Номер 331, страница 104 - гдз по алгебре 10-11 класс учебник Алимов, Колягин

Алгебра, 10-11 класс Учебник, авторы: Алимов Шавкат Арифджанович, Колягин Юрий Михайлович, Ткачева Мария Владимировна, Федорова Надежда Евгеньевна, Шабунин Михаил Иванович, издательство Просвещение, Москва, 2014

Авторы: Алимов Ш. А., Колягин Ю. М., Ткачева М. В., Федорова Н. Е., Шабунин М. И.

Тип: Учебник

Издательство: Просвещение

Год издания: 2014 - 2025

Уровень обучения: базовый и углублённый

Цвет обложки: синий, фиолетовый

ISBN: 978-5-09-112136-0

Допущено Министерством просвещения Российской Федерации

Математика: алгебра и начала математического анализа, геометрия

Популярные ГДЗ в 10 классе

Глава 4. Логарифмическая функция. Параграф 18. Логарифмическая функция, её свойства и график - номер 331, страница 104.

№331 (с. 104)
Условие. №331 (с. 104)
скриншот условия
Алгебра, 10-11 класс Учебник, авторы: Алимов Шавкат Арифджанович, Колягин Юрий Михайлович, Ткачева Мария Владимировна, Федорова Надежда Евгеньевна, Шабунин Михаил Иванович, издательство Просвещение, Москва, 2014, страница 104, номер 331, Условие

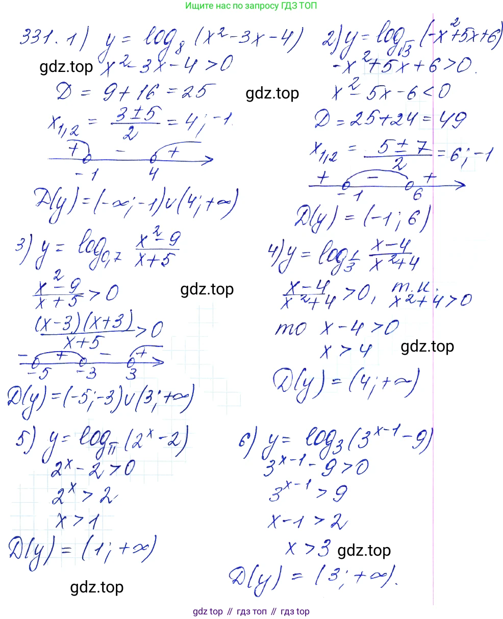
331 Найти область определения функции:

1) $y = \log_8 (x^2 - 3x - 4)$;

2) $y = \log_{\sqrt{3}} (-x^2 + 5x + 6)$;

3) $y = \log_{0,7} \frac{x^2 - 9}{x + 5}$;

4) $y = \log_{\frac{1}{3}} \frac{x - 4}{x^2 + 4}$;

5) $y = \log_{\pi} (2^x - 2)$;

6) $y = \log_3 (3^{x - 1} - 9)$.

