Номер 401, страница 116 - гдз по алгебре 10-11 класс учебник Алимов, Колягин

Алгебра, 10-11 класс Учебник, авторы: Алимов Шавкат Арифджанович, Колягин Юрий Михайлович, Ткачева Мария Владимировна, Федорова Надежда Евгеньевна, Шабунин Михаил Иванович, издательство Просвещение, Москва, 2014

Авторы: Алимов Ш. А., Колягин Ю. М., Ткачева М. В., Федорова Н. Е., Шабунин М. И.

Тип: Учебник

Издательство: Просвещение

Год издания: 2014 - 2026

Уровень обучения: базовый и углублённый

Цвет обложки: синий, фиолетовый

ISBN: 978-5-09-112136-0

Допущено Министерством просвещения Российской Федерации

Математика: алгебра и начала математического анализа, геометрия

Глава 4. Логарифмическая функция. Упражнения к главе 4 - номер 401, страница 116.

№401 (с. 116)
Условие. №401 (с. 116)
скриншот условия
Алгебра, 10-11 класс Учебник, авторы: Алимов Шавкат Арифджанович, Колягин Юрий Михайлович, Ткачева Мария Владимировна, Федорова Надежда Евгеньевна, Шабунин Михаил Иванович, издательство Просвещение, Москва, 2014, страница 116, номер 401, Условие

Решить уравнение (401–403).

