Номер 403, страница 116 - гдз по алгебре 10-11 класс учебник Алимов, Колягин

Алгебра, 10-11 класс Учебник, авторы: Алимов Шавкат Арифджанович, Колягин Юрий Михайлович, Ткачева Мария Владимировна, Федорова Надежда Евгеньевна, Шабунин Михаил Иванович, издательство Просвещение, Москва, 2014

Авторы: Алимов Ш. А., Колягин Ю. М., Ткачева М. В., Федорова Н. Е., Шабунин М. И.

Тип: Учебник

Издательство: Просвещение

Год издания: 2014 - 2025

Уровень обучения: базовый и углублённый

Цвет обложки: синий, фиолетовый

ISBN: 978-5-09-112136-0

Допущено Министерством просвещения Российской Федерации

Математика: алгебра и начала математического анализа, геометрия

Популярные ГДЗ в 10 классе

Упражнения к главе 4. Глава 4. Логарифмическая функция - номер 403, страница 116.

Навигация по странице:

Решение Комментарии
№403 (с. 116)
Условие. №403 (с. 116)
скриншот условия
Алгебра, 10-11 класс Учебник, авторы: Алимов Шавкат Арифджанович, Колягин Юрий Михайлович, Ткачева Мария Владимировна, Федорова Надежда Евгеньевна, Шабунин Михаил Иванович, издательство Просвещение, Москва, 2014, страница 116, номер 403, Условие

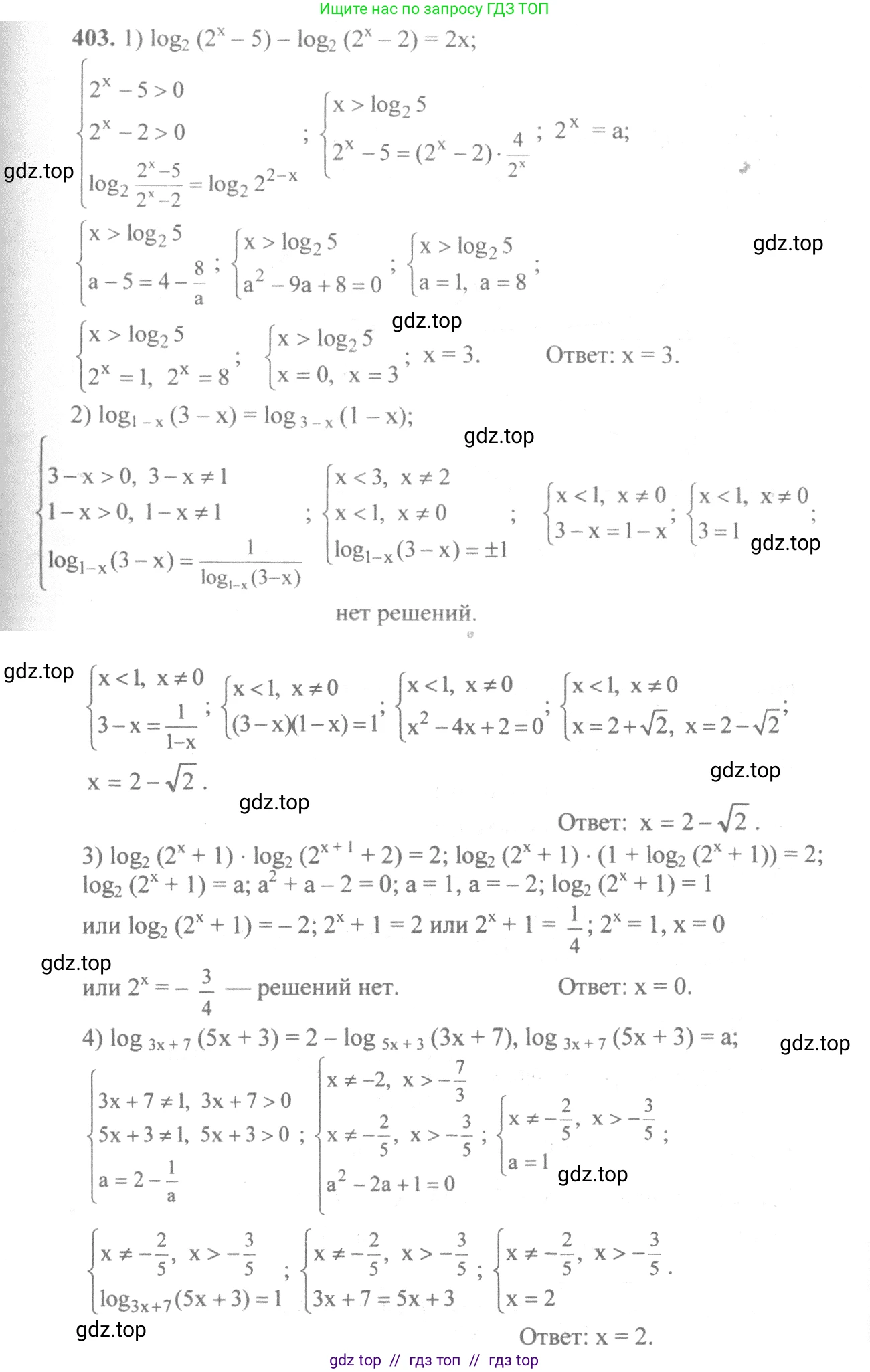
403 1) log2(2x5)log2(2x2)=2x;\log_2 (2^x - 5) - \log_2 (2^x - 2) = 2 - x;

