Номер 395, страница 115 - гдз по алгебре 10-11 класс учебник Алимов, Колягин

Алгебра, 10-11 класс Учебник, авторы: Алимов Шавкат Арифджанович, Колягин Юрий Михайлович, Ткачева Мария Владимировна, Федорова Надежда Евгеньевна, Шабунин Михаил Иванович, издательство Просвещение, Москва, 2014

Авторы: Алимов Ш. А., Колягин Ю. М., Ткачева М. В., Федорова Н. Е., Шабунин М. И.

Тип: Учебник

Издательство: Просвещение

Год издания: 2014 - 2025

Уровень обучения: базовый и углублённый

Цвет обложки: синий, фиолетовый

ISBN: 978-5-09-112136-0

Допущено Министерством просвещения Российской Федерации

Математика: алгебра и начала математического анализа, геометрия

Популярные ГДЗ в 10 классе

Глава 4. Логарифмическая функция. Упражнения к главе 4 - номер 395, страница 115.

№395 (с. 115)
Условие. №395 (с. 115)
скриншот условия
Алгебра, 10-11 класс Учебник, авторы: Алимов Шавкат Арифджанович, Колягин Юрий Михайлович, Ткачева Мария Владимировна, Федорова Надежда Евгеньевна, Шабунин Михаил Иванович, издательство Просвещение, Москва, 2014, страница 115, номер 395, Условие

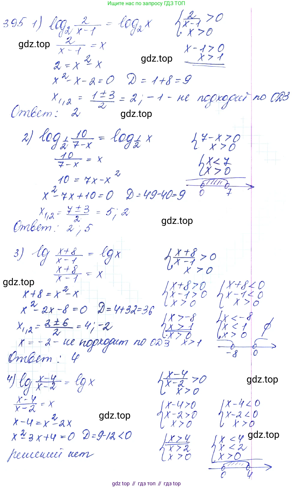
395 1) $log_2 \frac{2}{x-1} = log_2 x;$

2) $log_{\frac{1}{2}} \frac{10}{7-x} = log_{\frac{1}{2}} x;$

3) $lg \frac{x+8}{x-1} = lg x;$

4) $lg \frac{x-4}{x-2} = lg x.$

Решение 1. №395 (с. 115)
Алгебра, 10-11 класс Учебник, авторы: Алимов Шавкат Арифджанович, Колягин Юрий Михайлович, Ткачева Мария Владимировна, Федорова Надежда Евгеньевна, Шабунин Михаил Иванович, издательство Просвещение, Москва, 2014, страница 115, номер 395, Решение 1
Алгебра, 10-11 класс Учебник, авторы: Алимов Шавкат Арифджанович, Колягин Юрий Михайлович, Ткачева Мария Владимировна, Федорова Надежда Евгеньевна, Шабунин Михаил Иванович, издательство Просвещение, Москва, 2014, страница 115, номер 395, Решение 1 (продолжение 2)
Алгебра, 10-11 класс Учебник, авторы: Алимов Шавкат Арифджанович, Колягин Юрий Михайлович, Ткачева Мария Владимировна, Федорова Надежда Евгеньевна, Шабунин Михаил Иванович, издательство Просвещение, Москва, 2014, страница 115, номер 395, Решение 1 (продолжение 3)
Алгебра, 10-11 класс Учебник, авторы: Алимов Шавкат Арифджанович, Колягин Юрий Михайлович, Ткачева Мария Владимировна, Федорова Надежда Евгеньевна, Шабунин Михаил Иванович, издательство Просвещение, Москва, 2014, страница 115, номер 395, Решение 1 (продолжение 4)
Решение 2. №395 (с. 115)
Алгебра, 10-11 класс Учебник, авторы: Алимов Шавкат Арифджанович, Колягин Юрий Михайлович, Ткачева Мария Владимировна, Федорова Надежда Евгеньевна, Шабунин Михаил Иванович, издательство Просвещение, Москва, 2014, страница 115, номер 395, Решение 2
Алгебра, 10-11 класс Учебник, авторы: Алимов Шавкат Арифджанович, Колягин Юрий Михайлович, Ткачева Мария Владимировна, Федорова Надежда Евгеньевна, Шабунин Михаил Иванович, издательство Просвещение, Москва, 2014, страница 115, номер 395, Решение 2 (продолжение 2)
Решение 4. №395 (с. 115)
Алгебра, 10-11 класс Учебник, авторы: Алимов Шавкат Арифджанович, Колягин Юрий Михайлович, Ткачева Мария Владимировна, Федорова Надежда Евгеньевна, Шабунин Михаил Иванович, издательство Просвещение, Москва, 2014, страница 115, номер 395, Решение 4
Решение 5. №395 (с. 115)
Алгебра, 10-11 класс Учебник, авторы: Алимов Шавкат Арифджанович, Колягин Юрий Михайлович, Ткачева Мария Владимировна, Федорова Надежда Евгеньевна, Шабунин Михаил Иванович, издательство Просвещение, Москва, 2014, страница 115, номер 395, Решение 5
Алгебра, 10-11 класс Учебник, авторы: Алимов Шавкат Арифджанович, Колягин Юрий Михайлович, Ткачева Мария Владимировна, Федорова Надежда Евгеньевна, Шабунин Михаил Иванович, издательство Просвещение, Москва, 2014, страница 115, номер 395, Решение 5 (продолжение 2)
Решение 6. №395 (с. 115)
Алгебра, 10-11 класс Учебник, авторы: Алимов Шавкат Арифджанович, Колягин Юрий Михайлович, Ткачева Мария Владимировна, Федорова Надежда Евгеньевна, Шабунин Михаил Иванович, издательство Просвещение, Москва, 2014, страница 115, номер 395, Решение 6
Решение 7. №395 (с. 115)
Алгебра, 10-11 класс Учебник, авторы: Алимов Шавкат Арифджанович, Колягин Юрий Михайлович, Ткачева Мария Владимировна, Федорова Надежда Евгеньевна, Шабунин Михаил Иванович, издательство Просвещение, Москва, 2014, страница 115, номер 395, Решение 7 Алгебра, 10-11 класс Учебник, авторы: Алимов Шавкат Арифджанович, Колягин Юрий Михайлович, Ткачева Мария Владимировна, Федорова Надежда Евгеньевна, Шабунин Михаил Иванович, издательство Просвещение, Москва, 2014, страница 115, номер 395, Решение 7 (продолжение 2)
Решение 8. №395 (с. 115)

