Номер 461, страница 138 - гдз по алгебре 10-11 класс учебник Алимов, Колягин

Алгебра, 10-11 класс Учебник, авторы: Алимов Шавкат Арифджанович, Колягин Юрий Михайлович, Ткачева Мария Владимировна, Федорова Надежда Евгеньевна, Шабунин Михаил Иванович, издательство Просвещение, Москва, 2014

Авторы: Алимов Ш. А., Колягин Ю. М., Ткачева М. В., Федорова Н. Е., Шабунин М. И.

Тип: Учебник

Издательство: Просвещение

Год издания: 2014 - 2026

Уровень обучения: базовый и углублённый

Цвет обложки: синий, фиолетовый

ISBN: 978-5-09-112136-0

Допущено Министерством просвещения Российской Федерации

Математика: алгебра и начала математического анализа, геометрия

Глава 5. Тригонометрические формулы. Параграф 25. Зависимость между синусом, косинусом и тангенсом одного и того же угла - номер 461, страница 138.

№461 (с. 138)
Условие. №461 (с. 138)
скриншот условия
Алгебра, 10-11 класс Учебник, авторы: Алимов Шавкат Арифджанович, Колягин Юрий Михайлович, Ткачева Мария Владимировна, Федорова Надежда Евгеньевна, Шабунин Михаил Иванович, издательство Просвещение, Москва, 2014, страница 138, номер 461, Условие

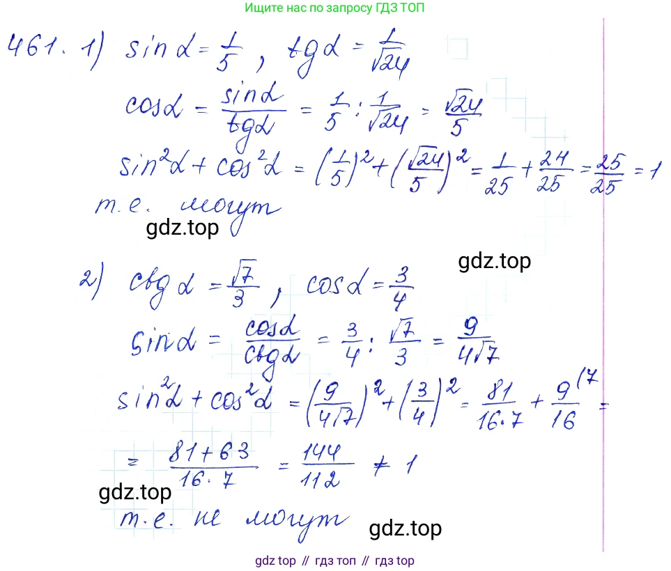
461 Могут ли одновременно выполняться равенства:

1) $ \sin \alpha = \frac{1}{5} $ и $ \operatorname{tg} \alpha = \frac{1}{\sqrt{24}} $;

2) $ \operatorname{ctg} \alpha = \frac{\sqrt{7}}{3} $ и $ \cos \alpha = \frac{3}{4} $?

Решение 1. №461 (с. 138)
Алгебра, 10-11 класс Учебник, авторы: Алимов Шавкат Арифджанович, Колягин Юрий Михайлович, Ткачева Мария Владимировна, Федорова Надежда Евгеньевна, Шабунин Михаил Иванович, издательство Просвещение, Москва, 2014, страница 138, номер 461, Решение 1
Алгебра, 10-11 класс Учебник, авторы: Алимов Шавкат Арифджанович, Колягин Юрий Михайлович, Ткачева Мария Владимировна, Федорова Надежда Евгеньевна, Шабунин Михаил Иванович, издательство Просвещение, Москва, 2014, страница 138, номер 461, Решение 1 (продолжение 2)
Решение 2. №461 (с. 138)
Алгебра, 10-11 класс Учебник, авторы: Алимов Шавкат Арифджанович, Колягин Юрий Михайлович, Ткачева Мария Владимировна, Федорова Надежда Евгеньевна, Шабунин Михаил Иванович, издательство Просвещение, Москва, 2014, страница 138, номер 461, Решение 2
Решение 3. №461 (с. 138)
Алгебра, 10-11 класс Учебник, авторы: Алимов Шавкат Арифджанович, Колягин Юрий Михайлович, Ткачева Мария Владимировна, Федорова Надежда Евгеньевна, Шабунин Михаил Иванович, издательство Просвещение, Москва, 2014, страница 138, номер 461, Решение 3
Решение 4. №461 (с. 138)
Алгебра, 10-11 класс Учебник, авторы: Алимов Шавкат Арифджанович, Колягин Юрий Михайлович, Ткачева Мария Владимировна, Федорова Надежда Евгеньевна, Шабунин Михаил Иванович, издательство Просвещение, Москва, 2014, страница 138, номер 461, Решение 4
Решение 5. №461 (с. 138)
Алгебра, 10-11 класс Учебник, авторы: Алимов Шавкат Арифджанович, Колягин Юрий Михайлович, Ткачева Мария Владимировна, Федорова Надежда Евгеньевна, Шабунин Михаил Иванович, издательство Просвещение, Москва, 2014, страница 138, номер 461, Решение 5
Решение 6. №461 (с. 138)
Алгебра, 10-11 класс Учебник, авторы: Алимов Шавкат Арифджанович, Колягин Юрий Михайлович, Ткачева Мария Владимировна, Федорова Надежда Евгеньевна, Шабунин Михаил Иванович, издательство Просвещение, Москва, 2014, страница 138, номер 461, Решение 6
Решение 7. №461 (с. 138)
Алгебра, 10-11 класс Учебник, авторы: Алимов Шавкат Арифджанович, Колягин Юрий Михайлович, Ткачева Мария Владимировна, Федорова Надежда Евгеньевна, Шабунин Михаил Иванович, издательство Просвещение, Москва, 2014, страница 138, номер 461, Решение 7
Решение 8. №461 (с. 138)

