Номер 397, страница 116 - гдз по алгебре 10-11 класс учебник Алимов, Колягин

Алгебра, 10-11 класс Учебник, авторы: Алимов Шавкат Арифджанович, Колягин Юрий Михайлович, Ткачева Мария Владимировна, Федорова Надежда Евгеньевна, Шабунин Михаил Иванович, издательство Просвещение, Москва, 2014

Авторы: Алимов Ш. А., Колягин Ю. М., Ткачева М. В., Федорова Н. Е., Шабунин М. И.

Тип: Учебник

Издательство: Просвещение

Год издания: 2014 - 2026

Уровень обучения: базовый и углублённый

Цвет обложки: синий, фиолетовый

ISBN: 978-5-09-112136-0

Допущено Министерством просвещения Российской Федерации

Математика: алгебра и начала математического анализа, геометрия

Глава 4. Логарифмическая функция. Упражнения к главе 4 - номер 397, страница 116.

№397 (с. 116)
Условие. №397 (с. 116)
скриншот условия
Алгебра, 10-11 класс Учебник, авторы: Алимов Шавкат Арифджанович, Колягин Юрий Михайлович, Ткачева Мария Владимировна, Федорова Надежда Евгеньевна, Шабунин Михаил Иванович, издательство Просвещение, Москва, 2014, страница 116, номер 397, Условие

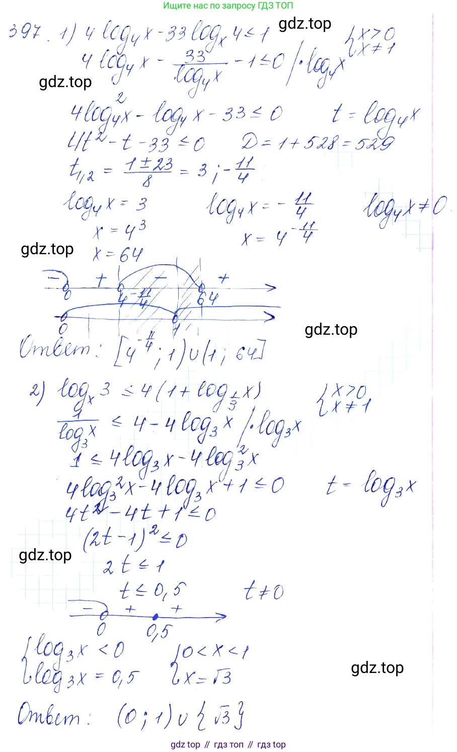
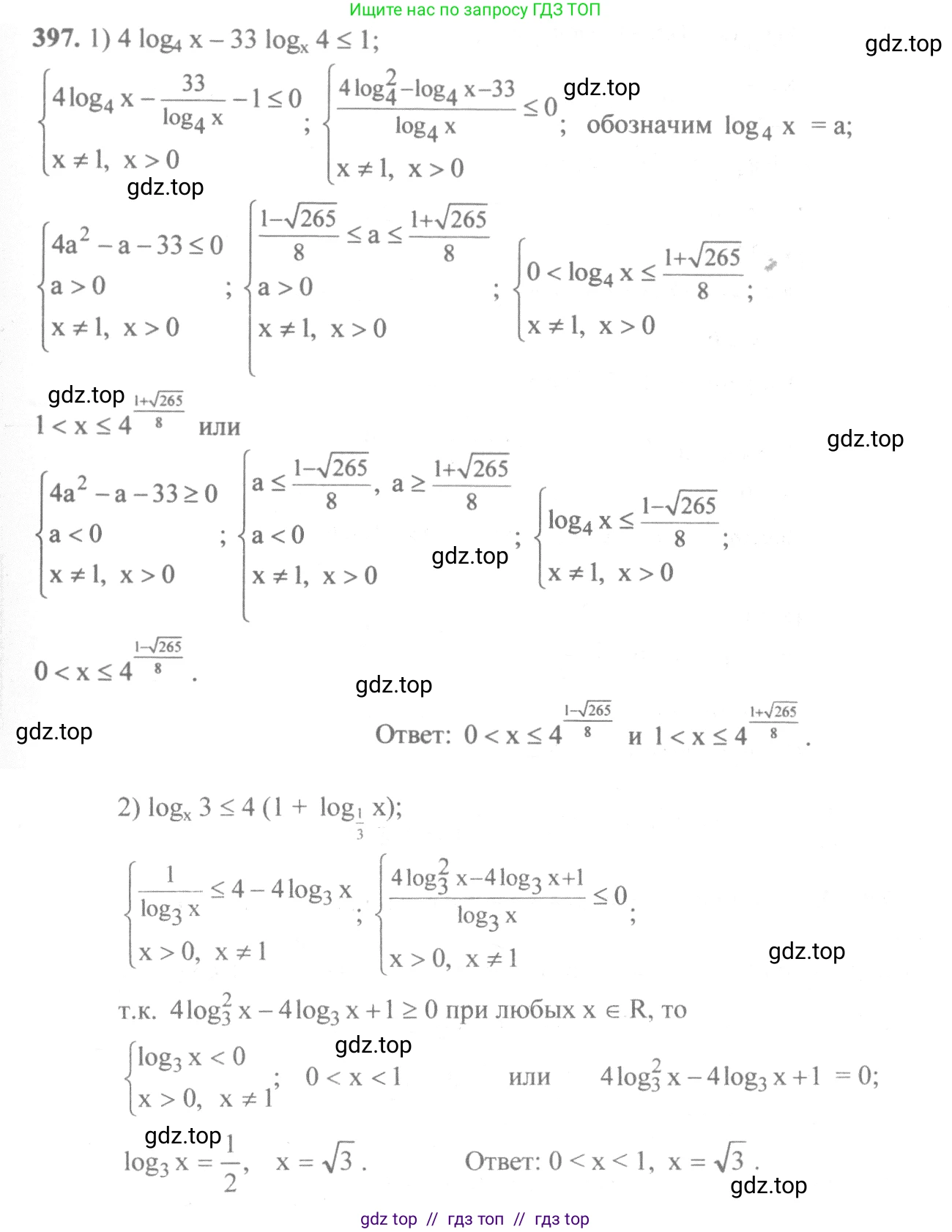
397 1) $4 \log_4 x - 33 \log_x 4 \leq 1;$