2) log1x(3x)=log3x(1x);\log_{1 - x} (3 - x) = \log_{3 - x} (1 - x);

3) log2(2x+1)log2(2x+1+2)=2;\log_2 (2^x + 1) \cdot \log_2 (2^{x + 1} + 2) = 2;

4) log3x+7(5x+3)=2log5x+3(3x+7).\log_{3x + 7} (5x + 3) = 2 - \log_{5x + 3} (3x + 7).

Решение 1. №403 (с. 116)
Алгебра, 10-11 класс Учебник, авторы: Алимов Шавкат Арифджанович, Колягин Юрий Михайлович, Ткачева Мария Владимировна, Федорова Надежда Евгеньевна, Шабунин Михаил Иванович, издательство Просвещение, Москва, 2014, страница 116, номер 403, Решение 1 Алгебра, 10-11 класс Учебник, авторы: Алимов Шавкат Арифджанович, Колягин Юрий Михайлович, Ткачева Мария Владимировна, Федорова Надежда Евгеньевна, Шабунин Михаил Иванович, издательство Просвещение, Москва, 2014, страница 116, номер 403, Решение 1 (продолжение 2) Алгебра, 10-11 класс Учебник, авторы: Алимов Шавкат Арифджанович, Колягин Юрий Михайлович, Ткачева Мария Владимировна, Федорова Надежда Евгеньевна, Шабунин Михаил Иванович, издательство Просвещение, Москва, 2014, страница 116, номер 403, Решение 1 (продолжение 3) Алгебра, 10-11 класс Учебник, авторы: Алимов Шавкат Арифджанович, Колягин Юрий Михайлович, Ткачева Мария Владимировна, Федорова Надежда Евгеньевна, Шабунин Михаил Иванович, издательство Просвещение, Москва, 2014, страница 116, номер 403, Решение 1 (продолжение 4)
Решение 2. №403 (с. 116)
Алгебра, 10-11 класс Учебник, авторы: Алимов Шавкат Арифджанович, Колягин Юрий Михайлович, Ткачева Мария Владимировна, Федорова Надежда Евгеньевна, Шабунин Михаил Иванович, издательство Просвещение, Москва, 2014, страница 116, номер 403, Решение 2
Решение 4. №403 (с. 116)
Алгебра, 10-11 класс Учебник, авторы: Алимов Шавкат Арифджанович, Колягин Юрий Михайлович, Ткачева Мария Владимировна, Федорова Надежда Евгеньевна, Шабунин Михаил Иванович, издательство Просвещение, Москва, 2014, страница 116, номер 403, Решение 4 Алгебра, 10-11 класс Учебник, авторы: Алимов Шавкат Арифджанович, Колягин Юрий Михайлович, Ткачева Мария Владимировна, Федорова Надежда Евгеньевна, Шабунин Михаил Иванович, издательство Просвещение, Москва, 2014, страница 116, номер 403, Решение 4 (продолжение 2)
Решение 5. №403 (с. 116)
Алгебра, 10-11 класс Учебник, авторы: Алимов Шавкат Арифджанович, Колягин Юрий Михайлович, Ткачева Мария Владимировна, Федорова Надежда Евгеньевна, Шабунин Михаил Иванович, издательство Просвещение, Москва, 2014, страница 116, номер 403, Решение 5
Решение 6. №403 (с. 116)
Алгебра, 10-11 класс Учебник, авторы: Алимов Шавкат Арифджанович, Колягин Юрий Михайлович, Ткачева Мария Владимировна, Федорова Надежда Евгеньевна, Шабунин Михаил Иванович, издательство Просвещение, Москва, 2014, страница 116, номер 403, Решение 6
Решение 7. №403 (с. 116)
Алгебра, 10-11 класс Учебник, авторы: Алимов Шавкат Арифджанович, Колягин Юрий Михайлович, Ткачева Мария Владимировна, Федорова Надежда Евгеньевна, Шабунин Михаил Иванович, издательство Просвещение, Москва, 2014, страница 116, номер 403, Решение 7 Алгебра, 10-11 класс Учебник, авторы: Алимов Шавкат Арифджанович, Колягин Юрий Михайлович, Ткачева Мария Владимировна, Федорова Надежда Евгеньевна, Шабунин Михаил Иванович, издательство Просвещение, Москва, 2014, страница 116, номер 403, Решение 7 (продолжение 2) Алгебра, 10-11 класс Учебник, авторы: Алимов Шавкат Арифджанович, Колягин Юрий Михайлович, Ткачева Мария Владимировна, Федорова Надежда Евгеньевна, Шабунин Михаил Иванович, издательство Просвещение, Москва, 2014, страница 116, номер 403, Решение 7 (продолжение 3) Алгебра, 10-11 класс Учебник, авторы: Алимов Шавкат Арифджанович, Колягин Юрий Михайлович, Ткачева Мария Владимировна, Федорова Надежда Евгеньевна, Шабунин Михаил Иванович, издательство Просвещение, Москва, 2014, страница 116, номер 403, Решение 7 (продолжение 4)
Решение 8. №403 (с. 116)

