Номер 336, страница 108 - гдз по алгебре 10-11 класс учебник Алимов, Колягин

Алгебра, 10-11 класс Учебник, авторы: Алимов Шавкат Арифджанович, Колягин Юрий Михайлович, Ткачева Мария Владимировна, Федорова Надежда Евгеньевна, Шабунин Михаил Иванович, издательство Просвещение, Москва, 2014

Авторы: Алимов Ш. А., Колягин Ю. М., Ткачева М. В., Федорова Н. Е., Шабунин М. И.

Тип: Учебник

Издательство: Просвещение

Год издания: 2014 - 2025

Уровень обучения: базовый и углублённый

Цвет обложки: синий, фиолетовый

ISBN: 978-5-09-112136-0

Допущено Министерством просвещения Российской Федерации

Математика: алгебра и начала математического анализа, геометрия

Популярные ГДЗ в 10 классе

Глава 4. Логарифмическая функция. Параграф 19. Логарифмические уравнения - номер 336, страница 108.

№336 (с. 108)
Условие. №336 (с. 108)
скриншот условия
Алгебра, 10-11 класс Учебник, авторы: Алимов Шавкат Арифджанович, Колягин Юрий Михайлович, Ткачева Мария Владимировна, Федорова Надежда Евгеньевна, Шабунин Михаил Иванович, издательство Просвещение, Москва, 2014, страница 108, номер 336, Условие

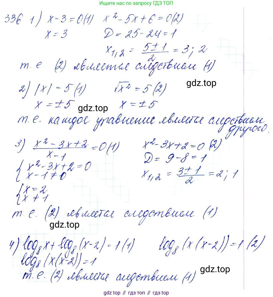
336 Установить, какое из данных двух уравнений является следствием другого уравнения:

1) $x - 3 = 0$ и $x^2 - 5x + 6 = 0$;

2) $|x| = 5$ и $\sqrt{x^2} = 5$;

3) $\frac{x^2 - 3x + 2}{x - 1} = 0$ и $x^2 - 3x + 2 = 0$;

4) $\log_8 x + \log_8 (x - 2) = 1$ и $\log_8 (x (x - 2)) = 1$.

Решение 1. №336 (с. 108)
Алгебра, 10-11 класс Учебник, авторы: Алимов Шавкат Арифджанович, Колягин Юрий Михайлович, Ткачева Мария Владимировна, Федорова Надежда Евгеньевна, Шабунин Михаил Иванович, издательство Просвещение, Москва, 2014, страница 108, номер 336, Решение 1
Алгебра, 10-11 класс Учебник, авторы: Алимов Шавкат Арифджанович, Колягин Юрий Михайлович, Ткачева Мария Владимировна, Федорова Надежда Евгеньевна, Шабунин Михаил Иванович, издательство Просвещение, Москва, 2014, страница 108, номер 336, Решение 1 (продолжение 2)
Алгебра, 10-11 класс Учебник, авторы: Алимов Шавкат Арифджанович, Колягин Юрий Михайлович, Ткачева Мария Владимировна, Федорова Надежда Евгеньевна, Шабунин Михаил Иванович, издательство Просвещение, Москва, 2014, страница 108, номер 336, Решение 1 (продолжение 3)
Алгебра, 10-11 класс Учебник, авторы: Алимов Шавкат Арифджанович, Колягин Юрий Михайлович, Ткачева Мария Владимировна, Федорова Надежда Евгеньевна, Шабунин Михаил Иванович, издательство Просвещение, Москва, 2014, страница 108, номер 336, Решение 1 (продолжение 4)
Решение 2. №336 (с. 108)
Алгебра, 10-11 класс Учебник, авторы: Алимов Шавкат Арифджанович, Колягин Юрий Михайлович, Ткачева Мария Владимировна, Федорова Надежда Евгеньевна, Шабунин Михаил Иванович, издательство Просвещение, Москва, 2014, страница 108, номер 336, Решение 2
Алгебра, 10-11 класс Учебник, авторы: Алимов Шавкат Арифджанович, Колягин Юрий Михайлович, Ткачева Мария Владимировна, Федорова Надежда Евгеньевна, Шабунин Михаил Иванович, издательство Просвещение, Москва, 2014, страница 108, номер 336, Решение 2 (продолжение 2)
Решение 4. №336 (с. 108)
Алгебра, 10-11 класс Учебник, авторы: Алимов Шавкат Арифджанович, Колягин Юрий Михайлович, Ткачева Мария Владимировна, Федорова Надежда Евгеньевна, Шабунин Михаил Иванович, издательство Просвещение, Москва, 2014, страница 108, номер 336, Решение 4
Решение 5. №336 (с. 108)
Алгебра, 10-11 класс Учебник, авторы: Алимов Шавкат Арифджанович, Колягин Юрий Михайлович, Ткачева Мария Владимировна, Федорова Надежда Евгеньевна, Шабунин Михаил Иванович, издательство Просвещение, Москва, 2014, страница 108, номер 336, Решение 5
Решение 6. №336 (с. 108)
Алгебра, 10-11 класс Учебник, авторы: Алимов Шавкат Арифджанович, Колягин Юрий Михайлович, Ткачева Мария Владимировна, Федорова Надежда Евгеньевна, Шабунин Михаил Иванович, издательство Просвещение, Москва, 2014, страница 108, номер 336, Решение 6
Решение 7. №336 (с. 108)
Алгебра, 10-11 класс Учебник, авторы: Алимов Шавкат Арифджанович, Колягин Юрий Михайлович, Ткачева Мария Владимировна, Федорова Надежда Евгеньевна, Шабунин Михаил Иванович, издательство Просвещение, Москва, 2014, страница 108, номер 336, Решение 7 Алгебра, 10-11 класс Учебник, авторы: Алимов Шавкат Арифджанович, Колягин Юрий Михайлович, Ткачева Мария Владимировна, Федорова Надежда Евгеньевна, Шабунин Михаил Иванович, издательство Просвещение, Москва, 2014, страница 108, номер 336, Решение 7 (продолжение 2)
Решение 8. №336 (с. 108)

