, авторы: Алимов Шавкат Арифджанович, Колягин Юрий Михайлович, Ткачева Мария Владимировна, Федорова Надежда Евгеньевна, Шабунин Михаил Иванович, издательство Просвещение, Москва, 2014, страница 109, номер 345, Решение 1
Алгебра, 10-11 класс Учебник, авторы: Алимов Шавкат Арифджанович, Колягин Юрий Михайлович, Ткачева Мария Владимировна, Федорова Надежда Евгеньевна, Шабунин Михаил Иванович, издательство Просвещение, Москва, 2014, страница 109, номер 345, Решение 1 (продолжение 2)
Алгебра, 10-11 класс Учебник, авторы: Алимов Шавкат Арифджанович, Колягин Юрий Михайлович, Ткачева Мария Владимировна, Федорова Надежда Евгеньевна, Шабунин Михаил Иванович, издательство Просвещение, Москва, 2014, страница 109, номер 345, Решение 1 (продолжение 3)
Алгебра, 10-11 класс Учебник, авторы: Алимов Шавкат Арифджанович, Колягин Юрий Михайлович, Ткачева Мария Владимировна, Федорова Надежда Евгеньевна, Шабунин Михаил Иванович, издательство Просвещение, Москва, 2014, страница 109, номер 345, Решение 1 (продолжение 4)
Решение 2. №345 (с. 109)
Алгебра, 10-11 класс Учебник, авторы: Алимов Шавкат Арифджанович, Колягин Юрий Михайлович, Ткачева Мария Владимировна, Федорова Надежда Евгеньевна, Шабунин Михаил Иванович, издательство Просвещение, Москва, 2014, страница 109, номер 345, Решение 2
Алгебра, 10-11 класс Учебник, авторы: Алимов Шавкат Арифджанович, Колягин Юрий Михайлович, Ткачева Мария Владимировна, Федорова Надежда Евгеньевна, Шабунин Михаил Иванович, издательство Просвещение, Москва, 2014, страница 109, номер 345, Решение 2 (продолжение 2)
Алгебра, 10-11 класс Учебник, авторы: Алимов Шавкат Арифджанович, Колягин Юрий Михайлович, Ткачева Мария Владимировна, Федорова Надежда Евгеньевна, Шабунин Михаил Иванович, издательство Просвещение, Москва, 2014, страница 109, номер 345, Решение 2 (продолжение 3)
Решение 4. №345 (с. 109)
Алгебра, 10-11 класс Учебник, авторы: Алимов Шавкат Арифджанович, Колягин Юрий Михайлович, Ткачева Мария Владимировна, Федорова Надежда Евгеньевна, Шабунин Михаил Иванович, издательство Просвещение, Москва, 2014, страница 109, номер 345, Решение 4
Решение 5. №345 (с. 109)
Алгебра, 10-11 класс Учебник, авторы: Алимов Шавкат Арифджанович, Колягин Юрий Михайлович, Ткачева Мария Владимировна, Федорова Надежда Евгеньевна, Шабунин Михаил Иванович, издательство Просвещение, Москва, 2014, страница 109, номер 345, Решение 5
Решение 6. №345 (с. 109)
Алгебра, 10-11 класс Учебник, авторы: Алимов Шавкат Арифджанович, Колягин Юрий Михайлович, Ткачева Мария Владимировна, Федорова Надежда Евгеньевна, Шабунин Михаил Иванович, издательство Просвещение, Москва, 2014, страница 109, номер 345, Решение 6
Решение 7. №345 (с. 109)
Алгебра, 10-11 класс Учебник, авторы: Алимов Шавкат Арифджанович, Колягин Юрий Михайлович, Ткачева Мария Владимировна, Федорова Надежда Евгеньевна, Шабунин Михаил Иванович, издательство Просвещение, Москва, 2014, страница 109, номер 345, Решение 7 Алгебра, 10-11 класс Учебник, авторы: Алимов Шавкат Арифджанович, Колягин Юрий Михайлович, Ткачева Мария Владимировна, Федорова Надежда Евгеньевна, Шабунин Михаил Иванович, издательство Просвещение, Москва, 2014, страница 109, номер 345, Решение 7 (продолжение 2)
Решение 8. №345 (с. 109)

1) $2^{3 \lg x} \cdot 5^{\lg x} = 1600$
Область допустимых значений (ОДЗ): $x > 0$.
Преобразуем левую часть уравнения, используя свойство степени $(a^m)^n = a^{mn}$:
$(2^3)^{\lg x} \cdot 5^{\lg x} = 1600$
$8^{\lg x} \cdot 5^{\lg x} = 1600$
Используем свойство $a^c \cdot b^c = (ab)^c$:
$(8 \cdot 5)^{\lg x} = 1600$
$40^{\lg x} = 1600$
Так как $1600 = 40^2$, уравнение принимает вид:
$40^{\lg x} = 40^2$
Приравниваем показатели степеней:
$\lg x = 2$
По определению десятичного логарифма:
$x = 10^2$
$x = 100$
Корень $x=100$ удовлетворяет ОДЗ ($100 > 0$).
Ответ: $100$.

