Номер 330, страница 104 - гдз по алгебре 10-11 класс учебник Алимов, Колягин

Алгебра, 10-11 класс Учебник, авторы: Алимов Шавкат Арифджанович, Колягин Юрий Михайлович, Ткачева Мария Владимировна, Федорова Надежда Евгеньевна, Шабунин Михаил Иванович, издательство Просвещение, Москва, 2014

Авторы: Алимов Ш. А., Колягин Ю. М., Ткачева М. В., Федорова Н. Е., Шабунин М. И.

Тип: Учебник

Издательство: Просвещение

Год издания: 2014 - 2025

Уровень обучения: базовый и углублённый

Цвет обложки: синий, фиолетовый

ISBN: 978-5-09-112136-0

Допущено Министерством просвещения Российской Федерации

Математика: алгебра и начала математического анализа, геометрия

Популярные ГДЗ в 10 классе

Глава 4. Логарифмическая функция. Параграф 18. Логарифмическая функция, её свойства и график - номер 330, страница 104.

№330 (с. 104)
Условие. №330 (с. 104)
скриншот условия
Алгебра, 10-11 класс Учебник, авторы: Алимов Шавкат Арифджанович, Колягин Юрий Михайлович, Ткачева Мария Владимировна, Федорова Надежда Евгеньевна, Шабунин Михаил Иванович, издательство Просвещение, Москва, 2014, страница 104, номер 330, Условие

330 Сравнить значения выражений:

1) $\frac{1}{2} + \lg 3$ и $\lg 19 - \lg 2$;

2) $\frac{\lg 5 + \lg \sqrt{7}}{2}$ и $\lg \frac{5 + \sqrt{7}}{2}$;

3) $3 (\lg 7 - \lg 5)$ и $\lg 9 - \frac{2}{3} \lg 8$;

4) $\lg \lg \lg 50$ и $\lg^3 50$.