1) Чтобы проверить, могут ли равенства $ \sin \alpha = \frac{1}{5} $ и $ \tg \alpha = \frac{1}{\sqrt{24}} $ выполняться одновременно, можно использовать тригонометрические тождества. Один из способов — проверить тождество $ 1 + \text{ctg}^2 \alpha = \frac{1}{\sin^2 \alpha} $.
Сначала найдем котангенс из известного значения тангенса. По определению $ \text{ctg} \alpha = \frac{1}{\tg \alpha} $.
Подставим данное значение $ \tg \alpha $:
$ \text{ctg} \alpha = \frac{1}{1/\sqrt{24}} = \sqrt{24} $.
Теперь подставим известные значения $ \sin \alpha $ и вычисленное значение $ \text{ctg} \alpha $ в тождество $ 1 + \text{ctg}^2 \alpha = \frac{1}{\sin^2 \alpha} $ и проверим, является ли оно верным.
Вычислим левую часть равенства:
$ 1 + \text{ctg}^2 \alpha = 1 + (\sqrt{24})^2 = 1 + 24 = 25 $.
Вычислим правую часть равенства:
$ \frac{1}{\sin^2 \alpha} = \frac{1}{(1/5)^2} = \frac{1}{1/25} = 25 $.
Поскольку левая часть равна правой ($25 = 25$), тождество выполняется. Это означает, что существует такой угол $ \alpha $, для которого данные равенства выполняются одновременно.
Ответ: да, могут.

2) Чтобы проверить, могут ли равенства $ \text{ctg} \alpha = \frac{\sqrt{7}}{3} $ и $ \cos \alpha = \frac{3}{4} $ выполняться одновременно, воспользуемся основным тригонометрическим тождеством $ \sin^2 \alpha + \cos^2 \alpha = 1 $.
Из определения котангенса $ \text{ctg} \alpha = \frac{\cos \alpha}{\sin \alpha} $ мы можем выразить $ \sin \alpha $:
$ \sin \alpha = \frac{\cos \alpha}{\text{ctg} \alpha} $.
Подставим известные значения $ \cos \alpha $ и $ \text{ctg} \alpha $:
$ \sin \alpha = \frac{3/4}{\sqrt{7}/3} = \frac{3}{4} \cdot \frac{3}{\sqrt{7}} = \frac{9}{4\sqrt{7}} $.
Теперь подставим найденное значение $ \sin \alpha $ и данное значение $ \cos \alpha $ в основное тригонометрическое тождество $ \sin^2 \alpha + \cos^2 \alpha = 1 $.
$ \left(\frac{9}{4\sqrt{7}}\right)^2 + \left(\frac{3}{4}\right)^2 = \frac{9^2}{(4\sqrt{7})^2} + \frac{3^2}{4^2} = \frac{81}{16 \cdot 7} + \frac{9}{16} = \frac{81}{112} + \frac{9}{16} $.
Приведем дроби к общему знаменателю 112:
$ \frac{81}{112} + \frac{9 \cdot 7}{16 \cdot 7} = \frac{81}{112} + \frac{63}{112} = \frac{81+63}{112} = \frac{144}{112} $.
Полученное значение $ \frac{144}{112} $ не равно 1. Так как основное тригонометрическое тождество не выполняется, данные равенства не могут быть верными одновременно.
Ответ: нет, не могут.

Помогло решение? Оставьте отзыв в комментариях ниже.

Присоединяйтесь к Телеграм-группе @top_gdz

Присоединиться

Мы подготовили для вас ответ c подробным объяснением домашего задания по алгебре за 10-11 класс, для упражнения номер 461 расположенного на странице 138 к учебнику 2014 года издания для учащихся школ и гимназий.

Теперь на нашем сайте ГДЗ.ТОП вы всегда легко и бесплатно найдёте условие с правильным ответом на вопрос «Как решить ДЗ» и «Как сделать» задание по алгебре к упражнению №461 (с. 138), авторов: Алимов (Шавкат Арифджанович), Колягин (Юрий Михайлович), Ткачева (Мария Владимировна), Федорова (Надежда Евгеньевна), Шабунин (Михаил Иванович), ФГОС (старый) базовый и углублённый уровень обучения учебного пособия издательства Просвещение.