Номер 458, страница 138 - гдз по алгебре 10-11 класс учебник Алимов, Колягин

Алгебра, 10-11 класс Учебник, авторы: Алимов Шавкат Арифджанович, Колягин Юрий Михайлович, Ткачева Мария Владимировна, Федорова Надежда Евгеньевна, Шабунин Михаил Иванович, издательство Просвещение, Москва, 2014

Авторы: Алимов Ш. А., Колягин Ю. М., Ткачева М. В., Федорова Н. Е., Шабунин М. И.

Тип: Учебник

Издательство: Просвещение

Год издания: 2014 - 2026

Уровень обучения: базовый и углублённый

Цвет обложки: синий, фиолетовый

ISBN: 978-5-09-112136-0

Допущено Министерством просвещения Российской Федерации

Математика: алгебра и начала математического анализа, геометрия

Глава 5. Тригонометрические формулы. Параграф 25. Зависимость между синусом, косинусом и тангенсом одного и того же угла - номер 458, страница 138.

№458 (с. 138)
Условие. №458 (с. 138)
скриншот условия
Алгебра, 10-11 класс Учебник, авторы: Алимов Шавкат Арифджанович, Колягин Юрий Михайлович, Ткачева Мария Владимировна, Федорова Надежда Евгеньевна, Шабунин Михаил Иванович, издательство Просвещение, Москва, 2014, страница 138, номер 458, Условие

458 Вычислить:

1) sin α, tg α и ctg α, если $ \cos \alpha = -\frac{3}{5} $ и $ \frac{\pi}{2} < \alpha < \pi $;

2) cos α, tg α и ctg α, если $ \sin \alpha = -\frac{2}{5} $ и $ \pi < \alpha < \frac{3\pi}{2} $.

Решение 1. №458 (с. 138)
Алгебра, 10-11 класс Учебник, авторы: Алимов Шавкат Арифджанович, Колягин Юрий Михайлович, Ткачева Мария Владимировна, Федорова Надежда Евгеньевна, Шабунин Михаил Иванович, издательство Просвещение, Москва, 2014, страница 138, номер 458, Решение 1
Алгебра, 10-11 класс Учебник, авторы: Алимов Шавкат Арифджанович, Колягин Юрий Михайлович, Ткачева Мария Владимировна, Федорова Надежда Евгеньевна, Шабунин Михаил Иванович, издательство Просвещение, Москва, 2014, страница 138, номер 458, Решение 1 (продолжение 2)
Решение 2. №458 (с. 138)
Алгебра, 10-11 класс Учебник, авторы: Алимов Шавкат Арифджанович, Колягин Юрий Михайлович, Ткачева Мария Владимировна, Федорова Надежда Евгеньевна, Шабунин Михаил Иванович, издательство Просвещение, Москва, 2014, страница 138, номер 458, Решение 2
Решение 3. №458 (с. 138)
Алгебра, 10-11 класс Учебник, авторы: Алимов Шавкат Арифджанович, Колягин Юрий Михайлович, Ткачева Мария Владимировна, Федорова Надежда Евгеньевна, Шабунин Михаил Иванович, издательство Просвещение, Москва, 2014, страница 138, номер 458, Решение 3
Решение 4. №458 (с. 138)
Алгебра, 10-11 класс Учебник, авторы: Алимов Шавкат Арифджанович, Колягин Юрий Михайлович, Ткачева Мария Владимировна, Федорова Надежда Евгеньевна, Шабунин Михаил Иванович, издательство Просвещение, Москва, 2014, страница 138, номер 458, Решение 4
Решение 5. №458 (с. 138)
Алгебра, 10-11 класс Учебник, авторы: Алимов Шавкат Арифджанович, Колягин Юрий Михайлович, Ткачева Мария Владимировна, Федорова Надежда Евгеньевна, Шабунин Михаил Иванович, издательство Просвещение, Москва, 2014, страница 138, номер 458, Решение 5
Решение 6. №458 (с. 138)
Алгебра, 10-11 класс Учебник, авторы: Алимов Шавкат Арифджанович, Колягин Юрий Михайлович, Ткачева Мария Владимировна, Федорова Надежда Евгеньевна, Шабунин Михаил Иванович, издательство Просвещение, Москва, 2014, страница 138, номер 458, Решение 6
Решение 7. №458 (с. 138)
Алгебра, 10-11 класс Учебник, авторы: Алимов Шавкат Арифджанович, Колягин Юрий Михайлович, Ткачева Мария Владимировна, Федорова Надежда Евгеньевна, Шабунин Михаил Иванович, издательство Просвещение, Москва, 2014, страница 138, номер 458, Решение 7
Решение 8. №458 (с. 138)

