Номер 539, страница 164 - гдз по алгебре 10-11 класс учебник Алимов, Колягин

Алгебра, 10-11 класс Учебник, авторы: Алимов Шавкат Арифджанович, Колягин Юрий Михайлович, Ткачева Мария Владимировна, Федорова Надежда Евгеньевна, Шабунин Михаил Иванович, издательство Просвещение, Москва, 2014

Авторы: Алимов Ш. А., Колягин Ю. М., Ткачева М. В., Федорова Н. Е., Шабунин М. И.

Тип: Учебник

Издательство: Просвещение

Год издания: 2014 - 2025

Уровень обучения: базовый и углублённый

Цвет обложки: синий, фиолетовый

ISBN: 978-5-09-112136-0

Допущено Министерством просвещения Российской Федерации

Математика: алгебра и начала математического анализа, геометрия

Популярные ГДЗ в 10 классе

Глава 5. Тригонометрические формулы. Параграф 32. Сумма и разность синусов. Сумма и разность косинусов - номер 539, страница 164.

№539 (с. 164)
Условие. №539 (с. 164)
скриншот условия
Алгебра, 10-11 класс Учебник, авторы: Алимов Шавкат Арифджанович, Колягин Юрий Михайлович, Ткачева Мария Владимировна, Федорова Надежда Евгеньевна, Шабунин Михаил Иванович, издательство Просвещение, Москва, 2014, страница 164, номер 539, Условие

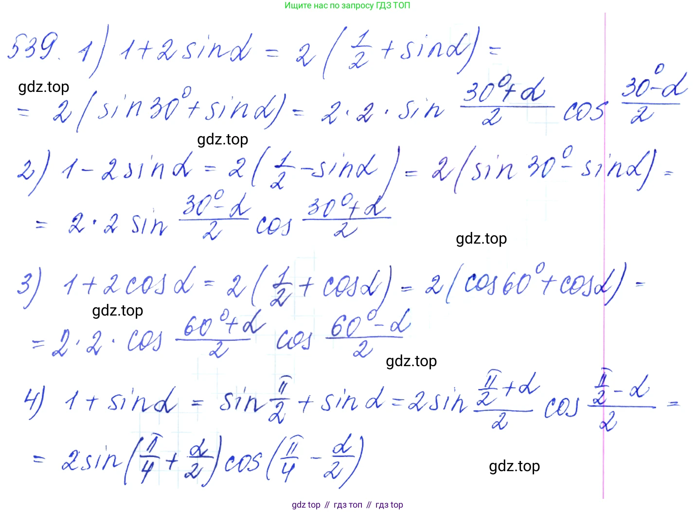
539 Преобразовать в произведение:

1) $1 + 2 \sin \alpha$;

2) $1 - 2 \sin \alpha$;

3) $1 + 2 \cos \alpha$;

4) $1 + \sin \alpha$.