Решение 1. №331 (с. 104)
Алгебра, 10-11 класс Учебник, авторы: Алимов Шавкат Арифджанович, Колягин Юрий Михайлович, Ткачева Мария Владимировна, Федорова Надежда Евгеньевна, Шабунин Михаил Иванович, издательство Просвещение, Москва, 2014, страница 104, номер 331, Решение 1
Алгебра, 10-11 класс Учебник, авторы: Алимов Шавкат Арифджанович, Колягин Юрий Михайлович, Ткачева Мария Владимировна, Федорова Надежда Евгеньевна, Шабунин Михаил Иванович, издательство Просвещение, Москва, 2014, страница 104, номер 331, Решение 1 (продолжение 2)
Алгебра, 10-11 класс Учебник, авторы: Алимов Шавкат Арифджанович, Колягин Юрий Михайлович, Ткачева Мария Владимировна, Федорова Надежда Евгеньевна, Шабунин Михаил Иванович, издательство Просвещение, Москва, 2014, страница 104, номер 331, Решение 1 (продолжение 3)
Алгебра, 10-11 класс Учебник, авторы: Алимов Шавкат Арифджанович, Колягин Юрий Михайлович, Ткачева Мария Владимировна, Федорова Надежда Евгеньевна, Шабунин Михаил Иванович, издательство Просвещение, Москва, 2014, страница 104, номер 331, Решение 1 (продолжение 4)
Алгебра, 10-11 класс Учебник, авторы: Алимов Шавкат Арифджанович, Колягин Юрий Михайлович, Ткачева Мария Владимировна, Федорова Надежда Евгеньевна, Шабунин Михаил Иванович, издательство Просвещение, Москва, 2014, страница 104, номер 331, Решение 1 (продолжение 5) Алгебра, 10-11 класс Учебник, авторы: Алимов Шавкат Арифджанович, Колягин Юрий Михайлович, Ткачева Мария Владимировна, Федорова Надежда Евгеньевна, Шабунин Михаил Иванович, издательство Просвещение, Москва, 2014, страница 104, номер 331, Решение 1 (продолжение 6)
Решение 2. №331 (с. 104)
Алгебра, 10-11 класс Учебник, авторы: Алимов Шавкат Арифджанович, Колягин Юрий Михайлович, Ткачева Мария Владимировна, Федорова Надежда Евгеньевна, Шабунин Михаил Иванович, издательство Просвещение, Москва, 2014, страница 104, номер 331, Решение 2
Алгебра, 10-11 класс Учебник, авторы: Алимов Шавкат Арифджанович, Колягин Юрий Михайлович, Ткачева Мария Владимировна, Федорова Надежда Евгеньевна, Шабунин Михаил Иванович, издательство Просвещение, Москва, 2014, страница 104, номер 331, Решение 2 (продолжение 2)
Алгебра, 10-11 класс Учебник, авторы: Алимов Шавкат Арифджанович, Колягин Юрий Михайлович, Ткачева Мария Владимировна, Федорова Надежда Евгеньевна, Шабунин Михаил Иванович, издательство Просвещение, Москва, 2014, страница 104, номер 331, Решение 2 (продолжение 3)
Решение 4. №331 (с. 104)
Алгебра, 10-11 класс Учебник, авторы: Алимов Шавкат Арифджанович, Колягин Юрий Михайлович, Ткачева Мария Владимировна, Федорова Надежда Евгеньевна, Шабунин Михаил Иванович, издательство Просвещение, Москва, 2014, страница 104, номер 331, Решение 4
Решение 5. №331 (с. 104)
Алгебра, 10-11 класс Учебник, авторы: Алимов Шавкат Арифджанович, Колягин Юрий Михайлович, Ткачева Мария Владимировна, Федорова Надежда Евгеньевна, Шабунин Михаил Иванович, издательство Просвещение, Москва, 2014, страница 104, номер 331, Решение 5
Решение 6. №331 (с. 104)
Алгебра, 10-11 класс Учебник, авторы: Алимов Шавкат Арифджанович, Колягин Юрий Михайлович, Ткачева Мария Владимировна, Федорова Надежда Евгеньевна, Шабунин Михаил Иванович, издательство Просвещение, Москва, 2014, страница 104, номер 331, Решение 6
Решение 7. №331 (с. 104)
Алгебра, 10-11 класс Учебник, авторы: Алимов Шавкат Арифджанович, Колягин Юрий Михайлович, Ткачева Мария Владимировна, Федорова Надежда Евгеньевна, Шабунин Михаил Иванович, издательство Просвещение, Москва, 2014, страница 104, номер 331, Решение 7 Алгебра, 10-11 класс Учебник, авторы: Алимов Шавкат Арифджанович, Колягин Юрий Михайлович, Ткачева Мария Владимировна, Федорова Надежда Евгеньевна, Шабунин Михаил Иванович, издательство Просвещение, Москва, 2014, страница 104, номер 331, Решение 7 (продолжение 2)
Решение 8. №331 (с. 104)
1)

Область определения логарифмической функции $y = \log_a f(x)$ задается условием, что аргумент логарифма должен быть строго больше нуля, то есть $f(x) > 0$. В данном случае $y = \log_8 (x^2 - 3x - 4)$, следовательно, нам нужно решить неравенство:

$x^2 - 3x - 4 > 0$

Это квадратичное неравенство. Сначала найдем корни соответствующего уравнения $x^2 - 3x - 4 = 0$.

Дискриминант $D = b^2 - 4ac = (-3)^2 - 4 \cdot 1 \cdot (-4) = 9 + 16 = 25 = 5^2$.

Корни уравнения: $x_1 = \frac{-b - \sqrt{D}}{2a} = \frac{3 - 5}{2} = -1$ и $x_2 = \frac{-b + \sqrt{D}}{2a} = \frac{3 + 5}{2} = 4$.

Так как коэффициент при $x^2$ положителен (равен 1), ветви параболы $y = x^2 - 3x - 4$ направлены вверх. Следовательно, неравенство $x^2 - 3x - 4 > 0$ выполняется, когда $x$ находится за пределами корней.

