Номер 337, страница 108 - гдз по алгебре 10-11 класс учебник Алимов, Колягин

Алгебра, 10-11 класс Учебник, авторы: Алимов Шавкат Арифджанович, Колягин Юрий Михайлович, Ткачева Мария Владимировна, Федорова Надежда Евгеньевна, Шабунин Михаил Иванович, издательство Просвещение, Москва, 2014

Авторы: Алимов Ш. А., Колягин Ю. М., Ткачева М. В., Федорова Н. Е., Шабунин М. И.

Тип: Учебник

Издательство: Просвещение

Год издания: 2014 - 2025

Уровень обучения: базовый и углублённый

Цвет обложки: синий, фиолетовый

ISBN: 978-5-09-112136-0

Допущено Министерством просвещения Российской Федерации

Математика: алгебра и начала математического анализа, геометрия

Популярные ГДЗ в 10 классе

Глава 4. Логарифмическая функция. Параграф 19. Логарифмические уравнения - номер 337, страница 108.

№337 (с. 108)
Условие. №337 (с. 108)
скриншот условия
Алгебра, 10-11 класс Учебник, авторы: Алимов Шавкат Арифджанович, Колягин Юрий Михайлович, Ткачева Мария Владимировна, Федорова Надежда Евгеньевна, Шабунин Михаил Иванович, издательство Просвещение, Москва, 2014, страница 108, номер 337, Условие

Решить уравнение (337—341).

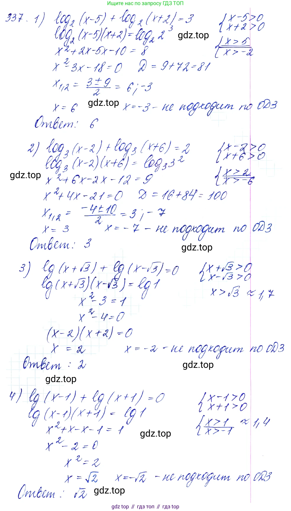
337 1) $\log_2 (x - 5) + \log_2 (x + 2) = 3;$