Решение 1. №330 (с. 104)
Алгебра, 10-11 класс Учебник, авторы: Алимов Шавкат Арифджанович, Колягин Юрий Михайлович, Ткачева Мария Владимировна, Федорова Надежда Евгеньевна, Шабунин Михаил Иванович, издательство Просвещение, Москва, 2014, страница 104, номер 330, Решение 1
Алгебра, 10-11 класс Учебник, авторы: Алимов Шавкат Арифджанович, Колягин Юрий Михайлович, Ткачева Мария Владимировна, Федорова Надежда Евгеньевна, Шабунин Михаил Иванович, издательство Просвещение, Москва, 2014, страница 104, номер 330, Решение 1 (продолжение 2)
Алгебра, 10-11 класс Учебник, авторы: Алимов Шавкат Арифджанович, Колягин Юрий Михайлович, Ткачева Мария Владимировна, Федорова Надежда Евгеньевна, Шабунин Михаил Иванович, издательство Просвещение, Москва, 2014, страница 104, номер 330, Решение 1 (продолжение 3)
Алгебра, 10-11 класс Учебник, авторы: Алимов Шавкат Арифджанович, Колягин Юрий Михайлович, Ткачева Мария Владимировна, Федорова Надежда Евгеньевна, Шабунин Михаил Иванович, издательство Просвещение, Москва, 2014, страница 104, номер 330, Решение 1 (продолжение 4)
Решение 2. №330 (с. 104)
Алгебра, 10-11 класс Учебник, авторы: Алимов Шавкат Арифджанович, Колягин Юрий Михайлович, Ткачева Мария Владимировна, Федорова Надежда Евгеньевна, Шабунин Михаил Иванович, издательство Просвещение, Москва, 2014, страница 104, номер 330, Решение 2
Алгебра, 10-11 класс Учебник, авторы: Алимов Шавкат Арифджанович, Колягин Юрий Михайлович, Ткачева Мария Владимировна, Федорова Надежда Евгеньевна, Шабунин Михаил Иванович, издательство Просвещение, Москва, 2014, страница 104, номер 330, Решение 2 (продолжение 2)
Решение 4. №330 (с. 104)
Алгебра, 10-11 класс Учебник, авторы: Алимов Шавкат Арифджанович, Колягин Юрий Михайлович, Ткачева Мария Владимировна, Федорова Надежда Евгеньевна, Шабунин Михаил Иванович, издательство Просвещение, Москва, 2014, страница 104, номер 330, Решение 4
Решение 5. №330 (с. 104)
Алгебра, 10-11 класс Учебник, авторы: Алимов Шавкат Арифджанович, Колягин Юрий Михайлович, Ткачева Мария Владимировна, Федорова Надежда Евгеньевна, Шабунин Михаил Иванович, издательство Просвещение, Москва, 2014, страница 104, номер 330, Решение 5
Решение 6. №330 (с. 104)
Алгебра, 10-11 класс Учебник, авторы: Алимов Шавкат Арифджанович, Колягин Юрий Михайлович, Ткачева Мария Владимировна, Федорова Надежда Евгеньевна, Шабунин Михаил Иванович, издательство Просвещение, Москва, 2014, страница 104, номер 330, Решение 6
Решение 7. №330 (с. 104)
Алгебра, 10-11 класс Учебник, авторы: Алимов Шавкат Арифджанович, Колягин Юрий Михайлович, Ткачева Мария Владимировна, Федорова Надежда Евгеньевна, Шабунин Михаил Иванович, издательство Просвещение, Москва, 2014, страница 104, номер 330, Решение 7 Алгебра, 10-11 класс Учебник, авторы: Алимов Шавкат Арифджанович, Колягин Юрий Михайлович, Ткачева Мария Владимировна, Федорова Надежда Евгеньевна, Шабунин Михаил Иванович, издательство Просвещение, Москва, 2014, страница 104, номер 330, Решение 7 (продолжение 2) Алгебра, 10-11 класс Учебник, авторы: Алимов Шавкат Арифджанович, Колягин Юрий Михайлович, Ткачева Мария Владимировна, Федорова Надежда Евгеньевна, Шабунин Михаил Иванович, издательство Просвещение, Москва, 2014, страница 104, номер 330, Решение 7 (продолжение 3)
Решение 8. №330 (с. 104)

