Номер 396, страница 116 - гдз по алгебре 10-11 класс учебник Алимов, Колягин

Алгебра, 10-11 класс Учебник, авторы: Алимов Шавкат Арифджанович, Колягин Юрий Михайлович, Ткачева Мария Владимировна, Федорова Надежда Евгеньевна, Шабунин Михаил Иванович, издательство Просвещение, Москва, 2014

Авторы: Алимов Ш. А., Колягин Ю. М., Ткачева М. В., Федорова Н. Е., Шабунин М. И.

Тип: Учебник

Издательство: Просвещение

Год издания: 2014 - 2025

Уровень обучения: базовый и углублённый

Цвет обложки: синий, фиолетовый

ISBN: 978-5-09-112136-0

Допущено Министерством просвещения Российской Федерации

Математика: алгебра и начала математического анализа, геометрия

Популярные ГДЗ в 10 классе

Глава 4. Логарифмическая функция. Упражнения к главе 4 - номер 396, страница 116.

№396 (с. 116)
Условие. №396 (с. 116)
скриншот условия
Алгебра, 10-11 класс Учебник, авторы: Алимов Шавкат Арифджанович, Колягин Юрий Михайлович, Ткачева Мария Владимировна, Федорова Надежда Евгеньевна, Шабунин Михаил Иванович, издательство Просвещение, Москва, 2014, страница 116, номер 396, Условие

Решить неравенство (396—397).

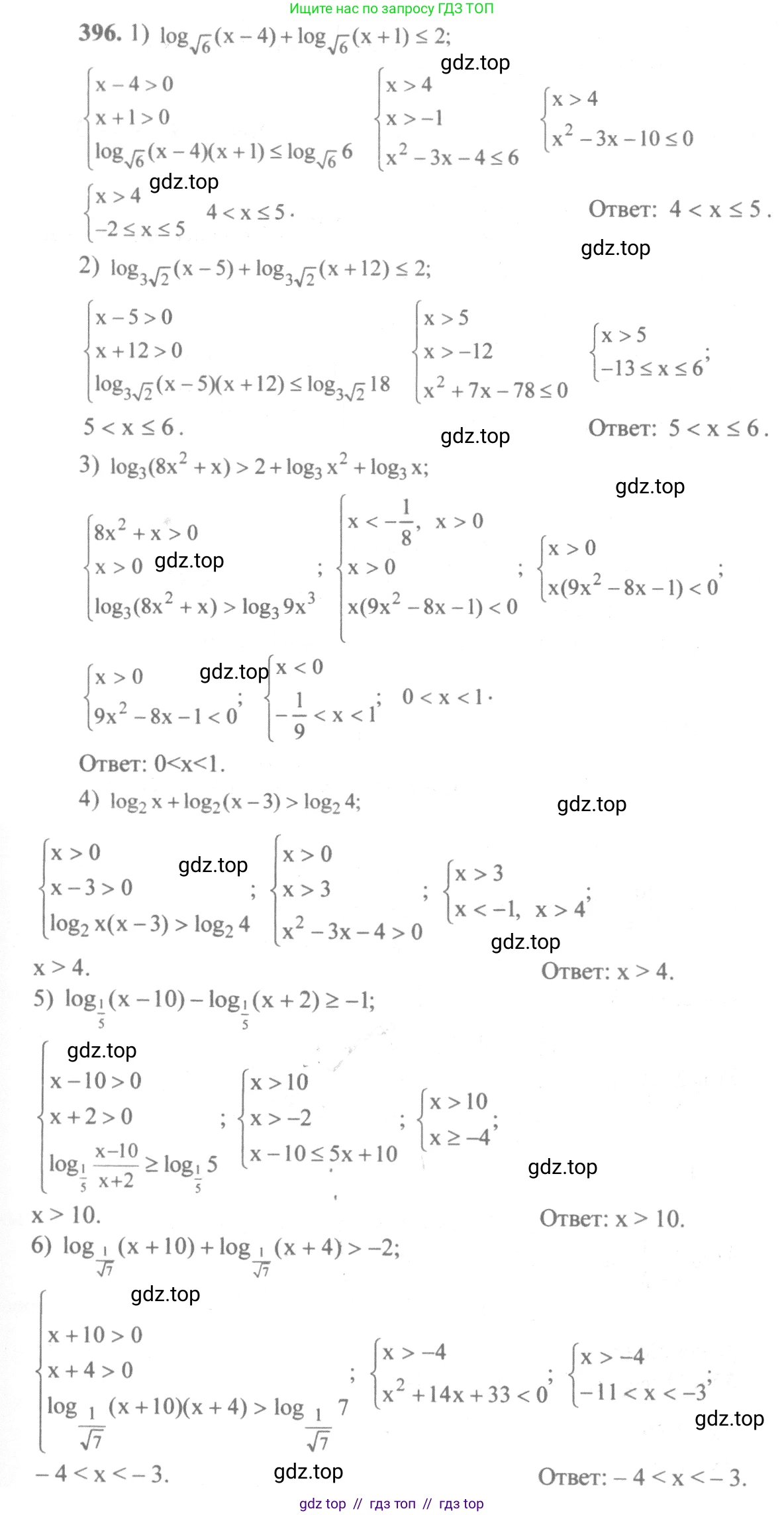
396 1) $log_{\sqrt{6}} (x - 4) + log_{\sqrt{6}} (x + 1) \leq 2;$