2) $\log_3 (x - 2) + \log_3 (x + 6) = 2;$

3) $\lg (x + \sqrt{3}) + \lg (x - \sqrt{3}) = 0;$

4) $\lg (x - 1) + \lg (x + 1) = 0.$

Решение 1. №337 (с. 108)
Алгебра, 10-11 класс Учебник, авторы: Алимов Шавкат Арифджанович, Колягин Юрий Михайлович, Ткачева Мария Владимировна, Федорова Надежда Евгеньевна, Шабунин Михаил Иванович, издательство Просвещение, Москва, 2014, страница 108, номер 337, Решение 1
Алгебра, 10-11 класс Учебник, авторы: Алимов Шавкат Арифджанович, Колягин Юрий Михайлович, Ткачева Мария Владимировна, Федорова Надежда Евгеньевна, Шабунин Михаил Иванович, издательство Просвещение, Москва, 2014, страница 108, номер 337, Решение 1 (продолжение 2)
Алгебра, 10-11 класс Учебник, авторы: Алимов Шавкат Арифджанович, Колягин Юрий Михайлович, Ткачева Мария Владимировна, Федорова Надежда Евгеньевна, Шабунин Михаил Иванович, издательство Просвещение, Москва, 2014, страница 108, номер 337, Решение 1 (продолжение 3)
Алгебра, 10-11 класс Учебник, авторы: Алимов Шавкат Арифджанович, Колягин Юрий Михайлович, Ткачева Мария Владимировна, Федорова Надежда Евгеньевна, Шабунин Михаил Иванович, издательство Просвещение, Москва, 2014, страница 108, номер 337, Решение 1 (продолжение 4)
Решение 2. №337 (с. 108)
Алгебра, 10-11 класс Учебник, авторы: Алимов Шавкат Арифджанович, Колягин Юрий Михайлович, Ткачева Мария Владимировна, Федорова Надежда Евгеньевна, Шабунин Михаил Иванович, издательство Просвещение, Москва, 2014, страница 108, номер 337, Решение 2
Алгебра, 10-11 класс Учебник, авторы: Алимов Шавкат Арифджанович, Колягин Юрий Михайлович, Ткачева Мария Владимировна, Федорова Надежда Евгеньевна, Шабунин Михаил Иванович, издательство Просвещение, Москва, 2014, страница 108, номер 337, Решение 2 (продолжение 2)
Решение 4. №337 (с. 108)
Алгебра, 10-11 класс Учебник, авторы: Алимов Шавкат Арифджанович, Колягин Юрий Михайлович, Ткачева Мария Владимировна, Федорова Надежда Евгеньевна, Шабунин Михаил Иванович, издательство Просвещение, Москва, 2014, страница 108, номер 337, Решение 4
Решение 5. №337 (с. 108)
Алгебра, 10-11 класс Учебник, авторы: Алимов Шавкат Арифджанович, Колягин Юрий Михайлович, Ткачева Мария Владимировна, Федорова Надежда Евгеньевна, Шабунин Михаил Иванович, издательство Просвещение, Москва, 2014, страница 108, номер 337, Решение 5
Решение 6. №337 (с. 108)
Алгебра, 10-11 класс Учебник, авторы: Алимов Шавкат Арифджанович, Колягин Юрий Михайлович, Ткачева Мария Владимировна, Федорова Надежда Евгеньевна, Шабунин Михаил Иванович, издательство Просвещение, Москва, 2014, страница 108, номер 337, Решение 6
Решение 7. №337 (с. 108)
Алгебра, 10-11 класс Учебник, авторы: Алимов Шавкат Арифджанович, Колягин Юрий Михайлович, Ткачева Мария Владимировна, Федорова Надежда Евгеньевна, Шабунин Михаил Иванович, издательство Просвещение, Москва, 2014, страница 108, номер 337, Решение 7 Алгебра, 10-11 класс Учебник, авторы: Алимов Шавкат Арифджанович, Колягин Юрий Михайлович, Ткачева Мария Владимировна, Федорова Надежда Евгеньевна, Шабунин Михаил Иванович, издательство Просвещение, Москва, 2014, страница 108, номер 337, Решение 7 (продолжение 2)
Решение 8. №337 (с. 108)

1) $log_2(x - 5) + log_2(x + 2) = 3$

Сначала определим область допустимых значений (ОДЗ) для переменной $x$. Аргументы логарифмов должны быть строго положительными:
$\begin{cases} x - 5 > 0 \\ x + 2 > 0 \end{cases} \Rightarrow \begin{cases} x > 5 \\ x > -2 \end{cases}$
Пересечением этих условий является $x > 5$. Таким образом, ОДЗ: $x \in (5; +\infty)$.

Используем свойство суммы логарифмов $log_a(b) + log_a(c) = log_a(bc)$:
$log_2((x - 5)(x + 2)) = 3$

По определению логарифма ($log_a(b) = c \Leftrightarrow a^c = b$):
$(x - 5)(x + 2) = 2^3$
$x^2 + 2x - 5x - 10 = 8$
$x^2 - 3x - 18 = 0$

Решим полученное квадратное уравнение. Найдем дискриминант:
$D = b^2 - 4ac = (-3)^2 - 4 \cdot 1 \cdot (-18) = 9 + 72 = 81 = 9^2$
Найдем корни:
$x_1 = \frac{-b + \sqrt{D}}{2a} = \frac{3 + 9}{2} = \frac{12}{2} = 6$
$x_2 = \frac{-b - \sqrt{D}}{2a} = \frac{3 - 9}{2} = \frac{-6}{2} = -3$

Проверим корни на соответствие ОДЗ ($x > 5$).
Корень $x_1 = 6$ удовлетворяет условию $6 > 5$.
Корень $x_2 = -3$ не удовлетворяет условию $-3 > 5$, поэтому является посторонним.
Ответ: 6

2) $log_3(x - 2) + log_3(x + 6) = 2$

Определим ОДЗ:
$\begin{cases} x - 2 > 0 \\ x + 6 > 0 \end{cases} \Rightarrow \begin{cases} x > 2 \\ x > -6 \end{cases}$
ОДЗ: $x \in (2; +\infty)$.

