Номер 538, страница 163 - гдз по алгебре 10-11 класс учебник Алимов, Колягин

Алгебра, 10-11 класс Учебник, авторы: Алимов Шавкат Арифджанович, Колягин Юрий Михайлович, Ткачева Мария Владимировна, Федорова Надежда Евгеньевна, Шабунин Михаил Иванович, издательство Просвещение, Москва, 2014

Авторы: Алимов Ш. А., Колягин Ю. М., Ткачева М. В., Федорова Н. Е., Шабунин М. И.

Тип: Учебник

Издательство: Просвещение

Год издания: 2014 - 2025

Уровень обучения: базовый и углублённый

Цвет обложки: синий, фиолетовый

ISBN: 978-5-09-112136-0

Допущено Министерством просвещения Российской Федерации

Математика: алгебра и начала математического анализа, геометрия

Популярные ГДЗ в 10 классе

Глава 5. Тригонометрические формулы. Параграф 32. Сумма и разность синусов. Сумма и разность косинусов - номер 538, страница 163.

№538 (с. 163)
Условие. №538 (с. 163)
скриншот условия
Алгебра, 10-11 класс Учебник, авторы: Алимов Шавкат Арифджанович, Колягин Юрий Михайлович, Ткачева Мария Владимировна, Федорова Надежда Евгеньевна, Шабунин Михаил Иванович, издательство Просвещение, Москва, 2014, страница 163, номер 538, Условие

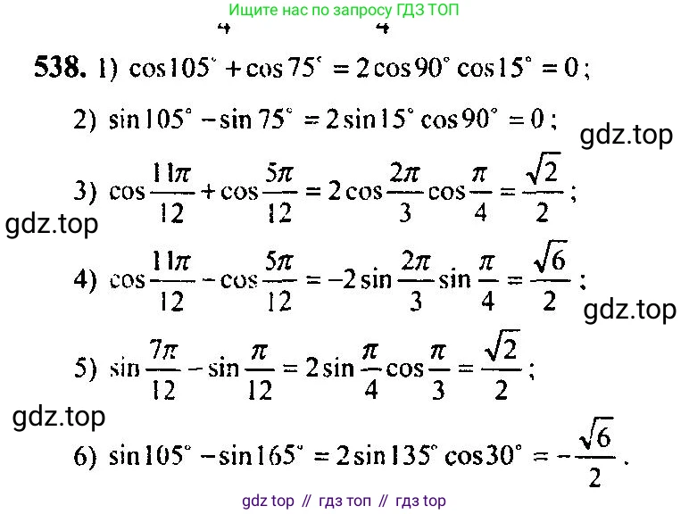
538 Вычислить:

1) $\cos 105^\circ + \cos 75^\circ$;

2) $\sin 105^\circ - \sin 75^\circ$;

3) $\cos \frac{11\pi}{12} + \cos \frac{5\pi}{12}$;

4) $\cos \frac{11\pi}{12} - \cos \frac{5\pi}{12}$;

5) $\sin \frac{7\pi}{12} - \sin \frac{\pi}{12}$;

6) $\sin 105^\circ + \sin 165^\circ$.