2) $2^{\log_3 x^2} \cdot 5^{\log_3 x} = 400$
ОДЗ: $x > 0$, так как под знаком логарифма должно быть положительное число. Для $\log_3 x^2$ требуется $x^2 > 0$, то есть $x \neq 0$. Для $\log_3 x$ требуется $x>0$. Объединяя условия, получаем $x > 0$.
Используем свойство логарифма $\log_a b^c = c \log_a b$ для первого множителя:
$2^{2 \log_3 x} \cdot 5^{\log_3 x} = 400$
Используем свойство степени $(a^m)^n = a^{mn}$:
$(2^2)^{\log_3 x} \cdot 5^{\log_3 x} = 400$
$4^{\log_3 x} \cdot 5^{\log_3 x} = 400$
Используем свойство $a^c \cdot b^c = (ab)^c$:
$(4 \cdot 5)^{\log_3 x} = 400$
$20^{\log_3 x} = 400$
Так как $400 = 20^2$, уравнение принимает вид:
$20^{\log_3 x} = 20^2$
Приравниваем показатели степеней:
$\log_3 x = 2$
По определению логарифма:
$x = 3^2$
$x = 9$
Корень $x=9$ удовлетворяет ОДЗ ($9 > 0$).
Ответ: $9$.

3) $\frac{1}{4 + \lg x} + \frac{2}{2 - \lg x} = 1$
ОДЗ: $x > 0$ и знаменатели не равны нулю.
$4 + \lg x \neq 0 \implies \lg x \neq -4 \implies x \neq 10^{-4}$
$2 - \lg x \neq 0 \implies \lg x \neq 2 \implies x \neq 10^2$
Сделаем замену: пусть $t = \lg x$. Тогда уравнение примет вид:
$\frac{1}{4 + t} + \frac{2}{2 - t} = 1$, где $t \neq -4$ и $t \neq 2$.
Приведем левую часть к общему знаменателю $(4+t)(2-t)$:
$\frac{(2 - t) + 2(4 + t)}{(4 + t)(2 - t)} = 1$
$\frac{2 - t + 8 + 2t}{8 - 4t + 2t - t^2} = 1$
$\frac{10 + t}{8 - 2t - t^2} = 1$
$10 + t = 8 - 2t - t^2$
Перенесем все члены в левую часть и приведем подобные:
$t^2 + 2t + t + 10 - 8 = 0$
$t^2 + 3t + 2 = 0$
Решим квадратное уравнение. По теореме Виета: $t_1 + t_2 = -3$ и $t_1 \cdot t_2 = 2$.
Корни уравнения: $t_1 = -1$ и $t_2 = -2$. Оба корня удовлетворяют условиям $t \neq -4$ и $t \neq 2$.
Вернемся к замене:
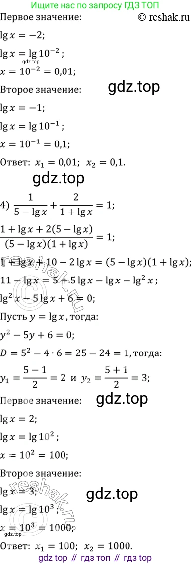
1. $\lg x = t_1 \implies \lg x = -1 \implies x_1 = 10^{-1} = 0.1$
2. $\lg x = t_2 \implies \lg x = -2 \implies x_2 = 10^{-2} = 0.01$
Оба корня удовлетворяют ОДЗ.
Ответ: $0.1; 0.01$.

4) $\frac{1}{5 - \lg x} + \frac{2}{1 + \lg x} = 1$
ОДЗ: $x > 0$ и знаменатели не равны нулю.
$5 - \lg x \neq 0 \implies \lg x \neq 5 \implies x \neq 10^5$
$1 + \lg x \neq 0 \implies \lg x \neq -1 \implies x \neq 10^{-1}$
Сделаем замену: пусть $t = \lg x$. Тогда уравнение примет вид:
$\frac{1}{5 - t} + \frac{2}{1 + t} = 1$, где $t \neq 5$ и $t \neq -1$.
Приведем левую часть к общему знаменателю $(5-t)(1+t)$:
$\frac{(1 + t) + 2(5 - t)}{(5 - t)(1 + t)} = 1$
$\frac{1 + t + 10 - 2t}{5 + 5t - t - t^2} = 1$
$\frac{11 - t}{5 + 4t - t^2} = 1$
$11 - t = 5 + 4t - t^2$
Перенесем все члены в левую часть и приведем подобные:
$t^2 - 4t - t + 11 - 5 = 0$
$t^2 - 5t + 6 = 0$
Решим квадратное уравнение. По теореме Виета: $t_1 + t_2 = 5$ и $t_1 \cdot t_2 = 6$.
Корни уравнения: $t_1 = 2$ и $t_2 = 3$. Оба корня удовлетворяют условиям $t \neq 5$ и $t \neq -1$.
Вернемся к замене:
1. $\lg x = t_1 \implies \lg x = 2 \implies x_1 = 10^2 = 100$
2. $\lg x = t_2 \implies \lg x = 3 \implies x_2 = 10^3 = 1000$
Оба корня удовлетворяют ОДЗ.
Ответ: $100; 1000$.

Помогло решение? Оставьте отзыв в комментариях ниже.

Присоединяйтесь к Телеграм-группе @top_gdz

Присоединиться

Мы подготовили для вас ответ c подробным объяснением домашего задания по алгебре за 10-11 класс, для упражнения номер 345 расположенного на странице 109 к учебнику 2014 года издания для учащихся школ и гимназий.

Теперь на нашем сайте ГДЗ.ТОП вы всегда легко и бесплатно найдёте условие с правильным ответом на вопрос «Как решить ДЗ» и «Как сделать» задание по алгебре к упражнению №345 (с. 109), авторов: Алимов (Шавкат Арифджанович), Колягин (Юрий Михайлович), Ткачева (Мария Владимировна), Федорова (Надежда Евгеньевна), Шабунин (Михаил Иванович), ФГОС (старый) базовый и углублённый уровень обучения учебного пособия издательства Просвещение.