Уравнение (2) является следствием уравнения (1), если множество корней уравнения (1) является подмножеством множества корней уравнения (2). Для решения задачи найдем корни каждого уравнения в парах и сравним множества их решений.

1) $x - 3 = 0$ и $x^2 - 5x + 6 = 0$

Решим первое уравнение: $x - 3 = 0$. Его корень $x = 3$. Множество решений: $\{3\}$.

Решим второе уравнение: $x^2 - 5x + 6 = 0$. Это квадратное уравнение. По теореме Виета, сумма корней равна 5, а их произведение равно 6. Корни: $x_1 = 2$, $x_2 = 3$. Множество решений: $\{2, 3\}$.

Множество корней первого уравнения $\{3\}$ является подмножеством множества корней второго уравнения $\{2, 3\}$. Следовательно, второе уравнение $x^2 - 5x + 6 = 0$ является следствием первого уравнения $x - 3 = 0$.

Ответ: уравнение $x^2 - 5x + 6 = 0$ является следствием уравнения $x - 3 = 0$.

2) $|x| = 5$ и $\sqrt{x^2} = 5$

Решим первое уравнение: $|x| = 5$. Его корни $x_1 = 5$ и $x_2 = -5$. Множество решений: $\{-5, 5\}$.

Решим второе уравнение: $\sqrt{x^2} = 5$. Поскольку по определению арифметического квадратного корня $\sqrt{a^2} = |a|$, это уравнение можно переписать как $|x| = 5$. Оно полностью совпадает с первым уравнением. Его корни также $x_1 = 5$ и $x_2 = -5$. Множество решений: $\{-5, 5\}$.

Множества решений обоих уравнений совпадают. Такие уравнения называются равносильными. В случае равносильных уравнений каждое из них является следствием другого.

Ответ: данные уравнения равносильны, каждое из них является следствием другого.

3) $\frac{x^2 - 3x + 2}{x - 1} = 0$ и $x^2 - 3x + 2 = 0$

Решим первое уравнение: $\frac{x^2 - 3x + 2}{x - 1} = 0$. Дробь равна нулю, когда ее числитель равен нулю, а знаменатель не равен нулю.