Решение 1. №539 (с. 164)
Алгебра, 10-11 класс Учебник, авторы: Алимов Шавкат Арифджанович, Колягин Юрий Михайлович, Ткачева Мария Владимировна, Федорова Надежда Евгеньевна, Шабунин Михаил Иванович, издательство Просвещение, Москва, 2014, страница 164, номер 539, Решение 1
Алгебра, 10-11 класс Учебник, авторы: Алимов Шавкат Арифджанович, Колягин Юрий Михайлович, Ткачева Мария Владимировна, Федорова Надежда Евгеньевна, Шабунин Михаил Иванович, издательство Просвещение, Москва, 2014, страница 164, номер 539, Решение 1 (продолжение 2)
Алгебра, 10-11 класс Учебник, авторы: Алимов Шавкат Арифджанович, Колягин Юрий Михайлович, Ткачева Мария Владимировна, Федорова Надежда Евгеньевна, Шабунин Михаил Иванович, издательство Просвещение, Москва, 2014, страница 164, номер 539, Решение 1 (продолжение 3)
Алгебра, 10-11 класс Учебник, авторы: Алимов Шавкат Арифджанович, Колягин Юрий Михайлович, Ткачева Мария Владимировна, Федорова Надежда Евгеньевна, Шабунин Михаил Иванович, издательство Просвещение, Москва, 2014, страница 164, номер 539, Решение 1 (продолжение 4)
Решение 2. №539 (с. 164)
Алгебра, 10-11 класс Учебник, авторы: Алимов Шавкат Арифджанович, Колягин Юрий Михайлович, Ткачева Мария Владимировна, Федорова Надежда Евгеньевна, Шабунин Михаил Иванович, издательство Просвещение, Москва, 2014, страница 164, номер 539, Решение 2
Решение 4. №539 (с. 164)
Алгебра, 10-11 класс Учебник, авторы: Алимов Шавкат Арифджанович, Колягин Юрий Михайлович, Ткачева Мария Владимировна, Федорова Надежда Евгеньевна, Шабунин Михаил Иванович, издательство Просвещение, Москва, 2014, страница 164, номер 539, Решение 4
Решение 5. №539 (с. 164)
Алгебра, 10-11 класс Учебник, авторы: Алимов Шавкат Арифджанович, Колягин Юрий Михайлович, Ткачева Мария Владимировна, Федорова Надежда Евгеньевна, Шабунин Михаил Иванович, издательство Просвещение, Москва, 2014, страница 164, номер 539, Решение 5
Решение 6. №539 (с. 164)
Алгебра, 10-11 класс Учебник, авторы: Алимов Шавкат Арифджанович, Колягин Юрий Михайлович, Ткачева Мария Владимировна, Федорова Надежда Евгеньевна, Шабунин Михаил Иванович, издательство Просвещение, Москва, 2014, страница 164, номер 539, Решение 6
Решение 7. №539 (с. 164)
Алгебра, 10-11 класс Учебник, авторы: Алимов Шавкат Арифджанович, Колягин Юрий Михайлович, Ткачева Мария Владимировна, Федорова Надежда Евгеньевна, Шабунин Михаил Иванович, издательство Просвещение, Москва, 2014, страница 164, номер 539, Решение 7
Решение 8. №539 (с. 164)

1) Для преобразования выражения $1 + 2 \sin \alpha$ в произведение, вынесем множитель 2 за скобки и представим число $1/2$ в виде синуса известного угла.

$1 + 2 \sin \alpha = 2 \left( \frac{1}{2} + \sin \alpha \right)$

Так как $\sin\left(\frac{\pi}{6}\right) = \frac{1}{2}$, то выражение принимает вид:

$2 \left( \sin\left(\frac{\pi}{6}\right) + \sin \alpha \right)$

Далее воспользуемся формулой суммы синусов: $\sin x + \sin y = 2 \sin\left(\frac{x+y}{2}\right) \cos\left(\frac{x-y}{2}\right)$.

Подставляя $x = \frac{\pi}{6}$ и $y = \alpha$, получаем:

$2 \cdot \left[ 2 \sin\left(\frac{\frac{\pi}{6}+\alpha}{2}\right) \cos\left(\frac{\frac{\pi}{6}-\alpha}{2}\right) \right] = 4 \sin\left(\frac{\pi}{12}+\frac{\alpha}{2}\right) \cos\left(\frac{\pi}{12}-\frac{\alpha}{2}\right)$.

Ответ: $4 \sin\left(\frac{\pi}{12}+\frac{\alpha}{2}\right) \cos\left(\frac{\pi}{12}-\frac{\alpha}{2}\right)$.

2) Преобразуем выражение $1 - 2 \sin \alpha$ аналогично предыдущему пункту.

$1 - 2 \sin \alpha = 2 \left( \frac{1}{2} - \sin \alpha \right) = 2 \left( \sin\left(\frac{\pi}{6}\right) - \sin \alpha \right)$

Применим формулу разности синусов: $\sin x - \sin y = 2 \cos\left(\frac{x+y}{2}\right) \sin\left(\frac{x-y}{2}\right)$.

При $x = \frac{\pi}{6}$ и $y = \alpha$ имеем:

$2 \cdot \left[ 2 \cos\left(\frac{\frac{\pi}{6}+\alpha}{2}\right) \sin\left(\frac{\frac{\pi}{6}-\alpha}{2}\right) \right] = 4 \cos\left(\frac{\pi}{12}+\frac{\alpha}{2}\right) \sin\left(\frac{\pi}{12}-\frac{\alpha}{2}\right)$.