1) Исходное уравнение: $ \log_{2} \frac{2}{x-1} = \log_{2} x $.
Логарифмическая функция определена, когда ее аргумент строго больше нуля. Поэтому мы должны удовлетворить системе неравенств (ОДЗ - Область допустимых значений):
$ \begin{cases} \frac{2}{x-1} > 0 \\ x > 0 \end{cases} $
Из первого неравенства $ \frac{2}{x-1} > 0 $ следует, что $ x-1 > 0 $, то есть $ x > 1 $.
Учитывая второе неравенство $ x > 0 $, получаем общую область допустимых значений: $ x > 1 $.
Поскольку основания логарифмов равны, мы можем приравнять их аргументы:
$ \frac{2}{x-1} = x $
Умножим обе части на $ (x-1) $, так как из ОДЗ мы знаем, что $ x \neq 1 $:
$ 2 = x(x-1) $
$ 2 = x^2 - x $
$ x^2 - x - 2 = 0 $
Решим квадратное уравнение. Дискриминант $ D = b^2 - 4ac = (-1)^2 - 4(1)(-2) = 1 + 8 = 9 $.
Корни уравнения:
$ x_1 = \frac{-(-1) + \sqrt{9}}{2 \cdot 1} = \frac{1+3}{2} = 2 $
$ x_2 = \frac{-(-1) - \sqrt{9}}{2 \cdot 1} = \frac{1-3}{2} = -1 $
Теперь проверим, принадлежат ли корни области допустимых значений $ x > 1 $.
Корень $ x_1 = 2 $ удовлетворяет условию $ 2 > 1 $.
Корень $ x_2 = -1 $ не удовлетворяет условию $ -1 > 1 $, поэтому это посторонний корень.
Следовательно, у уравнения есть только один корень.
Ответ: $ 2 $.