2) $\log_x 3 \leq 4(1 + \log_{\frac{1}{3}} x).$

Решение 1. №397 (с. 116)
Алгебра, 10-11 класс Учебник, авторы: Алимов Шавкат Арифджанович, Колягин Юрий Михайлович, Ткачева Мария Владимировна, Федорова Надежда Евгеньевна, Шабунин Михаил Иванович, издательство Просвещение, Москва, 2014, страница 116, номер 397, Решение 1
Алгебра, 10-11 класс Учебник, авторы: Алимов Шавкат Арифджанович, Колягин Юрий Михайлович, Ткачева Мария Владимировна, Федорова Надежда Евгеньевна, Шабунин Михаил Иванович, издательство Просвещение, Москва, 2014, страница 116, номер 397, Решение 1 (продолжение 2)
Решение 2. №397 (с. 116)
Алгебра, 10-11 класс Учебник, авторы: Алимов Шавкат Арифджанович, Колягин Юрий Михайлович, Ткачева Мария Владимировна, Федорова Надежда Евгеньевна, Шабунин Михаил Иванович, издательство Просвещение, Москва, 2014, страница 116, номер 397, Решение 2
Алгебра, 10-11 класс Учебник, авторы: Алимов Шавкат Арифджанович, Колягин Юрий Михайлович, Ткачева Мария Владимировна, Федорова Надежда Евгеньевна, Шабунин Михаил Иванович, издательство Просвещение, Москва, 2014, страница 116, номер 397, Решение 2 (продолжение 2)
Решение 3. №397 (с. 116)
Алгебра, 10-11 класс Учебник, авторы: Алимов Шавкат Арифджанович, Колягин Юрий Михайлович, Ткачева Мария Владимировна, Федорова Надежда Евгеньевна, Шабунин Михаил Иванович, издательство Просвещение, Москва, 2014, страница 116, номер 397, Решение 3
Решение 4. №397 (с. 116)
Алгебра, 10-11 класс Учебник, авторы: Алимов Шавкат Арифджанович, Колягин Юрий Михайлович, Ткачева Мария Владимировна, Федорова Надежда Евгеньевна, Шабунин Михаил Иванович, издательство Просвещение, Москва, 2014, страница 116, номер 397, Решение 4
Решение 5. №397 (с. 116)
Алгебра, 10-11 класс Учебник, авторы: Алимов Шавкат Арифджанович, Колягин Юрий Михайлович, Ткачева Мария Владимировна, Федорова Надежда Евгеньевна, Шабунин Михаил Иванович, издательство Просвещение, Москва, 2014, страница 116, номер 397, Решение 5
Решение 6. №397 (с. 116)
Алгебра, 10-11 класс Учебник, авторы: Алимов Шавкат Арифджанович, Колягин Юрий Михайлович, Ткачева Мария Владимировна, Федорова Надежда Евгеньевна, Шабунин Михаил Иванович, издательство Просвещение, Москва, 2014, страница 116, номер 397, Решение 6
Решение 7. №397 (с. 116)
Алгебра, 10-11 класс Учебник, авторы: Алимов Шавкат Арифджанович, Колягин Юрий Михайлович, Ткачева Мария Владимировна, Федорова Надежда Евгеньевна, Шабунин Михаил Иванович, издательство Просвещение, Москва, 2014, страница 116, номер 397, Решение 7 Алгебра, 10-11 класс Учебник, авторы: Алимов Шавкат Арифджанович, Колягин Юрий Михайлович, Ткачева Мария Владимировна, Федорова Надежда Евгеньевна, Шабунин Михаил Иванович, издательство Просвещение, Москва, 2014, страница 116, номер 397, Решение 7 (продолжение 2)
Решение 8. №397 (с. 116)

1) $4 \log_4 x - 33 \log_x 4 \le 1$

Найдем область допустимых значений (ОДЗ). Аргумент логарифма должен быть больше нуля, а основание логарифма должно быть больше нуля и не равно единице.
$x > 0$ и $x \ne 1$.
ОДЗ: $x \in (0, 1) \cup (1, \infty)$.

Используем свойство логарифмов $\log_b a = \frac{1}{\log_a b}$ для преобразования неравенства:
$4 \log_4 x - \frac{33}{\log_4 x} \le 1$.

Сделаем замену переменной. Пусть $t = \log_4 x$. Так как $x \ne 1$, то $t \ne 0$.
Неравенство принимает вид:
$4t - \frac{33}{t} \le 1$

Перенесем все члены в левую часть и приведем к общему знаменателю:
$4t - \frac{33}{t} - 1 \le 0$
$\frac{4t^2 - t - 33}{t} \le 0$

Найдем корни числителя, решив квадратное уравнение $4t^2 - t - 33 = 0$.
Дискриминант $\Delta = (-1)^2 - 4 \cdot 4 \cdot (-33) = 1 + 528 = 529 = 23^2$.
$t_{1,2} = \frac{1 \pm 23}{8}$.
$t_1 = \frac{1 + 23}{8} = \frac{24}{8} = 3$.
$t_2 = \frac{1 - 23}{8} = -\frac{22}{8} = -\frac{11}{4}$.

Теперь решим неравенство $\frac{4(t-3)(t+11/4)}{t} \le 0$ методом интервалов.
Критические точки: $t = -\frac{11}{4}$, $t = 0$, $t = 3$.
Нанеся точки на числовую прямую, определим, что выражение $\frac{4t^2 - t - 33}{t}$ меньше или равно нулю при $t \in (-\infty, -11/4] \cup (0, 3]$.

Выполним обратную замену $t = \log_4 x$.
Получаем два случая:
1) $\log_4 x \le -\frac{11}{4}$. Так как основание логарифма $4 > 1$, функция возрастающая, знак неравенства сохраняется:
$x \le 4^{-11/4} \implies x \le (2^2)^{-11/4} \implies x \le 2^{-11/2} \implies x \le \frac{1}{2^{5.5}} \implies x \le \frac{1}{32\sqrt{2}}$.
2) $0 < \log_4 x \le 3$.
$4^0 < x \le 4^3 \implies 1 < x \le 64$.