1) log2(2x5)log2(2x2)=2x \log_{2}(2^x - 5) - \log_{2}(2^x - 2) = 2 - x

Найдем область допустимых значений (ОДЗ). Аргументы логарифмов должны быть строго положительными:

{2x5>02x2>0    {2x>52x>2    {x>log25x>1 \begin{cases} 2^x - 5 > 0 \\ 2^x - 2 > 0 \end{cases} \implies \begin{cases} 2^x > 5 \\ 2^x > 2 \end{cases} \implies \begin{cases} x > \log_{2}5 \\ x > 1 \end{cases}

Так как log25>log22=1 \log_{2}5 > \log_{2}2 = 1 , то общее условие для ОДЗ: x>log25 x > \log_{2}5 .

Воспользуемся свойством разности логарифмов logablogac=logabc \log_{a}b - \log_{a}c = \log_{a}\frac{b}{c} :

log22x52x2=2x \log_{2}\frac{2^x - 5}{2^x - 2} = 2 - x

По определению логарифма logab=c    ac=b \log_{a}b = c \iff a^c = b :

2x52x2=22x=222x=42x \frac{2^x - 5}{2^x - 2} = 2^{2-x} = \frac{2^2}{2^x} = \frac{4}{2^x}

Введем замену t=2x t = 2^x . Учитывая ОДЗ, t=2x>2log25=5 t = 2^x > 2^{\log_{2}5} = 5 , то есть t>5 t > 5 .

t5t2=4t \frac{t - 5}{t - 2} = \frac{4}{t}

Решим полученное уравнение:

t(t5)=4(t2) t(t - 5) = 4(t - 2)

t25t=4t8 t^2 - 5t = 4t - 8

t29t+8=0 t^2 - 9t + 8 = 0

По теореме Виета находим корни: t1=1 t_1 = 1 , t2=8 t_2 = 8 .

Проверим корни на соответствие условию t>5 t > 5 .

t1=1 t_1 = 1 не удовлетворяет условию 1>5 1 > 5 .

t2=8 t_2 = 8 удовлетворяет условию 8>5 8 > 5 .

Вернемся к исходной переменной:

2x=8    2x=23    x=3 2^x = 8 \implies 2^x = 2^3 \implies x = 3 .

