Номер 545, страница 164 - гдз по алгебре 10-11 класс учебник Алимов, Колягин

Алгебра, 10-11 класс Учебник, авторы: Алимов Шавкат Арифджанович, Колягин Юрий Михайлович, Ткачева Мария Владимировна, Федорова Надежда Евгеньевна, Шабунин Михаил Иванович, издательство Просвещение, Москва, 2014

Авторы: Алимов Ш. А., Колягин Ю. М., Ткачева М. В., Федорова Н. Е., Шабунин М. И.

Тип: Учебник

Издательство: Просвещение

Год издания: 2014 - 2025

Уровень обучения: базовый и углублённый

Цвет обложки: синий, фиолетовый

ISBN: 978-5-09-112136-0

Допущено Министерством просвещения Российской Федерации

Математика: алгебра и начала математического анализа, геометрия

Популярные ГДЗ в 10 классе

Глава 5. Тригонометрические формулы. Параграф 32. Сумма и разность синусов. Сумма и разность косинусов - номер 545, страница 164.

№545 (с. 164)
Условие. №545 (с. 164)
скриншот условия
Алгебра, 10-11 класс Учебник, авторы: Алимов Шавкат Арифджанович, Колягин Юрий Михайлович, Ткачева Мария Владимировна, Федорова Надежда Евгеньевна, Шабунин Михаил Иванович, издательство Просвещение, Москва, 2014, страница 164, номер 545, Условие

545 Разложить на множители:

1) $1 - \cos \alpha + \sin \alpha;$

2) $1 - 2 \cos \alpha + \cos 2\alpha;$

3) $1 + \sin \alpha - \cos \alpha - \operatorname{tg} \alpha;$

4) $1 + \sin \alpha + \cos \alpha + \operatorname{tg} \alpha.$

Решение 1. №545 (с. 164)
Алгебра, 10-11 класс Учебник, авторы: Алимов Шавкат Арифджанович, Колягин Юрий Михайлович, Ткачева Мария Владимировна, Федорова Надежда Евгеньевна, Шабунин Михаил Иванович, издательство Просвещение, Москва, 2014, страница 164, номер 545, Решение 1
Алгебра, 10-11 класс Учебник, авторы: Алимов Шавкат Арифджанович, Колягин Юрий Михайлович, Ткачева Мария Владимировна, Федорова Надежда Евгеньевна, Шабунин Михаил Иванович, издательство Просвещение, Москва, 2014, страница 164, номер 545, Решение 1 (продолжение 2)
Алгебра, 10-11 класс Учебник, авторы: Алимов Шавкат Арифджанович, Колягин Юрий Михайлович, Ткачева Мария Владимировна, Федорова Надежда Евгеньевна, Шабунин Михаил Иванович, издательство Просвещение, Москва, 2014, страница 164, номер 545, Решение 1 (продолжение 3)
Алгебра, 10-11 класс Учебник, авторы: Алимов Шавкат Арифджанович, Колягин Юрий Михайлович, Ткачева Мария Владимировна, Федорова Надежда Евгеньевна, Шабунин Михаил Иванович, издательство Просвещение, Москва, 2014, страница 164, номер 545, Решение 1 (продолжение 4)
Решение 2. №545 (с. 164)
Алгебра, 10-11 класс Учебник, авторы: Алимов Шавкат Арифджанович, Колягин Юрий Михайлович, Ткачева Мария Владимировна, Федорова Надежда Евгеньевна, Шабунин Михаил Иванович, издательство Просвещение, Москва, 2014, страница 164, номер 545, Решение 2
Решение 4. №545 (с. 164)
Алгебра, 10-11 класс Учебник, авторы: Алимов Шавкат Арифджанович, Колягин Юрий Михайлович, Ткачева Мария Владимировна, Федорова Надежда Евгеньевна, Шабунин Михаил Иванович, издательство Просвещение, Москва, 2014, страница 164, номер 545, Решение 4
Алгебра, 10-11 класс Учебник, авторы: Алимов Шавкат Арифджанович, Колягин Юрий Михайлович, Ткачева Мария Владимировна, Федорова Надежда Евгеньевна, Шабунин Михаил Иванович, издательство Просвещение, Москва, 2014, страница 164, номер 545, Решение 4 (продолжение 2)
Решение 5. №545 (с. 164)
Алгебра, 10-11 класс Учебник, авторы: Алимов Шавкат Арифджанович, Колягин Юрий Михайлович, Ткачева Мария Владимировна, Федорова Надежда Евгеньевна, Шабунин Михаил Иванович, издательство Просвещение, Москва, 2014, страница 164, номер 545, Решение 5
Алгебра, 10-11 класс Учебник, авторы: Алимов Шавкат Арифджанович, Колягин Юрий Михайлович, Ткачева Мария Владимировна, Федорова Надежда Евгеньевна, Шабунин Михаил Иванович, издательство Просвещение, Москва, 2014, страница 164, номер 545, Решение 5 (продолжение 2)
Решение 6. №545 (с. 164)
Алгебра, 10-11 класс Учебник, авторы: Алимов Шавкат Арифджанович, Колягин Юрий Михайлович, Ткачева Мария Владимировна, Федорова Надежда Евгеньевна, Шабунин Михаил Иванович, издательство Просвещение, Москва, 2014, страница 164, номер 545, Решение 6
Решение 7. №545 (с. 164)
Алгебра, 10-11 класс Учебник, авторы: Алимов Шавкат Арифджанович, Колягин Юрий Михайлович, Ткачева Мария Владимировна, Федорова Надежда Евгеньевна, Шабунин Михаил Иванович, издательство Просвещение, Москва, 2014, страница 164, номер 545, Решение 7
Решение 8. №545 (с. 164)