Объединим полученные решения с учетом ОДЗ ($x \in (0, 1) \cup (1, \infty)$).
Из первого случая, с учетом $x > 0$, получаем $0 < x \le \frac{1}{32\sqrt{2}}$. Этот интервал удовлетворяет ОДЗ.
Из второго случая, $1 < x \le 64$. Этот интервал также удовлетворяет ОДЗ.
Итоговое решение является объединением этих двух множеств.

Ответ: $x \in (0, \frac{1}{32\sqrt{2}}] \cup (1, 64]$.

2) $\log_x 3 \le 4(1 + \log_{\frac{1}{3}} x)$

Найдем область допустимых значений (ОДЗ).
$x > 0$ и $x \ne 1$.
ОДЗ: $x \in (0, 1) \cup (1, \infty)$.

Приведем логарифмы к одному основанию, например, к основанию 3.
$\log_x 3 = \frac{1}{\log_3 x}$
$\log_{\frac{1}{3}} x = \log_{3^{-1}} x = -\log_3 x$
Подставим в исходное неравенство:
$\frac{1}{\log_3 x} \le 4(1 - \log_3 x)$.

Сделаем замену переменной. Пусть $t = \log_3 x$. Так как $x \ne 1$, то $t \ne 0$.
$\frac{1}{t} \le 4(1 - t)$

Решим полученное неравенство:
$\frac{1}{t} - 4 + 4t \le 0$
$\frac{1 - 4t + 4t^2}{t} \le 0$
$\frac{(2t - 1)^2}{t} \le 0$

Числитель $(2t - 1)^2$ всегда неотрицателен. Он равен нулю при $t = 1/2$.
Неравенство выполняется в двух случаях:
1) Дробь равна нулю. Это возможно, когда числитель равен нулю, а знаменатель не равен.
$(2t - 1)^2 = 0 \implies t = \frac{1}{2}$.
2) Дробь отрицательна. Это возможно, когда числитель положителен ($t \ne 1/2$), а знаменатель отрицателен ($t < 0$).
Отсюда $t < 0$.
Объединяя эти два случая, получаем решение для $t$: $t < 0$ или $t = 1/2$.

Выполним обратную замену $t = \log_3 x$.
1) $\log_3 x < 0$. Так как основание логарифма $3 > 1$, функция возрастающая:
$x < 3^0 \implies x < 1$.
2) $\log_3 x = \frac{1}{2}$.
$x = 3^{1/2} \implies x = \sqrt{3}$.

Объединим полученные решения с учетом ОДЗ ($x \in (0, 1) \cup (1, \infty)$).
Из первого случая ($x < 1$) и ОДЗ ($x > 0$) получаем интервал $(0, 1)$.
Второе решение $x = \sqrt{3}$ удовлетворяет ОДЗ, так как $\sqrt{3} > 1$.

Ответ: $x \in (0, 1) \cup \{\sqrt{3}\}$.

Помогло решение? Оставьте отзыв в комментариях ниже.

Присоединяйтесь к Телеграм-группе @top_gdz

Присоединиться

Мы подготовили для вас ответ c подробным объяснением домашего задания по алгебре за 10-11 класс, для упражнения номер 397 расположенного на странице 116 к учебнику 2014 года издания для учащихся школ и гимназий.

Теперь на нашем сайте ГДЗ.ТОП вы всегда легко и бесплатно найдёте условие с правильным ответом на вопрос «Как решить ДЗ» и «Как сделать» задание по алгебре к упражнению №397 (с. 116), авторов: Алимов (Шавкат Арифджанович), Колягин (Юрий Михайлович), Ткачева (Мария Владимировна), Федорова (Надежда Евгеньевна), Шабунин (Михаил Иванович), ФГОС (старый) базовый и углублённый уровень обучения учебного пособия издательства Просвещение.