2) $log_{3\sqrt{2}} (x - 5) + log_{3\sqrt{2}} (x + 12) \leq 2;$

3) $log_3 (8x^2 + x) > 2 + log_3 x^2 + log_3 x;$

4) $log_2 x + log_2 (x - 3) > log_2 4;$

5) $log_{\frac{1}{5}} (x - 10) - log_{\frac{1}{5}} (x + 2) \geq -1;$

6) $log_{\frac{1}{\sqrt{7}}} (x + 10) + log_{\frac{1}{\sqrt{7}}} (x + 4) > -2.$

Решение 1. №396 (с. 116)
Алгебра, 10-11 класс Учебник, авторы: Алимов Шавкат Арифджанович, Колягин Юрий Михайлович, Ткачева Мария Владимировна, Федорова Надежда Евгеньевна, Шабунин Михаил Иванович, издательство Просвещение, Москва, 2014, страница 116, номер 396, Решение 1
Алгебра, 10-11 класс Учебник, авторы: Алимов Шавкат Арифджанович, Колягин Юрий Михайлович, Ткачева Мария Владимировна, Федорова Надежда Евгеньевна, Шабунин Михаил Иванович, издательство Просвещение, Москва, 2014, страница 116, номер 396, Решение 1 (продолжение 2)
Алгебра, 10-11 класс Учебник, авторы: Алимов Шавкат Арифджанович, Колягин Юрий Михайлович, Ткачева Мария Владимировна, Федорова Надежда Евгеньевна, Шабунин Михаил Иванович, издательство Просвещение, Москва, 2014, страница 116, номер 396, Решение 1 (продолжение 3)
Алгебра, 10-11 класс Учебник, авторы: Алимов Шавкат Арифджанович, Колягин Юрий Михайлович, Ткачева Мария Владимировна, Федорова Надежда Евгеньевна, Шабунин Михаил Иванович, издательство Просвещение, Москва, 2014, страница 116, номер 396, Решение 1 (продолжение 4)
Алгебра, 10-11 класс Учебник, авторы: Алимов Шавкат Арифджанович, Колягин Юрий Михайлович, Ткачева Мария Владимировна, Федорова Надежда Евгеньевна, Шабунин Михаил Иванович, издательство Просвещение, Москва, 2014, страница 116, номер 396, Решение 1 (продолжение 5) Алгебра, 10-11 класс Учебник, авторы: Алимов Шавкат Арифджанович, Колягин Юрий Михайлович, Ткачева Мария Владимировна, Федорова Надежда Евгеньевна, Шабунин Михаил Иванович, издательство Просвещение, Москва, 2014, страница 116, номер 396, Решение 1 (продолжение 6)
Решение 2. №396 (с. 116)
Алгебра, 10-11 класс Учебник, авторы: Алимов Шавкат Арифджанович, Колягин Юрий Михайлович, Ткачева Мария Владимировна, Федорова Надежда Евгеньевна, Шабунин Михаил Иванович, издательство Просвещение, Москва, 2014, страница 116, номер 396, Решение 2
Алгебра, 10-11 класс Учебник, авторы: Алимов Шавкат Арифджанович, Колягин Юрий Михайлович, Ткачева Мария Владимировна, Федорова Надежда Евгеньевна, Шабунин Михаил Иванович, издательство Просвещение, Москва, 2014, страница 116, номер 396, Решение 2 (продолжение 2)
Алгебра, 10-11 класс Учебник, авторы: Алимов Шавкат Арифджанович, Колягин Юрий Михайлович, Ткачева Мария Владимировна, Федорова Надежда Евгеньевна, Шабунин Михаил Иванович, издательство Просвещение, Москва, 2014, страница 116, номер 396, Решение 2 (продолжение 3)