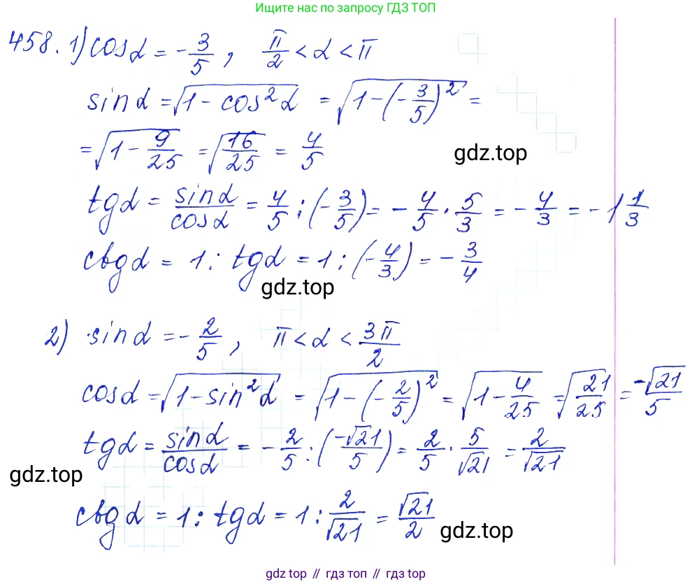
1)

Дано: $cos α = -\frac{3}{5}$ и $\frac{\pi}{2} < α < \pi$.

Условие $\frac{\pi}{2} < α < \pi$ означает, что угол $α$ находится во второй координатной четверти. В этой четверти синус положителен ($sin α > 0$), а тангенс и котангенс отрицательны ($tg α < 0$, $ctg α < 0$).

Для нахождения $sin α$ воспользуемся основным тригонометрическим тождеством: $sin^2 α + cos^2 α = 1$.

$sin^2 α = 1 - cos^2 α$

$sin^2 α = 1 - (-\frac{3}{5})^2 = 1 - \frac{9}{25} = \frac{25-9}{25} = \frac{16}{25}$

Отсюда $sin α = \pm\sqrt{\frac{16}{25}} = \pm\frac{4}{5}$.

Так как угол $α$ находится во второй четверти, $sin α$ должен быть положительным, следовательно, $sin α = \frac{4}{5}$.

Теперь найдем $tg α$ и $ctg α$.

$tg α = \frac{sin α}{cos α} = \frac{4/5}{-3/5} = -\frac{4}{3}$.

$ctg α = \frac{cos α}{sin α} = \frac{-3/5}{4/5} = -\frac{3}{4}$. (Или $ctg α = \frac{1}{tg α} = \frac{1}{-4/3} = -\frac{3}{4}$).

Ответ: $sin α = \frac{4}{5}$, $tg α = -\frac{4}{3}$, $ctg α = -\frac{3}{4}$.

2)

Дано: $sin α = -\frac{2}{5}$ и $\pi < α < \frac{3\pi}{2}$.

Условие $\pi < α < \frac{3\pi}{2}$ означает, что угол $α$ находится в третьей координатной четверти. В этой четверти косинус отрицателен ($cos α < 0$), а тангенс и котангенс положительны ($tg α > 0$, $ctg α > 0$).

Для нахождения $cos α$ воспользуемся основным тригонометрическим тождеством: $sin^2 α + cos^2 α = 1$.

$cos^2 α = 1 - sin^2 α$

$cos^2 α = 1 - (-\frac{2}{5})^2 = 1 - \frac{4}{25} = \frac{25-4}{25} = \frac{21}{25}$

Отсюда $cos α = \pm\sqrt{\frac{21}{25}} = \pm\frac{\sqrt{21}}{5}$.

Так как угол $α$ находится в третьей четверти, $cos α$ должен быть отрицательным, следовательно, $cos α = -\frac{\sqrt{21}}{5}$.

Теперь найдем $tg α$ и $ctg α$.

$tg α = \frac{sin α}{cos α} = \frac{-2/5}{-\sqrt{21}/5} = \frac{2}{\sqrt{21}}$. Для избавления от иррациональности в знаменателе, умножим числитель и знаменатель на $\sqrt{21}$: $tg α = \frac{2\sqrt{21}}{21}$.

$ctg α = \frac{1}{tg α} = \frac{1}{2/\sqrt{21}} = \frac{\sqrt{21}}{2}$.

Ответ: $cos α = -\frac{\sqrt{21}}{5}$, $tg α = \frac{2\sqrt{21}}{21}$, $ctg α = \frac{\sqrt{21}}{2}$.

Помогло решение? Оставьте отзыв в комментариях ниже.

Присоединяйтесь к Телеграм-группе @top_gdz

Присоединиться

Мы подготовили для вас ответ c подробным объяснением домашего задания по алгебре за 10-11 класс, для упражнения номер 458 расположенного на странице 138 к учебнику 2014 года издания для учащихся школ и гимназий.

Теперь на нашем сайте ГДЗ.ТОП вы всегда легко и бесплатно найдёте условие с правильным ответом на вопрос «Как решить ДЗ» и «Как сделать» задание по алгебре к упражнению №458 (с. 138), авторов: Алимов (Шавкат Арифджанович), Колягин (Юрий Михайлович), Ткачева (Мария Владимировна), Федорова (Надежда Евгеньевна), Шабунин (Михаил Иванович), ФГОС (старый) базовый и углублённый уровень обучения учебного пособия издательства Просвещение.