Проверим, удовлетворяет ли найденный корень ОДЗ x>log25 x > \log_{2}5 . Так как 3=log28 3 = \log_2 8 , а 8>5 8 > 5 , то log28>log25 \log_2 8 > \log_2 5 . Корень подходит.

Ответ: 3 3

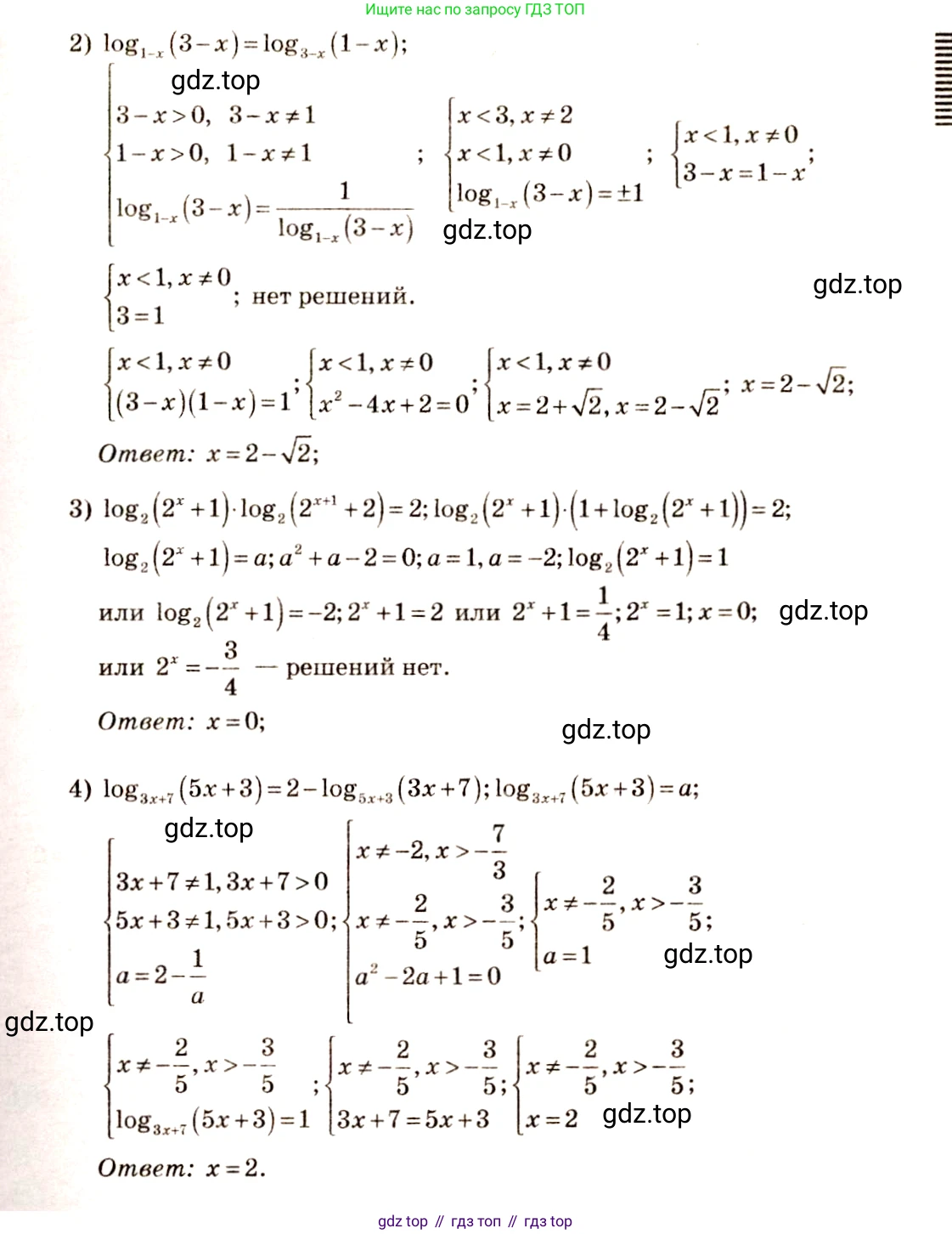
2) log1x(3x)=log3x(1x) \log_{1-x}(3 - x) = \log_{3-x}(1 - x)

Найдем ОДЗ. Основания логарифмов должны быть положительными и не равны единице, а аргументы — положительными:

{1x>01x13x>03x1    {x<1x0x<3x2 \begin{cases} 1 - x > 0 \\ 1 - x \neq 1 \\ 3 - x > 0 \\ 3 - x \neq 1 \end{cases} \implies \begin{cases} x < 1 \\ x \neq 0 \\ x < 3 \\ x \neq 2 \end{cases}

Объединяя условия, получаем ОДЗ: x(,0)(0,1) x \in (-\infty, 0) \cup (0, 1) .

