Номер 547, страница 165 - гдз по алгебре 10-11 класс учебник Алимов, Колягин

Алгебра, 10-11 класс Учебник, авторы: Алимов Шавкат Арифджанович, Колягин Юрий Михайлович, Ткачева Мария Владимировна, Федорова Надежда Евгеньевна, Шабунин Михаил Иванович, издательство Просвещение, Москва, 2014

Авторы: Алимов Ш. А., Колягин Ю. М., Ткачева М. В., Федорова Н. Е., Шабунин М. И.

Тип: Учебник

Издательство: Просвещение

Год издания: 2014 - 2026

Уровень обучения: базовый и углублённый

Цвет обложки: синий, фиолетовый

ISBN: 978-5-09-112136-0

Допущено Министерством просвещения Российской Федерации

Математика: алгебра и начала математического анализа, геометрия

Глава 5. Тригонометрические формулы. Упражнения к главе 5 - номер 547, страница 165.

№547 (с. 165)
Условие. №547 (с. 165)
скриншот условия
Алгебра, 10-11 класс Учебник, авторы: Алимов Шавкат Арифджанович, Колягин Юрий Михайлович, Ткачева Мария Владимировна, Федорова Надежда Евгеньевна, Шабунин Михаил Иванович, издательство Просвещение, Москва, 2014, страница 165, номер 547, Условие

547 Упростить выражение:

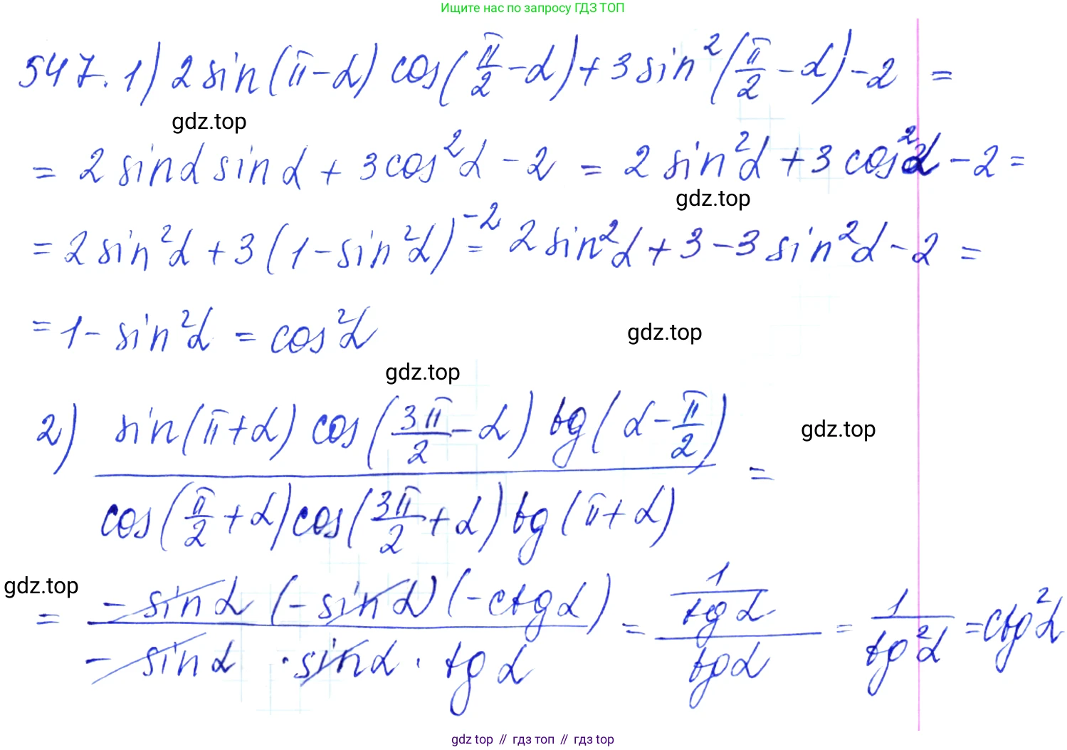
1) $2 \sin(\pi - \alpha) \cos\left(\frac{\pi}{2} - \alpha\right) + 3 \sin^2\left(\frac{\pi}{2} - \alpha\right) - 2;$