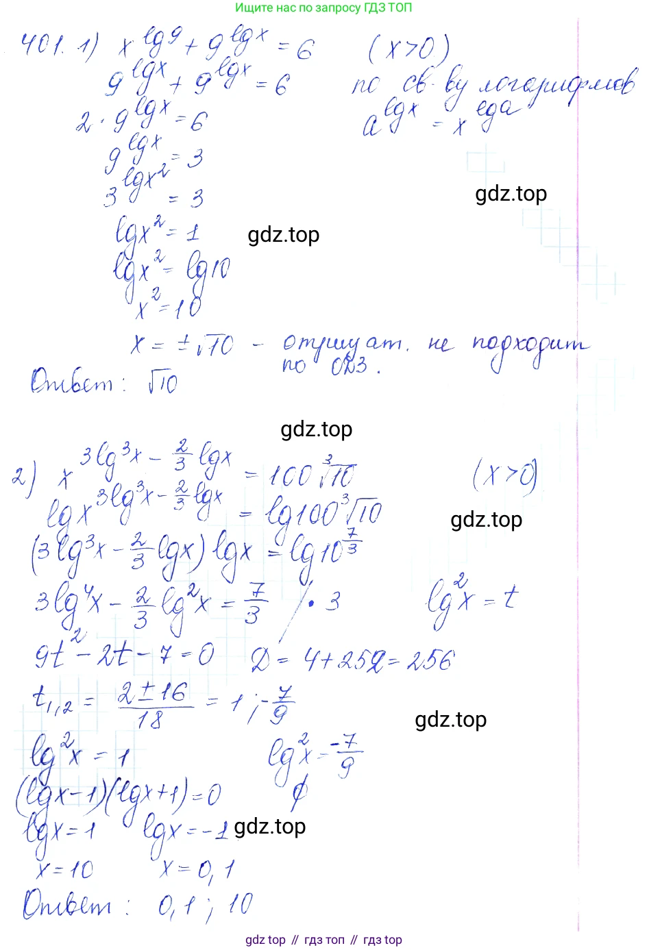
401 1) $x^{\lg 9} + 9^{\lg x} = 6;$

2) $x^{3 \lg^3 x - \frac{2}{3} \lg x} = 100 \sqrt[3]{10}.$

Решение 1. №401 (с. 116)
Алгебра, 10-11 класс Учебник, авторы: Алимов Шавкат Арифджанович, Колягин Юрий Михайлович, Ткачева Мария Владимировна, Федорова Надежда Евгеньевна, Шабунин Михаил Иванович, издательство Просвещение, Москва, 2014, страница 116, номер 401, Решение 1
Алгебра, 10-11 класс Учебник, авторы: Алимов Шавкат Арифджанович, Колягин Юрий Михайлович, Ткачева Мария Владимировна, Федорова Надежда Евгеньевна, Шабунин Михаил Иванович, издательство Просвещение, Москва, 2014, страница 116, номер 401, Решение 1 (продолжение 2)
Решение 2. №401 (с. 116)
Алгебра, 10-11 класс Учебник, авторы: Алимов Шавкат Арифджанович, Колягин Юрий Михайлович, Ткачева Мария Владимировна, Федорова Надежда Евгеньевна, Шабунин Михаил Иванович, издательство Просвещение, Москва, 2014, страница 116, номер 401, Решение 2
Решение 3. №401 (с. 116)
Алгебра, 10-11 класс Учебник, авторы: Алимов Шавкат Арифджанович, Колягин Юрий Михайлович, Ткачева Мария Владимировна, Федорова Надежда Евгеньевна, Шабунин Михаил Иванович, издательство Просвещение, Москва, 2014, страница 116, номер 401, Решение 3
Решение 4. №401 (с. 116)
Алгебра, 10-11 класс Учебник, авторы: Алимов Шавкат Арифджанович, Колягин Юрий Михайлович, Ткачева Мария Владимировна, Федорова Надежда Евгеньевна, Шабунин Михаил Иванович, издательство Просвещение, Москва, 2014, страница 116, номер 401, Решение 4
Решение 5. №401 (с. 116)
Алгебра, 10-11 класс Учебник, авторы: Алимов Шавкат Арифджанович, Колягин Юрий Михайлович, Ткачева Мария Владимировна, Федорова Надежда Евгеньевна, Шабунин Михаил Иванович, издательство Просвещение, Москва, 2014, страница 116, номер 401, Решение 5 Алгебра, 10-11 класс Учебник, авторы: Алимов Шавкат Арифджанович, Колягин Юрий Михайлович, Ткачева Мария Владимировна, Федорова Надежда Евгеньевна, Шабунин Михаил Иванович, издательство Просвещение, Москва, 2014, страница 116, номер 401, Решение 5 (продолжение 2)
Решение 6. №401 (с. 116)
Алгебра, 10-11 класс Учебник, авторы: Алимов Шавкат Арифджанович, Колягин Юрий Михайлович, Ткачева Мария Владимировна, Федорова Надежда Евгеньевна, Шабунин Михаил Иванович, издательство Просвещение, Москва, 2014, страница 116, номер 401, Решение 6
Решение 7. №401 (с. 116)
Алгебра, 10-11 класс Учебник, авторы: Алимов Шавкат Арифджанович, Колягин Юрий Михайлович, Ткачева Мария Владимировна, Федорова Надежда Евгеньевна, Шабунин Михаил Иванович, издательство Просвещение, Москва, 2014, страница 116, номер 401, Решение 7 Алгебра, 10-11 класс Учебник, авторы: Алимов Шавкат Арифджанович, Колягин Юрий Михайлович, Ткачева Мария Владимировна, Федорова Надежда Евгеньевна, Шабунин Михаил Иванович, издательство Просвещение, Москва, 2014, страница 116, номер 401, Решение 7 (продолжение 2)
Решение 8. №401 (с. 116)
1)

Дано уравнение $x^{\lg 9} + 9^{\lg x} = 6$.

Область допустимых значений (ОДЗ) для данного уравнения определяется условием $x > 0$, так как аргумент логарифма должен быть строго положительным.

Воспользуемся основным тождеством для логарифмов, которое гласит $a^{\log_b c} = c^{\log_b a}$. В нашем случае основание логарифма равно 10, поэтому свойство можно записать как $a^{\lg c} = c^{\lg a}$.

Применим это свойство к первому слагаемому в левой части уравнения, $x^{\lg 9}$:

$x^{\lg 9} = 9^{\lg x}$

Теперь подставим полученное выражение обратно в исходное уравнение:

$9^{\lg x} + 9^{\lg x} = 6$

Сложим одинаковые слагаемые:

$2 \cdot 9^{\lg x} = 6$

Разделим обе части уравнения на 2:

$9^{\lg x} = 3$

Чтобы решить это показательное уравнение, представим число 9 как степень числа 3, то есть $9 = 3^2$:

$(3^2)^{\lg x} = 3^1$

По свойству степени $(a^m)^n = a^{mn}$, получаем:

$3^{2 \lg x} = 3^1$

Так как основания степеней в обеих частях уравнения равны, мы можем приравнять их показатели:

$2 \lg x = 1$

$\lg x = \frac{1}{2}$

Из определения десятичного логарифма следует, что:

$x = 10^{1/2}$

$x = \sqrt{10}$

Полученный корень $x = \sqrt{10}$ является положительным числом, следовательно, он удовлетворяет ОДЗ ($x>0$).