$x^2 - 3x + 2 = 0$ и $x - 1 \neq 0$.

Корни уравнения $x^2 - 3x + 2 = 0$ (по теореме Виета) равны $x_1 = 1$ и $x_2 = 2$.

Проверим условие $x - 1 \neq 0$, то есть $x \neq 1$. Корень $x_1 = 1$ не удовлетворяет этому условию, поэтому он является посторонним. Единственный корень первого уравнения — это $x = 2$. Множество решений: $\{2\}$.

Решим второе уравнение: $x^2 - 3x + 2 = 0$. Его корни, как мы уже нашли, $x_1 = 1$ и $x_2 = 2$. Множество решений: $\{1, 2\}$.

Множество корней первого уравнения $\{2\}$ является подмножеством множества корней второго уравнения $\{1, 2\}$. Следовательно, второе уравнение $x^2 - 3x + 2 = 0$ является следствием первого.

Ответ: уравнение $x^2 - 3x + 2 = 0$ является следствием уравнения $\frac{x^2 - 3x + 2}{x - 1} = 0$.

4) $\log_8 x + \log_8 (x - 2) = 1$ и $\log_8 (x(x - 2)) = 1$

Решим первое уравнение: $\log_8 x + \log_8 (x - 2) = 1$.

Найдем область допустимых значений (ОДЗ): аргументы логарифмов должны быть строго положительными. $x > 0$ и $x - 2 > 0$. Решая систему неравенств, получаем $x > 2$.

Используя свойство суммы логарифмов $\log_b m + \log_b n = \log_b(mn)$, получаем: $\log_8 (x(x - 2)) = 1$.

По определению логарифма: $x(x - 2) = 8^1$, что дает $x^2 - 2x - 8 = 0$.

Корни этого квадратного уравнения: $x_1 = 4$ и $x_2 = -2$.

Проверяем корни по ОДЗ ($x > 2$). Корень $x_1 = 4$ удовлетворяет условию, а корень $x_2 = -2$ — нет. Таким образом, у первого уравнения один корень: $x = 4$. Множество решений: $\{4\}$.

Решим второе уравнение: $\log_8 (x(x - 2)) = 1$.

Найдем его ОДЗ: $x(x - 2) > 0$. Решая это неравенство методом интервалов, получаем $x \in (-\infty, 0) \cup (2, \infty)$.

Решение самого уравнения приводит к тому же квадратному уравнению: $x^2 - 2x - 8 = 0$, с корнями $x_1 = 4$ и $x_2 = -2$.

Проверяем корни по ОДЗ ($x \in (-\infty, 0) \cup (2, \infty)$). Оба корня удовлетворяют условию: $4 \in (2, \infty)$ и $-2 \in (-\infty, 0)$. Множество решений второго уравнения: $\{-2, 4\}$.

Множество корней первого уравнения $\{4\}$ является подмножеством множества корней второго уравнения $\{-2, 4\}$. Это происходит потому, что преобразование суммы логарифмов в логарифм произведения расширяет ОДЗ, что может привести к появлению посторонних корней. Следовательно, второе уравнение является следствием первого.

Ответ: уравнение $\log_8 (x(x - 2)) = 1$ является следствием уравнения $\log_8 x + \log_8 (x - 2) = 1$.

Помогло решение? Оставьте отзыв в комментариях ниже.

Присоединяйтесь к Телеграм-группе @top_gdz

Присоединиться

Мы подготовили для вас ответ c подробным объяснением домашего задания по алгебре за 10-11 класс, для упражнения номер 336 расположенного на странице 108 к учебнику 2014 года издания для учащихся школ и гимназий.

Теперь на нашем сайте ГДЗ.ТОП вы всегда легко и бесплатно найдёте условие с правильным ответом на вопрос «Как решить ДЗ» и «Как сделать» задание по алгебре к упражнению №336 (с. 108), авторов: Алимов (Шавкат Арифджанович), Колягин (Юрий Михайлович), Ткачева (Мария Владимировна), Федорова (Надежда Евгеньевна), Шабунин (Михаил Иванович), ФГОС (старый) базовый и углублённый уровень обучения учебного пособия издательства Просвещение.