Номер 543, страница 164 - гдз по алгебре 10-11 класс учебник Алимов, Колягин

Алгебра, 10-11 класс Учебник, авторы: Алимов Шавкат Арифджанович, Колягин Юрий Михайлович, Ткачева Мария Владимировна, Федорова Надежда Евгеньевна, Шабунин Михаил Иванович, издательство Просвещение, Москва, 2014

Авторы: Алимов Ш. А., Колягин Ю. М., Ткачева М. В., Федорова Н. Е., Шабунин М. И.

Тип: Учебник

Издательство: Просвещение

Год издания: 2014 - 2025

Уровень обучения: базовый и углублённый

Цвет обложки: синий, фиолетовый

ISBN: 978-5-09-112136-0

Допущено Министерством просвещения Российской Федерации

Математика: алгебра и начала математического анализа, геометрия

Популярные ГДЗ в 10 классе

Глава 5. Тригонометрические формулы. Параграф 32. Сумма и разность синусов. Сумма и разность косинусов - номер 543, страница 164.

№543 (с. 164)
Условие. №543 (с. 164)
скриншот условия
Алгебра, 10-11 класс Учебник, авторы: Алимов Шавкат Арифджанович, Колягин Юрий Михайлович, Ткачева Мария Владимировна, Федорова Надежда Евгеньевна, Шабунин Михаил Иванович, издательство Просвещение, Москва, 2014, страница 164, номер 543, Условие

543 Записать в виде произведения:

1) $ \cos 22^\circ + \cos 24^\circ + \cos 26^\circ + \cos 28^\circ $

2) $ \cos \frac{\pi}{12} + \cos \frac{\pi}{4} + \cos \frac{5\pi}{6} $

Решение 1. №543 (с. 164)
Алгебра, 10-11 класс Учебник, авторы: Алимов Шавкат Арифджанович, Колягин Юрий Михайлович, Ткачева Мария Владимировна, Федорова Надежда Евгеньевна, Шабунин Михаил Иванович, издательство Просвещение, Москва, 2014, страница 164, номер 543, Решение 1
Алгебра, 10-11 класс Учебник, авторы: Алимов Шавкат Арифджанович, Колягин Юрий Михайлович, Ткачева Мария Владимировна, Федорова Надежда Евгеньевна, Шабунин Михаил Иванович, издательство Просвещение, Москва, 2014, страница 164, номер 543, Решение 1 (продолжение 2)
Решение 2. №543 (с. 164)
Алгебра, 10-11 класс Учебник, авторы: Алимов Шавкат Арифджанович, Колягин Юрий Михайлович, Ткачева Мария Владимировна, Федорова Надежда Евгеньевна, Шабунин Михаил Иванович, издательство Просвещение, Москва, 2014, страница 164, номер 543, Решение 2
Решение 3. №543 (с. 164)
Алгебра, 10-11 класс Учебник, авторы: Алимов Шавкат Арифджанович, Колягин Юрий Михайлович, Ткачева Мария Владимировна, Федорова Надежда Евгеньевна, Шабунин Михаил Иванович, издательство Просвещение, Москва, 2014, страница 164, номер 543, Решение 3
Решение 4. №543 (с. 164)
Алгебра, 10-11 класс Учебник, авторы: Алимов Шавкат Арифджанович, Колягин Юрий Михайлович, Ткачева Мария Владимировна, Федорова Надежда Евгеньевна, Шабунин Михаил Иванович, издательство Просвещение, Москва, 2014, страница 164, номер 543, Решение 4
Решение 5. №543 (с. 164)
Алгебра, 10-11 класс Учебник, авторы: Алимов Шавкат Арифджанович, Колягин Юрий Михайлович, Ткачева Мария Владимировна, Федорова Надежда Евгеньевна, Шабунин Михаил Иванович, издательство Просвещение, Москва, 2014, страница 164, номер 543, Решение 5
Решение 6. №543 (с. 164)
Алгебра, 10-11 класс Учебник, авторы: Алимов Шавкат Арифджанович, Колягин Юрий Михайлович, Ткачева Мария Владимировна, Федорова Надежда Евгеньевна, Шабунин Михаил Иванович, издательство Просвещение, Москва, 2014, страница 164, номер 543, Решение 6
Решение 7. №543 (с. 164)
Алгебра, 10-11 класс Учебник, авторы: Алимов Шавкат Арифджанович, Колягин Юрий Михайлович, Ткачева Мария Владимировна, Федорова Надежда Евгеньевна, Шабунин Михаил Иванович, издательство Просвещение, Москва, 2014, страница 164, номер 543, Решение 7
Решение 8. №543 (с. 164)