Воспользуемся формулой перехода к новому основанию logab=1logba \log_a b = \frac{1}{\log_b a} :

log3x(1x)=1log1x(3x) \log_{3-x}(1 - x) = \frac{1}{\log_{1-x}(3 - x)}

Введем замену y=log1x(3x) y = \log_{1-x}(3 - x) . Уравнение примет вид:

y=1y y = \frac{1}{y}

y2=1    y=1 y^2 = 1 \implies y = 1 или y=1 y = -1 .

Рассмотрим два случая:

Случай 1: y=1 y = 1

log1x(3x)=1    3x=1x    3=1 \log_{1-x}(3 - x) = 1 \implies 3 - x = 1 - x \implies 3 = 1 . Это неверное равенство, решений нет.

Случай 2: y=1 y = -1

log1x(3x)=1    3x=(1x)1=11x \log_{1-x}(3 - x) = -1 \implies 3 - x = (1 - x)^{-1} = \frac{1}{1 - x}

(3x)(1x)=1 (3 - x)(1 - x) = 1

33xx+x2=1 3 - 3x - x + x^2 = 1

x24x+2=0 x^2 - 4x + 2 = 0

Решим квадратное уравнение через дискриминант:

D=(4)2412=168=8 D = (-4)^2 - 4 \cdot 1 \cdot 2 = 16 - 8 = 8

x1,2=4±82=4±222=2±2 x_{1,2} = \frac{4 \pm \sqrt{8}}{2} = \frac{4 \pm 2\sqrt{2}}{2} = 2 \pm \sqrt{2}

Получаем два корня: x1=2+2 x_1 = 2 + \sqrt{2} и x2=22 x_2 = 2 - \sqrt{2} .

Проверим корни на соответствие ОДЗ x(,0)(0,1) x \in (-\infty, 0) \cup (0, 1) .

x1=2+22+1.41=3.41 x_1 = 2 + \sqrt{2} \approx 2 + 1.41 = 3.41 . Этот корень не входит в ОДЗ.

x2=2221.41=0.59 x_2 = 2 - \sqrt{2} \approx 2 - 1.41 = 0.59 . Этот корень входит в интервал (0,1) (0, 1) и, следовательно, удовлетворяет ОДЗ.

Ответ: 22 2 - \sqrt{2}

3) log2(2x+1)log2(2x+1+2)=2 \log_{2}(2^x + 1) \cdot \log_{2}(2^{x+1} + 2) = 2

Найдем ОДЗ. Аргументы логарифмов должны быть строго положительными:

2x+1>0 2^x + 1 > 0 - это верно для любого x x , так как 2x>0 2^x > 0 .

2x+1+2>0 2^{x+1} + 2 > 0 - это также верно для любого x x , так как 2x+1>0 2^{x+1} > 0 .

Следовательно, ОДЗ: x(,+) x \in (-\infty, +\infty) .

Преобразуем второй логарифм:

log2(2x+1+2)=log2(22x+2)=log2(2(2x+1)) \log_{2}(2^{x+1} + 2) = \log_{2}(2 \cdot 2^x + 2) = \log_{2}(2(2^x + 1))

Используя свойство логарифма произведения loga(bc)=logab+logac \log_a(bc) = \log_a b + \log_a c , получим:

log2(2(2x+1))=log22+log2(2x+1)=1+log2(2x+1) \log_{2}(2(2^x + 1)) = \log_{2}2 + \log_{2}(2^x + 1) = 1 + \log_{2}(2^x + 1)

Подставим это выражение в исходное уравнение:

log2(2x+1)(1+log2(2x+1))=2 \log_{2}(2^x + 1) \cdot (1 + \log_{2}(2^x + 1)) = 2

Введем замену y=log2(2x+1) y = \log_{2}(2^x + 1) .

y(1+y)=2 y(1 + y) = 2

y2+y2=0 y^2 + y - 2 = 0

Решим квадратное уравнение. По теореме Виета корни: y1=1 y_1 = 1 , y2=2 y_2 = -2 .