2) $\frac{\sin(\pi + \alpha) \cos\left(\frac{3\pi}{2} - \alpha\right) \operatorname{tg}\left(\alpha - \frac{\pi}{2}\right)}{\cos\left(\frac{\pi}{2} + \alpha\right) \cos\left(\frac{3\pi}{2} + \alpha\right) \operatorname{tg}(\pi + \alpha)}$

Решение 1. №547 (с. 165)
Алгебра, 10-11 класс Учебник, авторы: Алимов Шавкат Арифджанович, Колягин Юрий Михайлович, Ткачева Мария Владимировна, Федорова Надежда Евгеньевна, Шабунин Михаил Иванович, издательство Просвещение, Москва, 2014, страница 165, номер 547, Решение 1
Алгебра, 10-11 класс Учебник, авторы: Алимов Шавкат Арифджанович, Колягин Юрий Михайлович, Ткачева Мария Владимировна, Федорова Надежда Евгеньевна, Шабунин Михаил Иванович, издательство Просвещение, Москва, 2014, страница 165, номер 547, Решение 1 (продолжение 2)
Решение 2. №547 (с. 165)
Алгебра, 10-11 класс Учебник, авторы: Алимов Шавкат Арифджанович, Колягин Юрий Михайлович, Ткачева Мария Владимировна, Федорова Надежда Евгеньевна, Шабунин Михаил Иванович, издательство Просвещение, Москва, 2014, страница 165, номер 547, Решение 2
Решение 3. №547 (с. 165)
Алгебра, 10-11 класс Учебник, авторы: Алимов Шавкат Арифджанович, Колягин Юрий Михайлович, Ткачева Мария Владимировна, Федорова Надежда Евгеньевна, Шабунин Михаил Иванович, издательство Просвещение, Москва, 2014, страница 165, номер 547, Решение 3
Решение 4. №547 (с. 165)
Алгебра, 10-11 класс Учебник, авторы: Алимов Шавкат Арифджанович, Колягин Юрий Михайлович, Ткачева Мария Владимировна, Федорова Надежда Евгеньевна, Шабунин Михаил Иванович, издательство Просвещение, Москва, 2014, страница 165, номер 547, Решение 4
Решение 5. №547 (с. 165)
Алгебра, 10-11 класс Учебник, авторы: Алимов Шавкат Арифджанович, Колягин Юрий Михайлович, Ткачева Мария Владимировна, Федорова Надежда Евгеньевна, Шабунин Михаил Иванович, издательство Просвещение, Москва, 2014, страница 165, номер 547, Решение 5
Решение 6. №547 (с. 165)
Алгебра, 10-11 класс Учебник, авторы: Алимов Шавкат Арифджанович, Колягин Юрий Михайлович, Ткачева Мария Владимировна, Федорова Надежда Евгеньевна, Шабунин Михаил Иванович, издательство Просвещение, Москва, 2014, страница 165, номер 547, Решение 6
Решение 7. №547 (с. 165)
Алгебра, 10-11 класс Учебник, авторы: Алимов Шавкат Арифджанович, Колягин Юрий Михайлович, Ткачева Мария Владимировна, Федорова Надежда Евгеньевна, Шабунин Михаил Иванович, издательство Просвещение, Москва, 2014, страница 165, номер 547, Решение 7
Решение 8. №547 (с. 165)

1) Для упрощения выражения $2 \sin(\pi - \alpha) \cos(\frac{\pi}{2} - \alpha) + 3 \sin^2(\frac{\pi}{2} - \alpha) - 2$ воспользуемся формулами приведения.

Применим следующие формулы:

• $\sin(\pi - \alpha) = \sin \alpha$ (угол во II четверти, синус положителен, функция не меняется).

• $\cos(\frac{\pi}{2} - \alpha) = \sin \alpha$ (угол в I четверти, косинус положителен, функция меняется на кофункцию).

• $\sin(\frac{\pi}{2} - \alpha) = \cos \alpha$ (угол в I четверти, синус положителен, функция меняется на кофункцию).