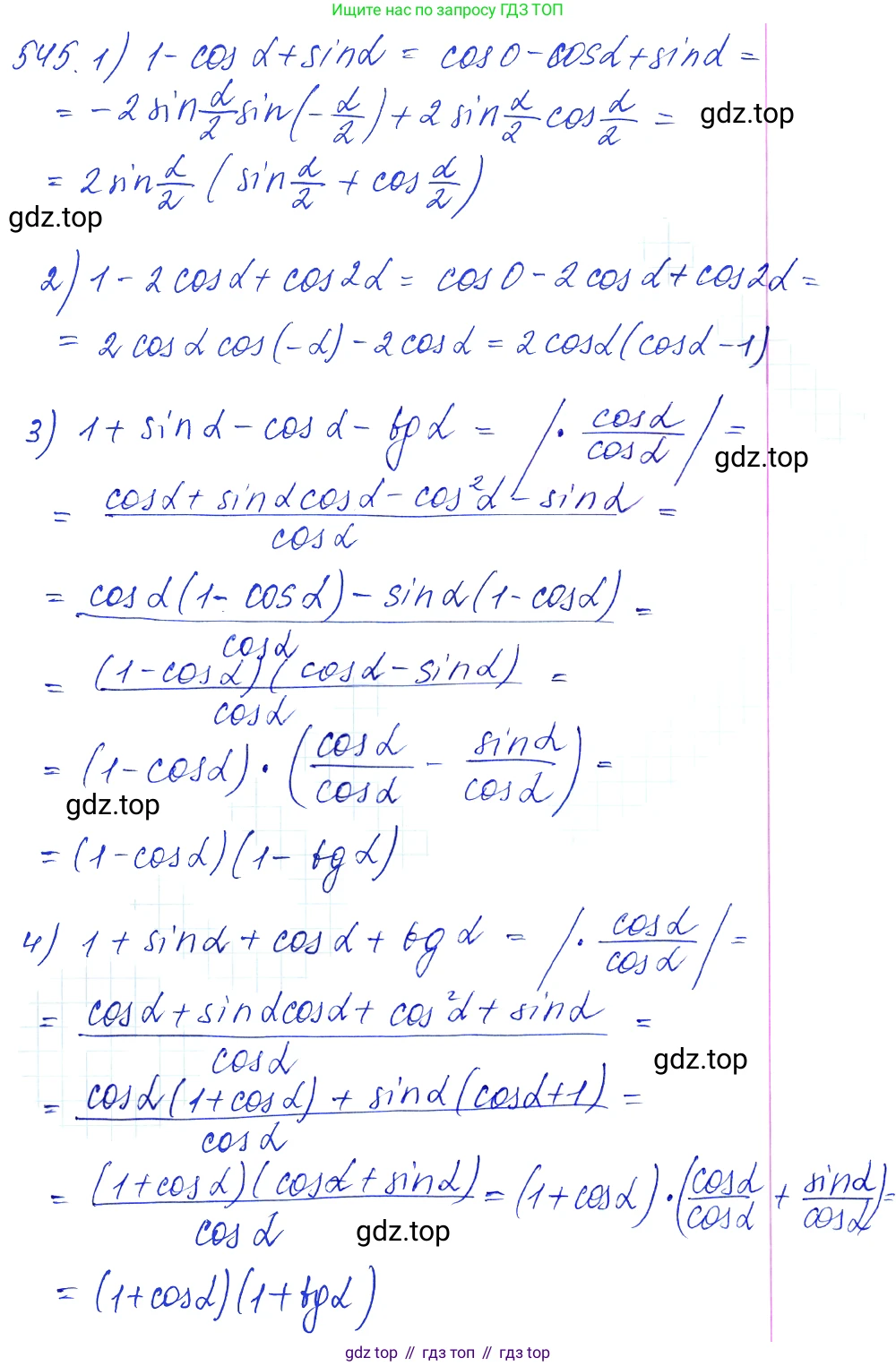
1) Для разложения на множители выражения $1 - \cos \alpha + \sin \alpha$ используем формулы половинного угла.
Формула понижения степени для косинуса: $1 - \cos \alpha = 2 \sin^2\left(\frac{\alpha}{2}\right)$.
Формула синуса двойного угла для $\alpha$: $\sin \alpha = 2 \sin\left(\frac{\alpha}{2}\right) \cos\left(\frac{\alpha}{2}\right)$.
Подставим эти формулы в исходное выражение:
$1 - \cos \alpha + \sin \alpha = \left(1 - \cos \alpha\right) + \sin \alpha = 2 \sin^2\left(\frac{\alpha}{2}\right) + 2 \sin\left(\frac{\alpha}{2}\right) \cos\left(\frac{\alpha}{2}\right)$.
Теперь вынесем общий множитель $2 \sin\left(\frac{\alpha}{2}\right)$ за скобки:
$2 \sin\left(\frac{\alpha}{2}\right) \left(\sin\left(\frac{\alpha}{2}\right) + \cos\left(\frac{\alpha}{2}\right)\right)$.
Ответ: $2 \sin\left(\frac{\alpha}{2}\right)\left(\sin\left(\frac{\alpha}{2}\right) + \cos\left(\frac{\alpha}{2}\right)\right)$.