Рассмотрим два случая:

Случай 1: y=1 y = 1

log2(2x+1)=1    2x+1=21    2x=1    2x=20    x=0 \log_{2}(2^x + 1) = 1 \implies 2^x + 1 = 2^1 \implies 2^x = 1 \implies 2^x = 2^0 \implies x = 0 .

Случай 2: y=2 y = -2

log2(2x+1)=2    2x+1=22    2x+1=14    2x=34 \log_{2}(2^x + 1) = -2 \implies 2^x + 1 = 2^{-2} \implies 2^x + 1 = \frac{1}{4} \implies 2^x = -\frac{3}{4} .

Это уравнение не имеет решений, так как показательная функция 2x 2^x всегда положительна.

Единственный корень x=0 x = 0 удовлетворяет ОДЗ.

Ответ: 0 0

4) log3x+7(5x+3)=2log5x+3(3x+7) \log_{3x+7}(5x + 3) = 2 - \log_{5x+3}(3x + 7)

Найдем ОДЗ. Основания логарифмов должны быть положительными и не равны единице, а аргументы — положительными:

{3x+7>03x+715x+3>05x+31    {x>7/3x2x>3/5x2/5 \begin{cases} 3x + 7 > 0 \\ 3x + 7 \neq 1 \\ 5x + 3 > 0 \\ 5x + 3 \neq 1 \end{cases} \implies \begin{cases} x > -7/3 \\ x \neq -2 \\ x > -3/5 \\ x \neq -2/5 \end{cases}

Так как 3/5>7/3 -3/5 > -7/3 (0.6>2.33... -0.6 > -2.33... ), то общее условие x>3/5 x > -3/5 . Также x2/5 x \neq -2/5 .

ОДЗ: x(3/5,2/5)(2/5,+) x \in (-3/5, -2/5) \cup (-2/5, +\infty) .

Воспользуемся формулой перехода к новому основанию logab=1logba \log_a b = \frac{1}{\log_b a} :

log5x+3(3x+7)=1log3x+7(5x+3) \log_{5x+3}(3x + 7) = \frac{1}{\log_{3x+7}(5x + 3)}

Введем замену y=log3x+7(5x+3) y = \log_{3x+7}(5x + 3) . Уравнение примет вид:

y=21y y = 2 - \frac{1}{y}

Умножим обе части на y y (при этом y0 y \neq 0 , что соответствует 5x+31 5x+3 \neq 1 или x2/5 x \neq -2/5 , которое уже исключено из ОДЗ):

y2=2y1 y^2 = 2y - 1

y22y+1=0 y^2 - 2y + 1 = 0

(y1)2=0 (y - 1)^2 = 0

Отсюда y=1 y = 1 .

Вернемся к исходной переменной:

log3x+7(5x+3)=1 \log_{3x+7}(5x + 3) = 1

По определению логарифма:

5x+3=3x+7 5x + 3 = 3x + 7

2x=4 2x = 4

x=2 x = 2

Проверим корень на соответствие ОДЗ x(3/5,2/5)(2/5,+) x \in (-3/5, -2/5) \cup (-2/5, +\infty) .

x=2 x=2 входит в интервал (2/5,+) (-2/5, +\infty) , следовательно, является решением.

Ответ: 2 2

Помогло решение? Оставьте отзыв в комментариях ниже.

Мы подготовили для вас ответ c подробным объяснением домашего задания по алгебре за 10-11 класс, для упражнения номер 403 расположенного на странице 116 к учебнику 2014 года издания для учащихся школ и гимназий.

Теперь на нашем сайте ГДЗ.ТОП вы всегда легко и бесплатно найдёте условие с правильным ответом на вопрос «Как решить ДЗ» и «Как сделать» задание по алгебре к упражнению №403 (с. 116), авторов: Алимов (Шавкат Арифджанович), Колягин (Юрий Михайлович), Ткачева (Мария Владимировна), Федорова (Надежда Евгеньевна), Шабунин (Михаил Иванович), ФГОС (старый) базовый и углублённый уровень обучения учебного пособия издательства Просвещение.

Присоединяйтесь к Телеграм-группе @top_gdz

Присоединиться