Таким образом, $x < -1$ или $x > 4$.

Ответ: $(-\infty; -1) \cup (4; +\infty)$.

2)

Для функции $y = \log_{\sqrt{3}} (-x^2 + 5x + 6)$ область определения находится из условия:

$-x^2 + 5x + 6 > 0$

Умножим неравенство на -1 и сменим знак на противоположный:

$x^2 - 5x - 6 < 0$

Найдем корни уравнения $x^2 - 5x - 6 = 0$.

Дискриминант $D = b^2 - 4ac = (-5)^2 - 4 \cdot 1 \cdot (-6) = 25 + 24 = 49 = 7^2$.

Корни уравнения: $x_1 = \frac{5 - 7}{2} = -1$ и $x_2 = \frac{5 + 7}{2} = 6$.

Ветви параболы $y = x^2 - 5x - 6$ направлены вверх, поэтому неравенство $x^2 - 5x - 6 < 0$ выполняется между корнями.

Таким образом, $-1 < x < 6$.

Ответ: $(-1; 6)$.

3)

Для функции $y = \log_{0,7} \frac{x^2 - 9}{x + 5}$ область определения находится из условия:

$\frac{x^2 - 9}{x + 5} > 0$

Разложим числитель на множители: $x^2 - 9 = (x - 3)(x + 3)$. Неравенство принимает вид:

$\frac{(x - 3)(x + 3)}{x + 5} > 0$

Решим это неравенство методом интервалов. Нули числителя и знаменателя: $x = 3$, $x = -3$, $x = -5$. Эти точки разбивают числовую ось на интервалы: $(-\infty; -5)$, $(-5; -3)$, $(-3; 3)$, $(3; +\infty)$. Определим знак выражения в каждом интервале. Выражение положительно на интервалах $(-5; -3)$ и $(3; +\infty)$.

Ответ: $(-5; -3) \cup (3; +\infty)$.

4)

Для функции $y = \log_{\frac{1}{3}} \frac{x - 4}{x^2 + 4}$ область определения находится из условия:

$\frac{x - 4}{x^2 + 4} > 0$

Рассмотрим знаменатель $x^2 + 4$. Поскольку $x^2 \ge 0$ для любого действительного $x$, то $x^2 + 4 \ge 4$. Значит, знаменатель всегда положителен.

Следовательно, знак дроби совпадает со знаком числителя. Неравенство сводится к следующему:

$x - 4 > 0$

$x > 4$

Ответ: $(4; +\infty)$.

5)

Для функции $y = \log_{\pi} (2^x - 2)$ область определения находится из условия:

$2^x - 2 > 0$

Это показательное неравенство. Перенесем 2 в правую часть:

$2^x > 2$

Так как $2 = 2^1$, неравенство можно переписать в виде:

$2^x > 2^1$

Поскольку основание степени $2 > 1$, функция $y=2^t$ является возрастающей, поэтому при переходе к неравенству для показателей знак неравенства сохраняется:

$x > 1$

Ответ: $(1; +\infty)$.

6)

Для функции $y = \log_3 (3^{x - 1} - 9)$ область определения находится из условия:

$3^{x - 1} - 9 > 0$

Решим это показательное неравенство:

$3^{x - 1} > 9$

Представим 9 в виде степени с основанием 3: $9 = 3^2$.

$3^{x - 1} > 3^2$

Так как основание степени $3 > 1$, функция $y=3^t$ является возрастающей. Следовательно, знак неравенства для показателей сохраняется:

$x - 1 > 2$

$x > 3$

Ответ: $(3; +\infty)$.

Помогло решение? Оставьте отзыв в комментариях ниже.

Присоединяйтесь к Телеграм-группе @top_gdz

Присоединиться

Мы подготовили для вас ответ c подробным объяснением домашего задания по алгебре за 10-11 класс, для упражнения номер 331 расположенного на странице 104 к учебнику 2014 года издания для учащихся школ и гимназий.

Теперь на нашем сайте ГДЗ.ТОП вы всегда легко и бесплатно найдёте условие с правильным ответом на вопрос «Как решить ДЗ» и «Как сделать» задание по алгебре к упражнению №331 (с. 104), авторов: Алимов (Шавкат Арифджанович), Колягин (Юрий Михайлович), Ткачева (Мария Владимировна), Федорова (Надежда Евгеньевна), Шабунин (Михаил Иванович), ФГОС (старый) базовый и углублённый уровень обучения учебного пособия издательства Просвещение.