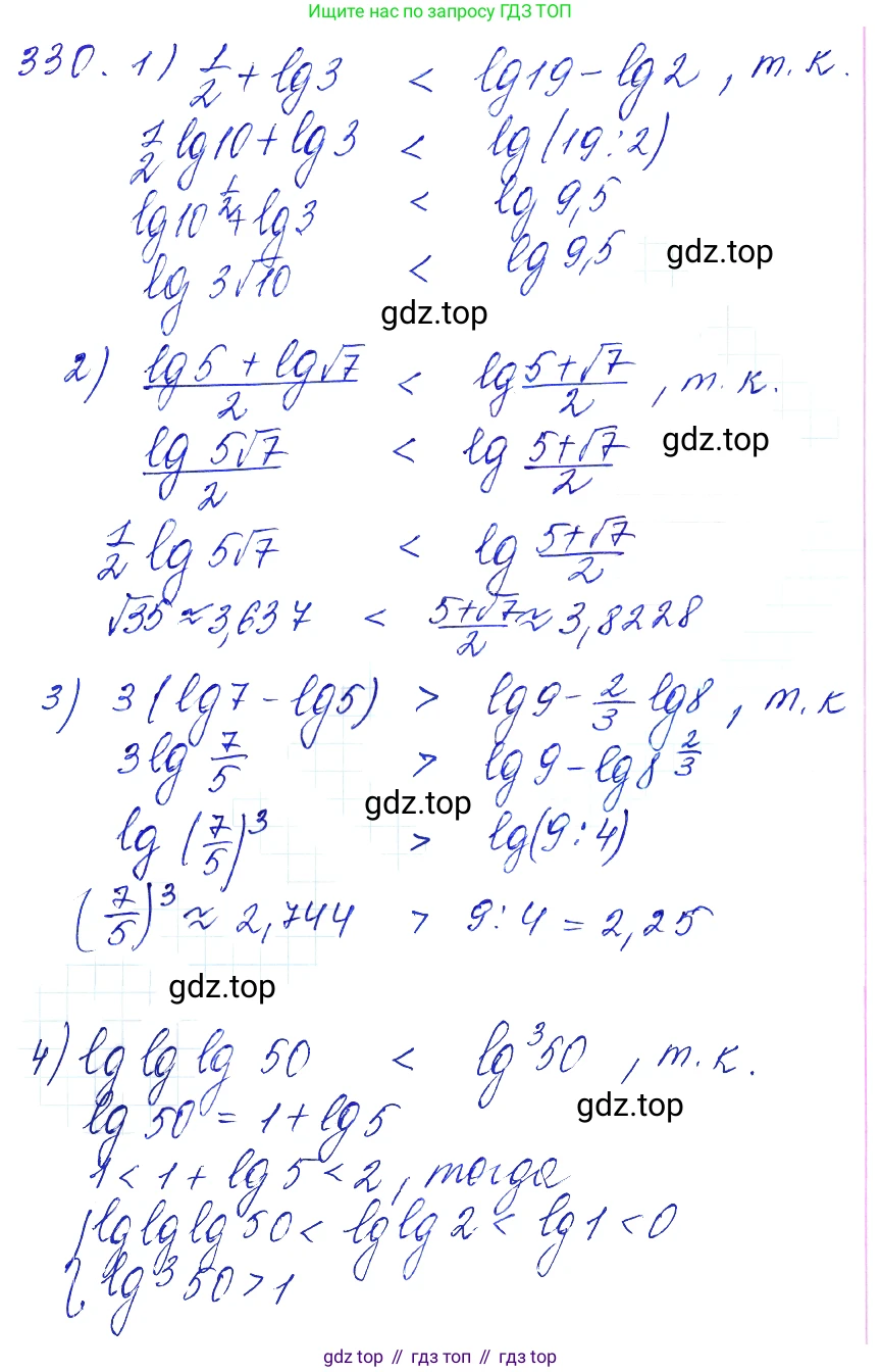
1) Сравним выражения $ \frac{1}{2} + \lg 3 $ и $ \lg 19 - \lg 2 $.

Преобразуем первое выражение, используя свойства логарифмов. Заменим $ \frac{1}{2} $ на $ \lg \sqrt{10} $ (поскольку $ 10^{1/2} = \sqrt{10} $):

$ \frac{1}{2} + \lg 3 = \lg \sqrt{10} + \lg 3 $

Используя свойство суммы логарифмов $ \lg a + \lg b = \lg(ab) $, получаем:

$ \lg \sqrt{10} + \lg 3 = \lg (3\sqrt{10}) $

Преобразуем второе выражение, используя свойство разности логарифмов $ \lg a - \lg b = \lg(a/b) $:

$ \lg 19 - \lg 2 = \lg \left(\frac{19}{2}\right) = \lg(9.5) $

Теперь нам нужно сравнить $ \lg (3\sqrt{10}) $ и $ \lg(9.5) $.

Так как функция $ y = \lg x $ является возрастающей (чем больше аргумент, тем больше значение функции), нам достаточно сравнить аргументы: $ 3\sqrt{10} $ и $ 9.5 $.

Чтобы избавиться от корня, возведем оба числа в квадрат:

$ (3\sqrt{10})^2 = 9 \cdot 10 = 90 $

$ (9.5)^2 = \left(\frac{19}{2}\right)^2 = \frac{361}{4} = 90.25 $

Поскольку $ 90 < 90.25 $, то $ (3\sqrt{10})^2 < (9.5)^2 $. Так как оба числа положительные, то $ 3\sqrt{10} < 9.5 $.