Алгебра, 10-11 класс Учебник, авторы: Алимов Шавкат Арифджанович, Колягин Юрий Михайлович, Ткачева Мария Владимировна, Федорова Надежда Евгеньевна, Шабунин Михаил Иванович, издательство Просвещение, Москва, 2014, страница 116, номер 396, Решение 2 (продолжение 4)
Решение 4. №396 (с. 116)
Алгебра, 10-11 класс Учебник, авторы: Алимов Шавкат Арифджанович, Колягин Юрий Михайлович, Ткачева Мария Владимировна, Федорова Надежда Евгеньевна, Шабунин Михаил Иванович, издательство Просвещение, Москва, 2014, страница 116, номер 396, Решение 4
Алгебра, 10-11 класс Учебник, авторы: Алимов Шавкат Арифджанович, Колягин Юрий Михайлович, Ткачева Мария Владимировна, Федорова Надежда Евгеньевна, Шабунин Михаил Иванович, издательство Просвещение, Москва, 2014, страница 116, номер 396, Решение 4 (продолжение 2)
Решение 5. №396 (с. 116)
Алгебра, 10-11 класс Учебник, авторы: Алимов Шавкат Арифджанович, Колягин Юрий Михайлович, Ткачева Мария Владимировна, Федорова Надежда Евгеньевна, Шабунин Михаил Иванович, издательство Просвещение, Москва, 2014, страница 116, номер 396, Решение 5
Алгебра, 10-11 класс Учебник, авторы: Алимов Шавкат Арифджанович, Колягин Юрий Михайлович, Ткачева Мария Владимировна, Федорова Надежда Евгеньевна, Шабунин Михаил Иванович, издательство Просвещение, Москва, 2014, страница 116, номер 396, Решение 5 (продолжение 2)
Решение 6. №396 (с. 116)
Алгебра, 10-11 класс Учебник, авторы: Алимов Шавкат Арифджанович, Колягин Юрий Михайлович, Ткачева Мария Владимировна, Федорова Надежда Евгеньевна, Шабунин Михаил Иванович, издательство Просвещение, Москва, 2014, страница 116, номер 396, Решение 6
Решение 7. №396 (с. 116)
Алгебра, 10-11 класс Учебник, авторы: Алимов Шавкат Арифджанович, Колягин Юрий Михайлович, Ткачева Мария Владимировна, Федорова Надежда Евгеньевна, Шабунин Михаил Иванович, издательство Просвещение, Москва, 2014, страница 116, номер 396, Решение 7 Алгебра, 10-11 класс Учебник, авторы: Алимов Шавкат Арифджанович, Колягин Юрий Михайлович, Ткачева Мария Владимировна, Федорова Надежда Евгеньевна, Шабунин Михаил Иванович, издательство Просвещение, Москва, 2014, страница 116, номер 396, Решение 7 (продолжение 2) Алгебра, 10-11 класс Учебник, авторы: Алимов Шавкат Арифджанович, Колягин Юрий Михайлович, Ткачева Мария Владимировна, Федорова Надежда Евгеньевна, Шабунин Михаил Иванович, издательство Просвещение, Москва, 2014, страница 116, номер 396, Решение 7 (продолжение 3) Алгебра, 10-11 класс Учебник, авторы: Алимов Шавкат Арифджанович, Колягин Юрий Михайлович, Ткачева Мария Владимировна, Федорова Надежда Евгеньевна, Шабунин Михаил Иванович, издательство Просвещение, Москва, 2014, страница 116, номер 396, Решение 7 (продолжение 4)
Решение 8. №396 (с. 116)