Подставим преобразованные выражения в исходное:

$2 (\sin \alpha) (\sin \alpha) + 3 (\cos \alpha)^2 - 2 = 2 \sin^2 \alpha + 3 \cos^2 \alpha - 2$

Сгруппируем слагаемые и применим основное тригонометрическое тождество $\sin^2 \alpha + \cos^2 \alpha = 1$:

$2 \sin^2 \alpha + 3 \cos^2 \alpha - 2 = 2 \sin^2 \alpha + 2 \cos^2 \alpha + \cos^2 \alpha - 2 = 2(\sin^2 \alpha + \cos^2 \alpha) + \cos^2 \alpha - 2 = 2 \cdot 1 + \cos^2 \alpha - 2 = \cos^2 \alpha$.

Ответ: $\cos^2 \alpha$

2) Упростим выражение $\frac{\sin(\pi + \alpha) \cos(\frac{3\pi}{2} - \alpha) \text{tg}(\alpha - \frac{\pi}{2})}{\cos(\frac{\pi}{2} + \alpha) \cos(\frac{3\pi}{2} + \alpha) \text{tg}(\pi + \alpha)}$.

Применим формулы приведения для каждого множителя отдельно.

Упростим числитель:

• $\sin(\pi + \alpha) = -\sin \alpha$ (III четверть, синус отрицателен).

• $\cos(\frac{3\pi}{2} - \alpha) = -\sin \alpha$ (III четверть, косинус отрицателен, функция меняется).

• $\text{tg}(\alpha - \frac{\pi}{2}) = \text{tg}(-(\frac{\pi}{2} - \alpha)) = -\text{tg}(\frac{\pi}{2} - \alpha) = -\text{ctg} \alpha$.

Тогда числитель равен: $(-\sin \alpha) \cdot (-\sin \alpha) \cdot (-\text{ctg} \alpha) = -\sin^2 \alpha \cdot \text{ctg} \alpha$.

Упростим знаменатель:

• $\cos(\frac{\pi}{2} + \alpha) = -\sin \alpha$ (II четверть, косинус отрицателен, функция меняется).

• $\cos(\frac{3\pi}{2} + \alpha) = \sin \alpha$ (IV четверть, косинус положителен, функция меняется).

• $\text{tg}(\pi + \alpha) = \text{tg} \alpha$ (III четверть, тангенс положителен).

Тогда знаменатель равен: $(-\sin \alpha) \cdot (\sin \alpha) \cdot (\text{tg} \alpha) = -\sin^2 \alpha \cdot \text{tg} \alpha$.

Теперь подставим упрощенные выражения в дробь:

$\frac{-\sin^2 \alpha \cdot \text{ctg} \alpha}{-\sin^2 \alpha \cdot \text{tg} \alpha}$

Сократим дробь на общий множитель $-\sin^2 \alpha$ (при условии, что $\sin \alpha \neq 0$, что необходимо для существования тангенса и котангенса в выражении):

$\frac{\text{ctg} \alpha}{\text{tg} \alpha} = \frac{\text{ctg} \alpha}{\frac{1}{\text{ctg} \alpha}} = \text{ctg} \alpha \cdot \text{ctg} \alpha = \text{ctg}^2 \alpha$.

Ответ: $\text{ctg}^2 \alpha$

Помогло решение? Оставьте отзыв в комментариях ниже.

Присоединяйтесь к Телеграм-группе @top_gdz

Присоединиться

Мы подготовили для вас ответ c подробным объяснением домашего задания по алгебре за 10-11 класс, для упражнения номер 547 расположенного на странице 165 к учебнику 2014 года издания для учащихся школ и гимназий.

Теперь на нашем сайте ГДЗ.ТОП вы всегда легко и бесплатно найдёте условие с правильным ответом на вопрос «Как решить ДЗ» и «Как сделать» задание по алгебре к упражнению №547 (с. 165), авторов: Алимов (Шавкат Арифджанович), Колягин (Юрий Михайлович), Ткачева (Мария Владимировна), Федорова (Надежда Евгеньевна), Шабунин (Михаил Иванович), ФГОС (старый) базовый и углублённый уровень обучения учебного пособия издательства Просвещение.