Решение 1. №538 (с. 163)
Алгебра, 10-11 класс Учебник, авторы: Алимов Шавкат Арифджанович, Колягин Юрий Михайлович, Ткачева Мария Владимировна, Федорова Надежда Евгеньевна, Шабунин Михаил Иванович, издательство Просвещение, Москва, 2014, страница 163, номер 538, Решение 1
Алгебра, 10-11 класс Учебник, авторы: Алимов Шавкат Арифджанович, Колягин Юрий Михайлович, Ткачева Мария Владимировна, Федорова Надежда Евгеньевна, Шабунин Михаил Иванович, издательство Просвещение, Москва, 2014, страница 163, номер 538, Решение 1 (продолжение 2)
Алгебра, 10-11 класс Учебник, авторы: Алимов Шавкат Арифджанович, Колягин Юрий Михайлович, Ткачева Мария Владимировна, Федорова Надежда Евгеньевна, Шабунин Михаил Иванович, издательство Просвещение, Москва, 2014, страница 163, номер 538, Решение 1 (продолжение 3)
Алгебра, 10-11 класс Учебник, авторы: Алимов Шавкат Арифджанович, Колягин Юрий Михайлович, Ткачева Мария Владимировна, Федорова Надежда Евгеньевна, Шабунин Михаил Иванович, издательство Просвещение, Москва, 2014, страница 163, номер 538, Решение 1 (продолжение 4)
Алгебра, 10-11 класс Учебник, авторы: Алимов Шавкат Арифджанович, Колягин Юрий Михайлович, Ткачева Мария Владимировна, Федорова Надежда Евгеньевна, Шабунин Михаил Иванович, издательство Просвещение, Москва, 2014, страница 163, номер 538, Решение 1 (продолжение 5) Алгебра, 10-11 класс Учебник, авторы: Алимов Шавкат Арифджанович, Колягин Юрий Михайлович, Ткачева Мария Владимировна, Федорова Надежда Евгеньевна, Шабунин Михаил Иванович, издательство Просвещение, Москва, 2014, страница 163, номер 538, Решение 1 (продолжение 6)
Решение 2. №538 (с. 163)
Алгебра, 10-11 класс Учебник, авторы: Алимов Шавкат Арифджанович, Колягин Юрий Михайлович, Ткачева Мария Владимировна, Федорова Надежда Евгеньевна, Шабунин Михаил Иванович, издательство Просвещение, Москва, 2014, страница 163, номер 538, Решение 2
Алгебра, 10-11 класс Учебник, авторы: Алимов Шавкат Арифджанович, Колягин Юрий Михайлович, Ткачева Мария Владимировна, Федорова Надежда Евгеньевна, Шабунин Михаил Иванович, издательство Просвещение, Москва, 2014, страница 163, номер 538, Решение 2 (продолжение 2)
Решение 4. №538 (с. 163)
Алгебра, 10-11 класс Учебник, авторы: Алимов Шавкат Арифджанович, Колягин Юрий Михайлович, Ткачева Мария Владимировна, Федорова Надежда Евгеньевна, Шабунин Михаил Иванович, издательство Просвещение, Москва, 2014, страница 163, номер 538, Решение 4
Решение 5. №538 (с. 163)
Алгебра, 10-11 класс Учебник, авторы: Алимов Шавкат Арифджанович, Колягин Юрий Михайлович, Ткачева Мария Владимировна, Федорова Надежда Евгеньевна, Шабунин Михаил Иванович, издательство Просвещение, Москва, 2014, страница 163, номер 538, Решение 5
Решение 6. №538 (с. 163)
Алгебра, 10-11 класс Учебник, авторы: Алимов Шавкат Арифджанович, Колягин Юрий Михайлович, Ткачева Мария Владимировна, Федорова Надежда Евгеньевна, Шабунин Михаил Иванович, издательство Просвещение, Москва, 2014, страница 163, номер 538, Решение 6
Решение 7. №538 (с. 163)
Алгебра, 10-11 класс Учебник, авторы: Алимов Шавкат Арифджанович, Колягин Юрий Михайлович, Ткачева Мария Владимировна, Федорова Надежда Евгеньевна, Шабунин Михаил Иванович, издательство Просвещение, Москва, 2014, страница 163, номер 538, Решение 7 Алгебра, 10-11 класс Учебник, авторы: Алимов Шавкат Арифджанович, Колягин Юрий Михайлович, Ткачева Мария Владимировна, Федорова Надежда Евгеньевна, Шабунин Михаил Иванович, издательство Просвещение, Москва, 2014, страница 163, номер 538, Решение 7 (продолжение 2)
Решение 8. №538 (с. 163)

1) Для вычисления суммы $\cos 105° + \cos 75°$ воспользуемся формулой преобразования суммы косинусов в произведение:

$\cos \alpha + \cos \beta = 2 \cos\left(\frac{\alpha+\beta}{2}\right) \cos\left(\frac{\alpha-\beta}{2}\right)$

В данном случае $\alpha = 105°$ и $\beta = 75°$.