1) Сначала найдем область допустимых значений (ОДЗ). Аргументы логарифмов должны быть строго положительны:
$\begin{cases} x - 4 > 0 \\ x + 1 > 0 \end{cases} \Rightarrow \begin{cases} x > 4 \\ x > -1 \end{cases} \Rightarrow x > 4$.
Таким образом, ОДЗ: $x \in (4, +\infty)$.
Теперь решим само неравенство. Используем свойство суммы логарифмов $\log_a b + \log_a c = \log_a(bc)$:
$\log_{\sqrt{6}}((x-4)(x+1)) \le 2$.
Представим правую часть в виде логарифма с тем же основанием: $2 = \log_{\sqrt{6}}((\sqrt{6})^2) = \log_{\sqrt{6}}(6)$.
Неравенство принимает вид: $\log_{\sqrt{6}}(x^2 - 3x - 4) \le \log_{\sqrt{6}}(6)$.
Так как основание логарифма $\sqrt{6} > 1$, знак неравенства сохраняется при переходе к аргументам:
$x^2 - 3x - 4 \le 6 \Rightarrow x^2 - 3x - 10 \le 0$.
Найдем корни квадратного трехчлена $x^2 - 3x - 10 = 0$. Корни: $x_1 = -2, x_2 = 5$.
Решением неравенства $x^2 - 3x - 10 \le 0$ является промежуток $[-2, 5]$.
Найдем пересечение полученного решения с ОДЗ: $\begin{cases} x \in [-2, 5] \\ x > 4 \end{cases} \Rightarrow x \in (4, 5]$.
Ответ: $(4, 5]$.

2) Найдем ОДЗ: $\begin{cases} x - 5 > 0 \\ x + 12 > 0 \end{cases} \Rightarrow \begin{cases} x > 5 \\ x > -12 \end{cases} \Rightarrow x > 5$.
ОДЗ: $x \in (5, +\infty)$.
Решим неравенство. Используем свойство суммы логарифмов:
$\log_{3\sqrt{2}}((x-5)(x+12)) \le 2$.
Представим правую часть как логарифм с основанием $3\sqrt{2}$: $2 = \log_{3\sqrt{2}}((3\sqrt{2})^2) = \log_{3\sqrt{2}}(18)$.
Получаем: $\log_{3\sqrt{2}}(x^2 + 7x - 60) \le \log_{3\sqrt{2}}(18)$.
Основание $3\sqrt{2} > 1$, поэтому знак неравенства сохраняется:
$x^2 + 7x - 60 \le 18 \Rightarrow x^2 + 7x - 78 \le 0$.
Найдем корни уравнения $x^2 + 7x - 78 = 0$. Дискриминант $D = 7^2 - 4(1)(-78) = 49 + 312 = 361 = 19^2$.
Корни: $x_1 = \frac{-7-19}{2} = -13$, $x_2 = \frac{-7+19}{2} = 6$.
Решение квадратного неравенства: $x \in [-13, 6]$.
Учитывая ОДЗ ($x>5$), получаем итоговое решение: $x \in (5, 6]$.
Ответ: $(5, 6]$.

3) Найдем ОДЗ:
$\begin{cases} 8x^2 + x > 0 \\ x^2 > 0 \\ x > 0 \end{cases} \Rightarrow \begin{cases} x(8x+1) > 0 \\ x \ne 0 \\ x > 0 \end{cases}$.
Из $x>0$ следует, что $x \ne 0$ и $8x+1 > 0$. Таким образом, ОДЗ: $x > 0$.
Преобразуем правую часть неравенства:
$2 + \log_3 x^2 + \log_3 x = \log_3(3^2) + \log_3(x^2 \cdot x) = \log_3(9x^3)$.
Неравенство принимает вид: $\log_3(8x^2+x) > \log_3(9x^3)$.
Основание $3 > 1$, поэтому знак неравенства сохраняется:
$8x^2 + x > 9x^3 \Rightarrow 9x^3 - 8x^2 - x < 0$.
Вынесем $x$ за скобки: $x(9x^2 - 8x - 1) < 0$.
Так как по ОДЗ $x>0$, мы можем разделить обе части на $x$ без изменения знака:
$9x^2 - 8x - 1 < 0$.
Найдем корни уравнения $9x^2 - 8x - 1 = 0$. $D = (-8)^2 - 4(9)(-1) = 64+36 = 100=10^2$.
Корни: $x_1 = \frac{8-10}{18} = -\frac{1}{9}$, $x_2 = \frac{8+10}{18} = 1$.
Решение квадратного неравенства: $x \in (-1/9, 1)$.
Пересекая с ОДЗ ($x > 0$), получаем: $x \in (0, 1)$.
Ответ: $(0, 1)$.

4) Найдем ОДЗ: $\begin{cases} x > 0 \\ x - 3 > 0 \end{cases} \Rightarrow x > 3$.
ОДЗ: $x \in (3, +\infty)$.
Используем свойство суммы логарифмов:
$\log_2(x(x-3)) > \log_2 4$.
Основание $2 > 1$, знак неравенства сохраняется:
$x(x-3) > 4 \Rightarrow x^2 - 3x - 4 > 0$.
Найдем корни уравнения $x^2 - 3x - 4 = 0$. По теореме Виета, корни $x_1 = -1$, $x_2 = 4$.
Решение квадратного неравенства: $x \in (-\infty, -1) \cup (4, +\infty)$.
Пересекая с ОДЗ ($x>3$), получаем: $x \in (4, +\infty)$.
Ответ: $(4, +\infty)$.