Следовательно, $ \lg (3\sqrt{10}) < \lg (9.5) $.

Ответ: $ \frac{1}{2} + \lg 3 < \lg 19 - \lg 2 $.

2) Сравним выражения $ \frac{\lg 5 + \lg \sqrt{7}}{2} $ и $ \lg \frac{5 + \sqrt{7}}{2} $.

Рассмотрим функцию $ f(x) = \lg x $. Эта функция является вогнутой (выпуклой вверх), так как ее вторая производная $ f''(x) = -\frac{1}{x^2 \ln 10} $ отрицательна для всех $ x > 0 $ из области определения.

Для любой вогнутой функции $ f(x) $ и любых двух точек $ x_1 $ и $ x_2 $ из ее области определения выполняется неравенство Йенсена:

$ \frac{f(x_1) + f(x_2)}{2} \le f\left(\frac{x_1+x_2}{2}\right) $

Причем равенство достигается только при $ x_1 = x_2 $.

Подставим в это неравенство $ f(x) = \lg x $, $ x_1 = 5 $ и $ x_2 = \sqrt{7} $:

$ \frac{\lg 5 + \lg \sqrt{7}}{2} \le \lg\left(\frac{5 + \sqrt{7}}{2}\right) $

Так как $ 5 \ne \sqrt{7} $ (поскольку $ 5^2 = 25 $, а $ (\sqrt{7})^2 = 7 $), неравенство является строгим.

Таким образом, $ \frac{\lg 5 + \lg \sqrt{7}}{2} < \lg \frac{5 + \sqrt{7}}{2} $.

Альтернативное решение:

Сравним $ \frac{\lg 5 + \lg \sqrt{7}}{2} $ и $ \lg \frac{5 + \sqrt{7}}{2} $.

Умножим оба выражения на 2: $ \lg 5 + \lg \sqrt{7} $ и $ 2\lg \frac{5 + \sqrt{7}}{2} $.

Применим свойства логарифмов: $ \lg (5\sqrt{7}) $ и $ \lg \left(\left(\frac{5 + \sqrt{7}}{2}\right)^2\right) $.

Сравним аргументы логарифмов, так как функция $ y=\lg x $ возрастающая: $ 5\sqrt{7} $ и $ \left(\frac{5 + \sqrt{7}}{2}\right)^2 $.

$ \left(\frac{5 + \sqrt{7}}{2}\right)^2 = \frac{5^2 + 2 \cdot 5 \cdot \sqrt{7} + (\sqrt{7})^2}{4} = \frac{25 + 10\sqrt{7} + 7}{4} = \frac{32 + 10\sqrt{7}}{4} = 8 + \frac{5}{2}\sqrt{7} $

Сравниваем $ 5\sqrt{7} $ и $ 8 + \frac{5}{2}\sqrt{7} $. Вычтем из обеих частей $ \frac{5}{2}\sqrt{7} $:

Сравниваем $ 5\sqrt{7} - \frac{5}{2}\sqrt{7} = \frac{5}{2}\sqrt{7} $ и $ 8 $. Умножим на 2: $ 5\sqrt{7} $ и $ 16 $.

Возведем в квадрат: $ (5\sqrt{7})^2 = 25 \cdot 7 = 175 $ и $ 16^2 = 256 $.

Так как $ 175 < 256 $, то $ 5\sqrt{7} < 16 $, и, возвращаясь по цепочке преобразований, получаем, что первое выражение меньше второго.

Ответ: $ \frac{\lg 5 + \lg \sqrt{7}}{2} < \lg \frac{5 + \sqrt{7}}{2} $.

3) Сравним выражения $ 3 (\lg 7 - \lg 5) $ и $ \lg 9 - \frac{2}{3} \lg 8 $.