Применим свойство суммы логарифмов:
$log_3((x - 2)(x + 6)) = 2$

По определению логарифма:
$(x - 2)(x + 6) = 3^2$
$x^2 + 6x - 2x - 12 = 9$
$x^2 + 4x - 21 = 0$

Решим квадратное уравнение. Дискриминант:
$D = 4^2 - 4 \cdot 1 \cdot (-21) = 16 + 84 = 100 = 10^2$
Корни:
$x_1 = \frac{-4 + 10}{2} = \frac{6}{2} = 3$
$x_2 = \frac{-4 - 10}{2} = \frac{-14}{2} = -7$

Проверим корни на соответствие ОДЗ ($x > 2$).
Корень $x_1 = 3$ удовлетворяет условию $3 > 2$.
Корень $x_2 = -7$ не удовлетворяет условию $-7 > 2$.
Ответ: 3

3) $lg(x + \sqrt{3}) + lg(x - \sqrt{3}) = 0$

ОДЗ:
$\begin{cases} x + \sqrt{3} > 0 \\ x - \sqrt{3} > 0 \end{cases} \Rightarrow \begin{cases} x > -\sqrt{3} \\ x > \sqrt{3} \end{cases}$
ОДЗ: $x \in (\sqrt{3}; +\infty)$.

Используем свойство суммы логарифмов. Заметим, что $lg$ — это десятичный логарифм, то есть $log_{10}$.
$lg((x + \sqrt{3})(x - \sqrt{3})) = 0$
Используем формулу разности квадратов:
$lg(x^2 - (\sqrt{3})^2) = 0$
$lg(x^2 - 3) = 0$

По определению логарифма:
$x^2 - 3 = 10^0$
$x^2 - 3 = 1$
$x^2 = 4$
$x_1 = 2$, $x_2 = -2$

Проверим корни на соответствие ОДЗ ($x > \sqrt{3}$).
Корень $x_1 = 2$. Так как $2 = \sqrt{4}$ и $\sqrt{4} > \sqrt{3}$, то корень $x=2$ подходит.
Корень $x_2 = -2$ не удовлетворяет условию, так как $-2 < \sqrt{3}$.
Ответ: 2

4) $lg(x - 1) + lg(x + 1) = 0$

ОДЗ:
$\begin{cases} x - 1 > 0 \\ x + 1 > 0 \end{cases} \Rightarrow \begin{cases} x > 1 \\ x > -1 \end{cases}$
ОДЗ: $x \in (1; +\infty)$.

Применим свойство суммы логарифмов и формулу разности квадратов:
$lg((x - 1)(x + 1)) = 0$
$lg(x^2 - 1) = 0$

По определению логарифма:
$x^2 - 1 = 10^0$
$x^2 - 1 = 1$
$x^2 = 2$
$x_1 = \sqrt{2}$, $x_2 = -\sqrt{2}$

Проверим корни на соответствие ОДЗ ($x > 1$).
Корень $x_1 = \sqrt{2}$. Так как $\sqrt{2} \approx 1.414$, то $\sqrt{2} > 1$, корень подходит.
Корень $x_2 = -\sqrt{2}$ не удовлетворяет условию $x > 1$.
Ответ: $\sqrt{2}$

Помогло решение? Оставьте отзыв в комментариях ниже.

Присоединяйтесь к Телеграм-группе @top_gdz

Присоединиться

Мы подготовили для вас ответ c подробным объяснением домашего задания по алгебре за 10-11 класс, для упражнения номер 337 расположенного на странице 108 к учебнику 2014 года издания для учащихся школ и гимназий.

Теперь на нашем сайте ГДЗ.ТОП вы всегда легко и бесплатно найдёте условие с правильным ответом на вопрос «Как решить ДЗ» и «Как сделать» задание по алгебре к упражнению №337 (с. 108), авторов: Алимов (Шавкат Арифджанович), Колягин (Юрий Михайлович), Ткачева (Мария Владимировна), Федорова (Надежда Евгеньевна), Шабунин (Михаил Иванович), ФГОС (старый) базовый и углублённый уровень обучения учебного пособия издательства Просвещение.