5) Найдем ОДЗ: $\begin{cases} x - 10 > 0 \\ x + 2 > 0 \end{cases} \Rightarrow \begin{cases} x > 10 \\ x > -2 \end{cases} \Rightarrow x > 10$.
ОДЗ: $x \in (10, +\infty)$.
Используем свойство разности логарифмов $\log_a b - \log_a c = \log_a(b/c)$:
$\log_{\frac{1}{5}}\left(\frac{x-10}{x+2}\right) \ge -1$.
Представим правую часть в виде логарифма: $-1 = \log_{\frac{1}{5}}((\frac{1}{5})^{-1}) = \log_{\frac{1}{5}}(5)$.
Неравенство: $\log_{\frac{1}{5}}\left(\frac{x-10}{x+2}\right) \ge \log_{\frac{1}{5}}(5)$.
Основание $0 < \frac{1}{5} < 1$, поэтому знак неравенства меняется на противоположный:
$\frac{x-10}{x+2} \le 5 \Rightarrow \frac{x-10}{x+2} - 5 \le 0 \Rightarrow \frac{x-10-5(x+2)}{x+2} \le 0 \Rightarrow \frac{-4x-20}{x+2} \le 0$.
Умножим на -1, изменив знак неравенства: $\frac{4x+20}{x+2} \ge 0 \Rightarrow \frac{x+5}{x+2} \ge 0$.
Решим методом интервалов. Корни числителя и знаменателя: $x=-5$ и $x=-2$.
Решение: $x \in (-\infty, -5] \cup (-2, +\infty)$.
С учетом ОДЗ ($x>10$), получаем: $x \in (10, +\infty)$.
Ответ: $(10, +\infty)$.

6) Найдем ОДЗ: $\begin{cases} x + 10 > 0 \\ x + 4 > 0 \end{cases} \Rightarrow \begin{cases} x > -10 \\ x > -4 \end{cases} \Rightarrow x > -4$.
ОДЗ: $x \in (-4, +\infty)$.
Применим свойство суммы логарифмов:
$\log_{\frac{1}{\sqrt{7}}}((x+10)(x+4)) > -2$.
Представим правую часть в виде логарифма: $-2 = \log_{\frac{1}{\sqrt{7}}}((\frac{1}{\sqrt{7}})^{-2}) = \log_{\frac{1}{\sqrt{7}}}(7)$.
Неравенство: $\log_{\frac{1}{\sqrt{7}}}((x+10)(x+4)) > \log_{\frac{1}{\sqrt{7}}}(7)$.
Основание $0 < \frac{1}{\sqrt{7}} < 1$, поэтому знак неравенства меняется:
$(x+10)(x+4) < 7 \Rightarrow x^2 + 14x + 40 < 7 \Rightarrow x^2 + 14x + 33 < 0$.
Найдем корни уравнения $x^2 + 14x + 33 = 0$. $D = 14^2 - 4(1)(33) = 196 - 132 = 64=8^2$.
Корни: $x_1 = \frac{-14-8}{2} = -11$, $x_2 = \frac{-14+8}{2} = -3$.
Решение квадратного неравенства: $x \in (-11, -3)$.
Пересекая с ОДЗ ($x>-4$), получаем окончательное решение: $x \in (-4, -3)$.
Ответ: $(-4, -3)$.

Помогло решение? Оставьте отзыв в комментариях ниже.

Присоединяйтесь к Телеграм-группе @top_gdz

Присоединиться

Мы подготовили для вас ответ c подробным объяснением домашего задания по алгебре за 10-11 класс, для упражнения номер 396 расположенного на странице 116 к учебнику 2014 года издания для учащихся школ и гимназий.

Теперь на нашем сайте ГДЗ.ТОП вы всегда легко и бесплатно найдёте условие с правильным ответом на вопрос «Как решить ДЗ» и «Как сделать» задание по алгебре к упражнению №396 (с. 116), авторов: Алимов (Шавкат Арифджанович), Колягин (Юрий Михайлович), Ткачева (Мария Владимировна), Федорова (Надежда Евгеньевна), Шабунин (Михаил Иванович), ФГОС (старый) базовый и углублённый уровень обучения учебного пособия издательства Просвещение.