Найдем полусумму и полуразность углов:

$\frac{\alpha+\beta}{2} = \frac{105°+75°}{2} = \frac{180°}{2} = 90°$

$\frac{\alpha-\beta}{2} = \frac{105°-75°}{2} = \frac{30°}{2} = 15°$

Подставим полученные значения в формулу:

$\cos 105° + \cos 75° = 2 \cos(90°) \cos(15°)$

Так как значение $\cos(90°) = 0$, то все выражение равно нулю:

$2 \cdot 0 \cdot \cos(15°) = 0$

Ответ: $0$

2) Для вычисления разности $\sin 105° - \sin 75°$ используем формулу преобразования разности синусов в произведение:

$\sin \alpha - \sin \beta = 2 \cos\left(\frac{\alpha+\beta}{2}\right) \sin\left(\frac{\alpha-\beta}{2}\right)$

Здесь $\alpha = 105°$ и $\beta = 75°$.

Полусумма и полуразность углов такие же, как в предыдущем примере:

$\frac{\alpha+\beta}{2} = 90°$

$\frac{\alpha-\beta}{2} = 15°$

Подставим значения в формулу:

$\sin 105° - \sin 75° = 2 \cos(90°) \sin(15°)$

Поскольку $\cos(90°) = 0$, то результат равен:

$2 \cdot 0 \cdot \sin(15°) = 0$

Ответ: $0$

3) Для вычисления суммы $\cos \frac{11\pi}{12} + \cos \frac{5\pi}{12}$ применим формулу суммы косинусов:

$\cos \alpha + \cos \beta = 2 \cos\left(\frac{\alpha+\beta}{2}\right) \cos\left(\frac{\alpha-\beta}{2}\right)$

Здесь $\alpha = \frac{11\pi}{12}$ и $\beta = \frac{5\pi}{12}$.

Вычислим полусумму и полуразность:

$\frac{\alpha+\beta}{2} = \frac{\frac{11\pi}{12}+\frac{5\pi}{12}}{2} = \frac{\frac{16\pi}{12}}{2} = \frac{\frac{4\pi}{3}}{2} = \frac{2\pi}{3}$

$\frac{\alpha-\beta}{2} = \frac{\frac{11\pi}{12}-\frac{5\pi}{12}}{2} = \frac{\frac{6\pi}{12}}{2} = \frac{\frac{\pi}{2}}{2} = \frac{\pi}{4}$

Подставим в формулу:

$\cos \frac{11\pi}{12} + \cos \frac{5\pi}{12} = 2 \cos(\frac{2\pi}{3}) \cos(\frac{\pi}{4})$

Используем известные значения $\cos(\frac{2\pi}{3}) = -\frac{1}{2}$ и $\cos(\frac{\pi}{4}) = \frac{\sqrt{2}}{2}$:

$2 \cdot (-\frac{1}{2}) \cdot \frac{\sqrt{2}}{2} = -1 \cdot \frac{\sqrt{2}}{2} = -\frac{\sqrt{2}}{2}$

Ответ: $-\frac{\sqrt{2}}{2}$

4) Для вычисления разности $\cos \frac{11\pi}{12} - \cos \frac{5\pi}{12}$ применим формулу разности косинусов:

$\cos \alpha - \cos \beta = -2 \sin\left(\frac{\alpha+\beta}{2}\right) \sin\left(\frac{\alpha-\beta}{2}\right)$

Аргументы $\alpha$ и $\beta$ те же, что и в пункте 3, поэтому мы можем использовать уже вычисленные полусумму и полуразность: $\frac{\alpha+\beta}{2} = \frac{2\pi}{3}$ и $\frac{\alpha-\beta}{2} = \frac{\pi}{4}$.