Ответ: $x = \sqrt{10}$.

2)

Дано уравнение $x^{3 \lg^3 x - \frac{2}{3} \lg x} = 100 \sqrt[3]{10}$.

ОДЗ уравнения: $x > 0$.

Сначала преобразуем правую часть уравнения, представив ее в виде степени числа 10:

$100 \sqrt[3]{10} = 10^2 \cdot 10^{1/3} = 10^{2 + \frac{1}{3}} = 10^{\frac{6}{3} + \frac{1}{3}} = 10^{7/3}$

Теперь уравнение имеет вид:

$x^{3 \lg^3 x - \frac{2}{3} \lg x} = 10^{7/3}$

Поскольку переменная $x$ находится и в основании, и в показателе степени, удобнее всего прологарифмировать обе части уравнения по основанию 10:

$\lg(x^{3 \lg^3 x - \frac{2}{3} \lg x}) = \lg(10^{7/3})$

Применим свойство логарифма степени $\log_a (b^c) = c \log_a b$:

$(3 \lg^3 x - \frac{2}{3} \lg x) \cdot \lg x = \frac{7}{3} \lg 10$

Поскольку $\lg 10 = 1$, уравнение упрощается до:

$(3 \lg^3 x - \frac{2}{3} \lg x) \cdot \lg x = \frac{7}{3}$

Для решения этого уравнения введем замену. Пусть $y = \lg x$. Уравнение примет вид:

$(3y^3 - \frac{2}{3}y) \cdot y = \frac{7}{3}$

Раскроем скобки:

$3y^4 - \frac{2}{3}y^2 = \frac{7}{3}$

Умножим обе части уравнения на 3, чтобы избавиться от знаменателей:

$9y^4 - 2y^2 = 7$

$9y^4 - 2y^2 - 7 = 0$

Получили биквадратное уравнение. Сделаем еще одну замену: $z = y^2$. Так как $y^2$ не может быть отрицательным, то $z \ge 0$.

$9z^2 - 2z - 7 = 0$

Решим это квадратное уравнение относительно $z$ через дискриминант:

$D = b^2 - 4ac = (-2)^2 - 4 \cdot 9 \cdot (-7) = 4 + 252 = 256 = 16^2$

Найдем корни для $z$:

$z_{1,2} = \frac{-b \pm \sqrt{D}}{2a} = \frac{2 \pm 16}{2 \cdot 9} = \frac{2 \pm 16}{18}$

$z_1 = \frac{2 + 16}{18} = \frac{18}{18} = 1$

$z_2 = \frac{2 - 16}{18} = \frac{-14}{18} = -\frac{7}{9}$

Поскольку $z \ge 0$, корень $z_2 = -\frac{7}{9}$ является посторонним. Таким образом, единственное решение для $z$ это $z = 1$.

Выполним обратную замену $y^2 = z$:

$y^2 = 1 \implies y_1 = 1, y_2 = -1$.

Теперь выполним вторую обратную замену $y = \lg x$ для каждого из найденных значений $y$:

1. Для $y_1 = 1$:
$\lg x = 1$
$x_1 = 10^1 = 10$

2. Для $y_2 = -1$:
$\lg x = -1$
$x_2 = 10^{-1} = \frac{1}{10}$

Оба корня, $x_1 = 10$ и $x_2 = \frac{1}{10}$, являются положительными числами и удовлетворяют ОДЗ.

Ответ: $x_1 = 10, x_2 = \frac{1}{10}$.

Помогло решение? Оставьте отзыв в комментариях ниже.

Присоединяйтесь к Телеграм-группе @top_gdz

Присоединиться

Мы подготовили для вас ответ c подробным объяснением домашего задания по алгебре за 10-11 класс, для упражнения номер 401 расположенного на странице 116 к учебнику 2014 года издания для учащихся школ и гимназий.

Теперь на нашем сайте ГДЗ.ТОП вы всегда легко и бесплатно найдёте условие с правильным ответом на вопрос «Как решить ДЗ» и «Как сделать» задание по алгебре к упражнению №401 (с. 116), авторов: Алимов (Шавкат Арифджанович), Колягин (Юрий Михайлович), Ткачева (Мария Владимировна), Федорова (Надежда Евгеньевна), Шабунин (Михаил Иванович), ФГОС (старый) базовый и углублённый уровень обучения учебного пособия издательства Просвещение.