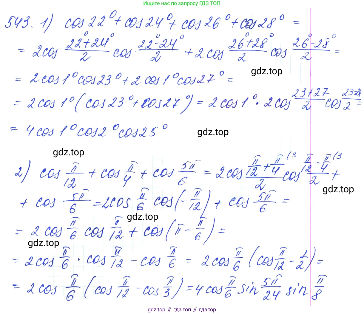
1) Для преобразования суммы косинусов в произведение воспользуемся формулой суммы косинусов: $ \cos \alpha + \cos \beta = 2 \cos\frac{\alpha+\beta}{2}\cos\frac{\alpha-\beta}{2} $.

Сгруппируем слагаемые в исходном выражении $ \cos 22^\circ + \cos 24^\circ + \cos 26^\circ + \cos 28^\circ $ следующим образом: $ (\cos 28^\circ + \cos 22^\circ) + (\cos 26^\circ + \cos 24^\circ) $.

Применим формулу к первой группе: $ \cos 28^\circ + \cos 22^\circ = 2 \cos\frac{28^\circ+22^\circ}{2}\cos\frac{28^\circ-22^\circ}{2} = 2 \cos\frac{50^\circ}{2}\cos\frac{6^\circ}{2} = 2 \cos 25^\circ \cos 3^\circ $.

Применим формулу ко второй группе: $ \cos 26^\circ + \cos 24^\circ = 2 \cos\frac{26^\circ+24^\circ}{2}\cos\frac{26^\circ-24^\circ}{2} = 2 \cos\frac{50^\circ}{2}\cos\frac{2^\circ}{2} = 2 \cos 25^\circ \cos 1^\circ $.

Подставим полученные произведения в исходное выражение: $ 2 \cos 25^\circ \cos 3^\circ + 2 \cos 25^\circ \cos 1^\circ $.

Вынесем общий множитель $ 2 \cos 25^\circ $ за скобки: $ 2 \cos 25^\circ (\cos 3^\circ + \cos 1^\circ) $.

Снова применим формулу суммы косинусов к выражению в скобках: $ \cos 3^\circ + \cos 1^\circ = 2 \cos\frac{3^\circ+1^\circ}{2}\cos\frac{3^\circ-1^\circ}{2} = 2 \cos 2^\circ \cos 1^\circ $.

Окончательно получаем: $ 2 \cos 25^\circ (2 \cos 2^\circ \cos 1^\circ) = 4 \cos 1^\circ \cos 2^\circ \cos 25^\circ $.

Ответ: $4 \cos 1^\circ \cos 2^\circ \cos 25^\circ$.


2) Рассмотрим выражение $ \cos\frac{\pi}{12} + \cos\frac{\pi}{4} + \cos\frac{5\pi}{6} $.