Подставляем эти значения в формулу:

$\cos \frac{11\pi}{12} - \cos \frac{5\pi}{12} = -2 \sin(\frac{2\pi}{3}) \sin(\frac{\pi}{4})$

Используем известные значения $\sin(\frac{2\pi}{3}) = \frac{\sqrt{3}}{2}$ и $\sin(\frac{\pi}{4}) = \frac{\sqrt{2}}{2}$:

$-2 \cdot \frac{\sqrt{3}}{2} \cdot \frac{\sqrt{2}}{2} = -\frac{2\sqrt{6}}{4} = -\frac{\sqrt{6}}{2}$

Ответ: $-\frac{\sqrt{6}}{2}$

5) Для вычисления разности $\sin \frac{7\pi}{12} - \sin \frac{\pi}{12}$ используем формулу разности синусов:

$\sin \alpha - \sin \beta = 2 \cos\left(\frac{\alpha+\beta}{2}\right) \sin\left(\frac{\alpha-\beta}{2}\right)$

Здесь $\alpha = \frac{7\pi}{12}$ и $\beta = \frac{\pi}{12}$.

Найдем полусумму и полуразность:

$\frac{\alpha+\beta}{2} = \frac{\frac{7\pi}{12}+\frac{\pi}{12}}{2} = \frac{\frac{8\pi}{12}}{2} = \frac{\frac{2\pi}{3}}{2} = \frac{\pi}{3}$

$\frac{\alpha-\beta}{2} = \frac{\frac{7\pi}{12}-\frac{\pi}{12}}{2} = \frac{\frac{6\pi}{12}}{2} = \frac{\frac{\pi}{2}}{2} = \frac{\pi}{4}$

Подставим в формулу:

$\sin \frac{7\pi}{12} - \sin \frac{\pi}{12} = 2 \cos(\frac{\pi}{3}) \sin(\frac{\pi}{4})$

Используем известные значения $\cos(\frac{\pi}{3}) = \frac{1}{2}$ и $\sin(\frac{\pi}{4}) = \frac{\sqrt{2}}{2}$:

$2 \cdot \frac{1}{2} \cdot \frac{\sqrt{2}}{2} = 1 \cdot \frac{\sqrt{2}}{2} = \frac{\sqrt{2}}{2}$

Ответ: $\frac{\sqrt{2}}{2}$

6) Для вычисления суммы $\sin 105° + \sin 165°$ применим формулу суммы синусов:

$\sin \alpha + \sin \beta = 2 \sin\left(\frac{\alpha+\beta}{2}\right) \cos\left(\frac{\alpha-\beta}{2}\right)$

В данном случае $\alpha = 105°$ и $\beta = 165°$.

Вычислим полусумму и полуразность углов:

$\frac{\alpha+\beta}{2} = \frac{105°+165°}{2} = \frac{270°}{2} = 135°$

$\frac{\alpha-\beta}{2} = \frac{105°-165°}{2} = \frac{-60°}{2} = -30°$

Подставим полученные значения в формулу:

$\sin 105° + \sin 165° = 2 \sin(135°) \cos(-30°)$

Используя свойство четности косинуса $\cos(-x) = \cos(x)$, а также значения $\sin(135°) = \frac{\sqrt{2}}{2}$ и $\cos(30°) = \frac{\sqrt{3}}{2}$, получаем:

$2 \sin(135°) \cos(30°) = 2 \cdot \frac{\sqrt{2}}{2} \cdot \frac{\sqrt{3}}{2} = \frac{2\sqrt{6}}{4} = \frac{\sqrt{6}}{2}$

Ответ: $\frac{\sqrt{6}}{2}$

Помогло решение? Оставьте отзыв в комментариях ниже.

Присоединяйтесь к Телеграм-группе @top_gdz

Присоединиться

Мы подготовили для вас ответ c подробным объяснением домашего задания по алгебре за 10-11 класс, для упражнения номер 538 расположенного на странице 163 к учебнику 2014 года издания для учащихся школ и гимназий.

Теперь на нашем сайте ГДЗ.ТОП вы всегда легко и бесплатно найдёте условие с правильным ответом на вопрос «Как решить ДЗ» и «Как сделать» задание по алгебре к упражнению №538 (с. 163), авторов: Алимов (Шавкат Арифджанович), Колягин (Юрий Михайлович), Ткачева (Мария Владимировна), Федорова (Надежда Евгеньевна), Шабунин (Михаил Иванович), ФГОС (старый) базовый и углублённый уровень обучения учебного пособия издательства Просвещение.