2) Для разложения на множители выражения $1 - 2 \cos \alpha + \cos 2\alpha$ сгруппируем первое и третье слагаемые.
$1 - 2 \cos \alpha + \cos 2\alpha = (1 + \cos 2\alpha) - 2 \cos \alpha$.
Применим формулу косинуса двойного угла: $1 + \cos 2\alpha = 2 \cos^2 \alpha$.
Подставим в выражение:
$(1 + \cos 2\alpha) - 2 \cos \alpha = 2 \cos^2 \alpha - 2 \cos \alpha$.
Вынесем общий множитель $2 \cos \alpha$ за скобки:
$2 \cos \alpha (\cos \alpha - 1)$.
Ответ: $2 \cos \alpha (\cos \alpha - 1)$.

3) Для разложения на множители выражения $1 + \sin \alpha - \cos \alpha - \operatorname{tg} \alpha$ представим $\operatorname{tg} \alpha$ как $\frac{\sin \alpha}{\cos \alpha}$ (область допустимых значений $\cos \alpha \neq 0$).
$1 + \sin \alpha - \cos \alpha - \frac{\sin \alpha}{\cos \alpha}$.
Сгруппируем слагаемые:
$(1 - \cos \alpha) + (\sin \alpha - \frac{\sin \alpha}{\cos \alpha})$.
Во второй группе вынесем $\sin \alpha$ за скобки:
$(1 - \cos \alpha) + \sin \alpha \left(1 - \frac{1}{\cos \alpha}\right) = (1 - \cos \alpha) + \sin \alpha \left(\frac{\cos \alpha - 1}{\cos \alpha}\right)$.
Так как $\cos \alpha - 1 = -(1 - \cos \alpha)$, то выражение примет вид:
$(1 - \cos \alpha) - \sin \alpha \frac{1 - \cos \alpha}{\cos \alpha}$.
Теперь вынесем общий множитель $(1 - \cos \alpha)$ за скобки:
$(1 - \cos \alpha)\left(1 - \frac{\sin \alpha}{\cos \alpha}\right) = (1 - \cos \alpha)(1 - \operatorname{tg} \alpha)$.
Ответ: $(1 - \cos \alpha)(1 - \operatorname{tg} \alpha)$.

4) Для разложения на множители выражения $1 + \sin \alpha + \cos \alpha + \operatorname{tg} \alpha$ представим $\operatorname{tg} \alpha$ как $\frac{\sin \alpha}{\cos \alpha}$ (область допустимых значений $\cos \alpha \neq 0$).
$1 + \sin \alpha + \cos \alpha + \frac{\sin \alpha}{\cos \alpha}$.
Сгруппируем слагаемые:
$(1 + \cos \alpha) + (\sin \alpha + \frac{\sin \alpha}{\cos \alpha})$.
Во второй группе вынесем $\sin \alpha$ за скобки:
$(1 + \cos \alpha) + \sin \alpha \left(1 + \frac{1}{\cos \alpha}\right) = (1 + \cos \alpha) + \sin \alpha \left(\frac{\cos \alpha + 1}{\cos \alpha}\right)$.
Вынесем общий множитель $(1 + \cos \alpha)$ за скобки:
$(1 + \cos \alpha)\left(1 + \frac{\sin \alpha}{\cos \alpha}\right) = (1 + \cos \alpha)(1 + \operatorname{tg} \alpha)$.
Ответ: $(1 + \cos \alpha)(1 + \operatorname{tg} \alpha)$.

Помогло решение? Оставьте отзыв в комментариях ниже.

Присоединяйтесь к Телеграм-группе @top_gdz

Присоединиться

Мы подготовили для вас ответ c подробным объяснением домашего задания по алгебре за 10-11 класс, для упражнения номер 545 расположенного на странице 164 к учебнику 2014 года издания для учащихся школ и гимназий.

Теперь на нашем сайте ГДЗ.ТОП вы всегда легко и бесплатно найдёте условие с правильным ответом на вопрос «Как решить ДЗ» и «Как сделать» задание по алгебре к упражнению №545 (с. 164), авторов: Алимов (Шавкат Арифджанович), Колягин (Юрий Михайлович), Ткачева (Мария Владимировна), Федорова (Надежда Евгеньевна), Шабунин (Михаил Иванович), ФГОС (старый) базовый и углублённый уровень обучения учебного пособия издательства Просвещение.