Сгруппируем первые два слагаемых и применим к ним формулу суммы косинусов $ \cos \alpha + \cos \beta = 2 \cos\frac{\alpha+\beta}{2}\cos\frac{\alpha-\beta}{2} $. Для удобства приведем дроби к общему знаменателю: $ \frac{\pi}{4} = \frac{3\pi}{12} $. $ \cos\frac{\pi}{12} + \cos\frac{3\pi}{12} = 2 \cos\frac{\frac{\pi}{12}+\frac{3\pi}{12}}{2}\cos\frac{\frac{3\pi}{12}-\frac{\pi}{12}}{2} = 2 \cos\frac{\frac{4\pi}{12}}{2}\cos\frac{\frac{2\pi}{12}}{2} = 2 \cos\frac{\pi}{6}\cos\frac{\pi}{12} $.

Теперь выражение имеет вид: $ 2 \cos\frac{\pi}{6}\cos\frac{\pi}{12} + \cos\frac{5\pi}{6} $.

Мы знаем табличные значения для косинусов: $ \cos\frac{\pi}{6} = \frac{\sqrt{3}}{2} $ и $ \cos\frac{5\pi}{6} = \cos(\pi - \frac{\pi}{6}) = -\cos\frac{\pi}{6} = -\frac{\sqrt{3}}{2} $.

Подставим эти значения в выражение: $ 2 \cdot \frac{\sqrt{3}}{2} \cos\frac{\pi}{12} - \frac{\sqrt{3}}{2} = \sqrt{3} \cos\frac{\pi}{12} - \frac{\sqrt{3}}{2} $.

Вынесем общий множитель $ \sqrt{3} $ за скобки: $ \sqrt{3} \left(\cos\frac{\pi}{12} - \frac{1}{2}\right) $.

Заменим $ \frac{1}{2} $ на $ \cos\frac{\pi}{3} $: $ \sqrt{3} \left(\cos\frac{\pi}{12} - \cos\frac{\pi}{3}\right) $.

Теперь применим формулу разности косинусов $ \cos \alpha - \cos \beta = -2 \sin\frac{\alpha+\beta}{2}\sin\frac{\alpha-\beta}{2} $: $ \cos\frac{\pi}{12} - \cos\frac{\pi}{3} = -2 \sin\frac{\frac{\pi}{12}+\frac{4\pi}{12}}{2}\sin\frac{\frac{\pi}{12}-\frac{4\pi}{12}}{2} = -2 \sin\frac{5\pi}{24}\sin\left(-\frac{3\pi}{24}\right) = -2 \sin\frac{5\pi}{24}\sin\left(-\frac{\pi}{8}\right) $.

Так как синус — нечетная функция, $ \sin(-x) = -\sin(x) $, то: $ -2 \sin\frac{5\pi}{24}\left(-\sin\frac{\pi}{8}\right) = 2 \sin\frac{5\pi}{24}\sin\frac{\pi}{8} $.

Подставим это обратно и получим окончательный ответ: $ \sqrt{3} \left(2 \sin\frac{\pi}{8}\sin\frac{5\pi}{24}\right) = 2\sqrt{3} \sin\frac{\pi}{8}\sin\frac{5\pi}{24} $.

Ответ: $2\sqrt{3} \sin\frac{\pi}{8} \sin\frac{5\pi}{24}$.

Помогло решение? Оставьте отзыв в комментариях ниже.

Присоединяйтесь к Телеграм-группе @top_gdz

Присоединиться

Мы подготовили для вас ответ c подробным объяснением домашего задания по алгебре за 10-11 класс, для упражнения номер 543 расположенного на странице 164 к учебнику 2014 года издания для учащихся школ и гимназий.

Теперь на нашем сайте ГДЗ.ТОП вы всегда легко и бесплатно найдёте условие с правильным ответом на вопрос «Как решить ДЗ» и «Как сделать» задание по алгебре к упражнению №543 (с. 164), авторов: Алимов (Шавкат Арифджанович), Колягин (Юрий Михайлович), Ткачева (Мария Владимировна), Федорова (Надежда Евгеньевна), Шабунин (Михаил Иванович), ФГОС (старый) базовый и углублённый уровень обучения учебного пособия издательства Просвещение.