Ответ: $4 \cos\left(\frac{\pi}{12}+\frac{\alpha}{2}\right) \sin\left(\frac{\pi}{12}-\frac{\alpha}{2}\right)$.

3) Преобразуем выражение $1 + 2 \cos \alpha$. Вынесем 2 за скобки и представим $1/2$ как косинус.

$1 + 2 \cos \alpha = 2 \left( \frac{1}{2} + \cos \alpha \right)$

Так как $\cos\left(\frac{\pi}{3}\right) = \frac{1}{2}$, получаем:

$2 \left( \cos\left(\frac{\pi}{3}\right) + \cos \alpha \right)$

Используем формулу суммы косинусов: $\cos x + \cos y = 2 \cos\left(\frac{x+y}{2}\right) \cos\left(\frac{x-y}{2}\right)$.

При $x = \frac{\pi}{3}$ и $y = \alpha$ получаем:

$2 \cdot \left[ 2 \cos\left(\frac{\frac{\pi}{3}+\alpha}{2}\right) \cos\left(\frac{\frac{\pi}{3}-\alpha}{2}\right) \right] = 4 \cos\left(\frac{\pi}{6}+\frac{\alpha}{2}\right) \cos\left(\frac{\pi}{6}-\frac{\alpha}{2}\right)$.

Ответ: $4 \cos\left(\frac{\pi}{6}+\frac{\alpha}{2}\right) \cos\left(\frac{\pi}{6}-\frac{\alpha}{2}\right)$.

4) Для преобразования выражения $1 + \sin \alpha$ в произведение, представим 1 как $\sin\left(\frac{\pi}{2}\right)$.

$1 + \sin \alpha = \sin\left(\frac{\pi}{2}\right) + \sin \alpha$

Применим формулу суммы синусов: $\sin x + \sin y = 2 \sin\left(\frac{x+y}{2}\right) \cos\left(\frac{x-y}{2}\right)$.

Полагая $x = \frac{\pi}{2}$ и $y = \alpha$, получаем:

$\sin\left(\frac{\pi}{2}\right) + \sin \alpha = 2 \sin\left(\frac{\frac{\pi}{2}+\alpha}{2}\right) \cos\left(\frac{\frac{\pi}{2}-\alpha}{2}\right) = 2 \sin\left(\frac{\pi}{4}+\frac{\alpha}{2}\right) \cos\left(\frac{\pi}{4}-\frac{\alpha}{2}\right)$.

Данное выражение можно также записать в другом виде. Используя формулу приведения $\cos(z) = \sin(\frac{\pi}{2}-z)$, имеем $\cos\left(\frac{\pi}{4}-\frac{\alpha}{2}\right) = \sin\left(\frac{\pi}{2} - \left(\frac{\pi}{4}-\frac{\alpha}{2}\right)\right) = \sin\left(\frac{\pi}{4}+\frac{\alpha}{2}\right)$. Тогда результат можно записать как $2 \sin^2\left(\frac{\pi}{4}+\frac{\alpha}{2}\right)$. Оба варианта являются произведением.

Ответ: $2 \sin\left(\frac{\pi}{4}+\frac{\alpha}{2}\right) \cos\left(\frac{\pi}{4}-\frac{\alpha}{2}\right)$.

Помогло решение? Оставьте отзыв в комментариях ниже.

Присоединяйтесь к Телеграм-группе @top_gdz

Присоединиться

Мы подготовили для вас ответ c подробным объяснением домашего задания по алгебре за 10-11 класс, для упражнения номер 539 расположенного на странице 164 к учебнику 2014 года издания для учащихся школ и гимназий.

Теперь на нашем сайте ГДЗ.ТОП вы всегда легко и бесплатно найдёте условие с правильным ответом на вопрос «Как решить ДЗ» и «Как сделать» задание по алгебре к упражнению №539 (с. 164), авторов: Алимов (Шавкат Арифджанович), Колягин (Юрий Михайлович), Ткачева (Мария Владимировна), Федорова (Надежда Евгеньевна), Шабунин (Михаил Иванович), ФГОС (старый) базовый и углублённый уровень обучения учебного пособия издательства Просвещение.