2) Исходное уравнение: $ \log_{\frac{1}{2}} \frac{10}{7-x} = \log_{\frac{1}{2}} x $.
Найдем область допустимых значений (ОДЗ):
$ \begin{cases} \frac{10}{7-x} > 0 \\ x > 0 \end{cases} $
Из первого неравенства $ \frac{10}{7-x} > 0 $ следует, что $ 7-x > 0 $, то есть $ x < 7 $.
Объединяя с условием $ x > 0 $, получаем ОДЗ: $ 0 < x < 7 $.
Приравниваем аргументы логарифмов:
$ \frac{10}{7-x} = x $
$ 10 = x(7-x) $
$ 10 = 7x - x^2 $
$ x^2 - 7x + 10 = 0 $
Решим квадратное уравнение. По теореме Виета: сумма корней равна 7, произведение равно 10.
Корни уравнения: $ x_1 = 2 $ и $ x_2 = 5 $.
Проверим оба корня на принадлежность ОДЗ $ 0 < x < 7 $.
Корень $ x_1 = 2 $ удовлетворяет условию $ 0 < 2 < 7 $.
Корень $ x_2 = 5 $ удовлетворяет условию $ 0 < 5 < 7 $.
Оба корня являются решениями уравнения.
Ответ: $ 2; 5 $.

3) Исходное уравнение: $ \lg \frac{x+8}{x-1} = \lg x $. (lg - это десятичный логарифм, $ \log_{10} $)
Найдем ОДЗ:
$ \begin{cases} \frac{x+8}{x-1} > 0 \\ x > 0 \end{cases} $
Решим первое неравенство $ \frac{x+8}{x-1} > 0 $ методом интервалов. Нули числителя: $ x = -8 $. Нули знаменателя: $ x = 1 $.
Интервалы знакопостоянства: $ (-\infty; -8) $, $ (-8; 1) $, $ (1; +\infty) $.
Неравенство выполняется при $ x \in (-\infty; -8) \cup (1; +\infty) $.
Учитывая второе условие $ x > 0 $, получаем итоговую ОДЗ: $ x > 1 $.
Приравниваем аргументы логарифмов:
$ \frac{x+8}{x-1} = x $
$ x+8 = x(x-1) $
$ x+8 = x^2 - x $
$ x^2 - 2x - 8 = 0 $
Решим квадратное уравнение. По теореме Виета: сумма корней равна 2, произведение равно -8.
Корни уравнения: $ x_1 = 4 $ и $ x_2 = -2 $.
Проверим корни на принадлежность ОДЗ $ x > 1 $.
Корень $ x_1 = 4 $ удовлетворяет условию $ 4 > 1 $.
Корень $ x_2 = -2 $ не удовлетворяет условию $ -2 > 1 $, это посторонний корень.
Ответ: $ 4 $.

4) Исходное уравнение: $ \lg \frac{x-4}{x-2} = \lg x $.
Найдем ОДЗ:
$ \begin{cases} \frac{x-4}{x-2} > 0 \\ x > 0 \end{cases} $
Решим первое неравенство $ \frac{x-4}{x-2} > 0 $ методом интервалов. Нули числителя: $ x = 4 $. Нули знаменателя: $ x = 2 $.
Интервалы знакопостоянства: $ (-\infty; 2) $, $ (2; 4) $, $ (4; +\infty) $.
Неравенство выполняется при $ x \in (-\infty; 2) \cup (4; +\infty) $.
Учитывая второе условие $ x > 0 $, получаем итоговую ОДЗ: $ x \in (0; 2) \cup (4; +\infty) $.
Приравниваем аргументы логарифмов:
$ \frac{x-4}{x-2} = x $
$ x-4 = x(x-2) $
$ x-4 = x^2 - 2x $
$ x^2 - 3x + 4 = 0 $
Найдем дискриминант этого квадратного уравнения:
$ D = b^2 - 4ac = (-3)^2 - 4(1)(4) = 9 - 16 = -7 $.
Так как дискриминант $ D < 0 $, данное квадратное уравнение не имеет действительных корней.
Следовательно, исходное логарифмическое уравнение также не имеет решений.
Ответ: нет корней.

Помогло решение? Оставьте отзыв в комментариях ниже.

Присоединяйтесь к Телеграм-группе @top_gdz

Присоединиться

Мы подготовили для вас ответ c подробным объяснением домашего задания по алгебре за 10-11 класс, для упражнения номер 395 расположенного на странице 115 к учебнику 2014 года издания для учащихся школ и гимназий.

Теперь на нашем сайте ГДЗ.ТОП вы всегда легко и бесплатно найдёте условие с правильным ответом на вопрос «Как решить ДЗ» и «Как сделать» задание по алгебре к упражнению №395 (с. 115), авторов: Алимов (Шавкат Арифджанович), Колягин (Юрий Михайлович), Ткачева (Мария Владимировна), Федорова (Надежда Евгеньевна), Шабунин (Михаил Иванович), ФГОС (старый) базовый и углублённый уровень обучения учебного пособия издательства Просвещение.