Преобразуем первое выражение, используя свойства логарифмов $ n\log_a b = \log_a b^n $ и $ \log_a b - \log_a c = \log_a(b/c) $:

$ 3 (\lg 7 - \lg 5) = 3 \lg\left(\frac{7}{5}\right) = \lg\left(\left(\frac{7}{5}\right)^3\right) = \lg\left(\frac{343}{125}\right) = \lg(2.744) $

Преобразуем второе выражение:

$ \lg 9 - \frac{2}{3} \lg 8 = \lg 9 - \lg(8^{2/3}) $

Вычислим $ 8^{2/3} = (\sqrt[3]{8})^2 = 2^2 = 4 $.

Тогда второе выражение равно:

$ \lg 9 - \lg 4 = \lg\left(\frac{9}{4}\right) = \lg(2.25) $

Теперь сравним $ \lg(2.744) $ и $ \lg(2.25) $.

Так как функция $ y = \lg x $ возрастающая, и $ 2.744 > 2.25 $, то $ \lg(2.744) > \lg(2.25) $.

Ответ: $ 3 (\lg 7 - \lg 5) > \lg 9 - \frac{2}{3} \lg 8 $.

4) Сравним выражения $ \lg \lg \lg 50 $ и $ \lg^3 50 $.

Напомним, что $ \lg^3 50 $ это то же самое, что $ (\lg 50)^3 $.

Оценим значение $ \lg 50 $. Мы знаем, что $ \lg 10 = 1 $ и $ \lg 100 = 2 $.

Поскольку $ 10 < 50 < 100 $, то $ \lg 10 < \lg 50 < \lg 100 $, то есть $ 1 < \lg 50 < 2 $.

Рассмотрим второе выражение: $ \lg^3 50 = (\lg 50)^3 $.

Так как $ 1 < \lg 50 < 2 $, то, возведя неравенство в куб, получим $ 1^3 < (\lg 50)^3 < 2^3 $, или $ 1 < \lg^3 50 < 8 $.

В любом случае, $ \lg^3 50 > 1 $.

Теперь рассмотрим первое выражение: $ \lg(\lg(\lg 50)) $.

Пусть $ x = \lg 50 $. Мы уже знаем, что $ 1 < x < 2 $.

Тогда $ \lg(\lg 50) = \lg x $. Так как $ 1 < x < 2 $, то $ \lg 1 < \lg x < \lg 2 $.

Это означает, что $ 0 < \lg(\lg 50) < \lg 2 $. В частности, $ 0 < \lg(\lg 50) < 1 $.

Пусть $ y = \lg(\lg 50) $. Мы знаем, что $ 0 < y < 1 $.

Тогда первое выражение равно $ \lg y $.

Так как аргумент логарифма $ y $ находится в интервале $ (0, 1) $, то его десятичный логарифм будет отрицательным: $ \lg y < \lg 1 = 0 $.

Итак, мы получили:

$ \lg \lg \lg 50 < 0 $

$ \lg^3 50 > 1 $

Очевидно, что отрицательное число меньше положительного.

Ответ: $ \lg \lg \lg 50 < \lg^3 50 $.

Помогло решение? Оставьте отзыв в комментариях ниже.

Присоединяйтесь к Телеграм-группе @top_gdz

Присоединиться

Мы подготовили для вас ответ c подробным объяснением домашего задания по алгебре за 10-11 класс, для упражнения номер 330 расположенного на странице 104 к учебнику 2014 года издания для учащихся школ и гимназий.

Теперь на нашем сайте ГДЗ.ТОП вы всегда легко и бесплатно найдёте условие с правильным ответом на вопрос «Как решить ДЗ» и «Как сделать» задание по алгебре к упражнению №330 (с. 104), авторов: Алимов (Шавкат Арифджанович), Колягин (Юрий Михайлович), Ткачева (Мария Владимировна), Федорова (Надежда Евгеньевна), Шабунин (Михаил Иванович), ФГОС (старый) базовый и углублённый уровень обучения учебного пособия издательства Просвещение.