Номер 549, страница 165 - гдз по алгебре 10-11 класс учебник Алимов, Колягин

Алгебра, 10-11 класс Учебник, авторы: Алимов Шавкат Арифджанович, Колягин Юрий Михайлович, Ткачева Мария Владимировна, Федорова Надежда Евгеньевна, Шабунин Михаил Иванович, издательство Просвещение, Москва, 2014

Авторы: Алимов Ш. А., Колягин Ю. М., Ткачева М. В., Федорова Н. Е., Шабунин М. И.

Тип: Учебник

Издательство: Просвещение

Год издания: 2014 - 2025

Уровень обучения: базовый и углублённый

Цвет обложки: синий, фиолетовый

ISBN: 978-5-09-112136-0

Допущено Министерством просвещения Российской Федерации

Математика: алгебра и начала математического анализа, геометрия

Популярные ГДЗ в 10 классе

Глава 5. Тригонометрические формулы. Упражнения к главе 5 - номер 549, страница 165.

№549 (с. 165)
Условие. №549 (с. 165)
скриншот условия
Алгебра, 10-11 класс Учебник, авторы: Алимов Шавкат Арифджанович, Колягин Юрий Михайлович, Ткачева Мария Владимировна, Федорова Надежда Евгеньевна, Шабунин Михаил Иванович, издательство Просвещение, Москва, 2014, страница 165, номер 549, Условие

549 1) $\cos \frac{23\pi}{4} - \sin \frac{15\pi}{4};$

2) $\sin \frac{25\pi}{3} - \operatorname{tg} \frac{10\pi}{3};$

3) $3 \cos 3660^\circ + \sin (-1560^\circ);$

4) $\cos (-945^\circ) + \operatorname{tg} 1035^\circ.$

Решение 1. №549 (с. 165)
Алгебра, 10-11 класс Учебник, авторы: Алимов Шавкат Арифджанович, Колягин Юрий Михайлович, Ткачева Мария Владимировна, Федорова Надежда Евгеньевна, Шабунин Михаил Иванович, издательство Просвещение, Москва, 2014, страница 165, номер 549, Решение 1
Алгебра, 10-11 класс Учебник, авторы: Алимов Шавкат Арифджанович, Колягин Юрий Михайлович, Ткачева Мария Владимировна, Федорова Надежда Евгеньевна, Шабунин Михаил Иванович, издательство Просвещение, Москва, 2014, страница 165, номер 549, Решение 1 (продолжение 2)
Алгебра, 10-11 класс Учебник, авторы: Алимов Шавкат Арифджанович, Колягин Юрий Михайлович, Ткачева Мария Владимировна, Федорова Надежда Евгеньевна, Шабунин Михаил Иванович, издательство Просвещение, Москва, 2014, страница 165, номер 549, Решение 1 (продолжение 3)
Алгебра, 10-11 класс Учебник, авторы: Алимов Шавкат Арифджанович, Колягин Юрий Михайлович, Ткачева Мария Владимировна, Федорова Надежда Евгеньевна, Шабунин Михаил Иванович, издательство Просвещение, Москва, 2014, страница 165, номер 549, Решение 1 (продолжение 4)
Решение 2. №549 (с. 165)
Алгебра, 10-11 класс Учебник, авторы: Алимов Шавкат Арифджанович, Колягин Юрий Михайлович, Ткачева Мария Владимировна, Федорова Надежда Евгеньевна, Шабунин Михаил Иванович, издательство Просвещение, Москва, 2014, страница 165, номер 549, Решение 2
Решение 4. №549 (с. 165)
Алгебра, 10-11 класс Учебник, авторы: Алимов Шавкат Арифджанович, Колягин Юрий Михайлович, Ткачева Мария Владимировна, Федорова Надежда Евгеньевна, Шабунин Михаил Иванович, издательство Просвещение, Москва, 2014, страница 165, номер 549, Решение 4
Алгебра, 10-11 класс Учебник, авторы: Алимов Шавкат Арифджанович, Колягин Юрий Михайлович, Ткачева Мария Владимировна, Федорова Надежда Евгеньевна, Шабунин Михаил Иванович, издательство Просвещение, Москва, 2014, страница 165, номер 549, Решение 4 (продолжение 2)
Решение 5. №549 (с. 165)
Алгебра, 10-11 класс Учебник, авторы: Алимов Шавкат Арифджанович, Колягин Юрий Михайлович, Ткачева Мария Владимировна, Федорова Надежда Евгеньевна, Шабунин Михаил Иванович, издательство Просвещение, Москва, 2014, страница 165, номер 549, Решение 5
Решение 6. №549 (с. 165)
Алгебра, 10-11 класс Учебник, авторы: Алимов Шавкат Арифджанович, Колягин Юрий Михайлович, Ткачева Мария Владимировна, Федорова Надежда Евгеньевна, Шабунин Михаил Иванович, издательство Просвещение, Москва, 2014, страница 165, номер 549, Решение 6
Решение 7. №549 (с. 165)
Алгебра, 10-11 класс Учебник, авторы: Алимов Шавкат Арифджанович, Колягин Юрий Михайлович, Ткачева Мария Владимировна, Федорова Надежда Евгеньевна, Шабунин Михаил Иванович, издательство Просвещение, Москва, 2014, страница 165, номер 549, Решение 7
Решение 8. №549 (с. 165)

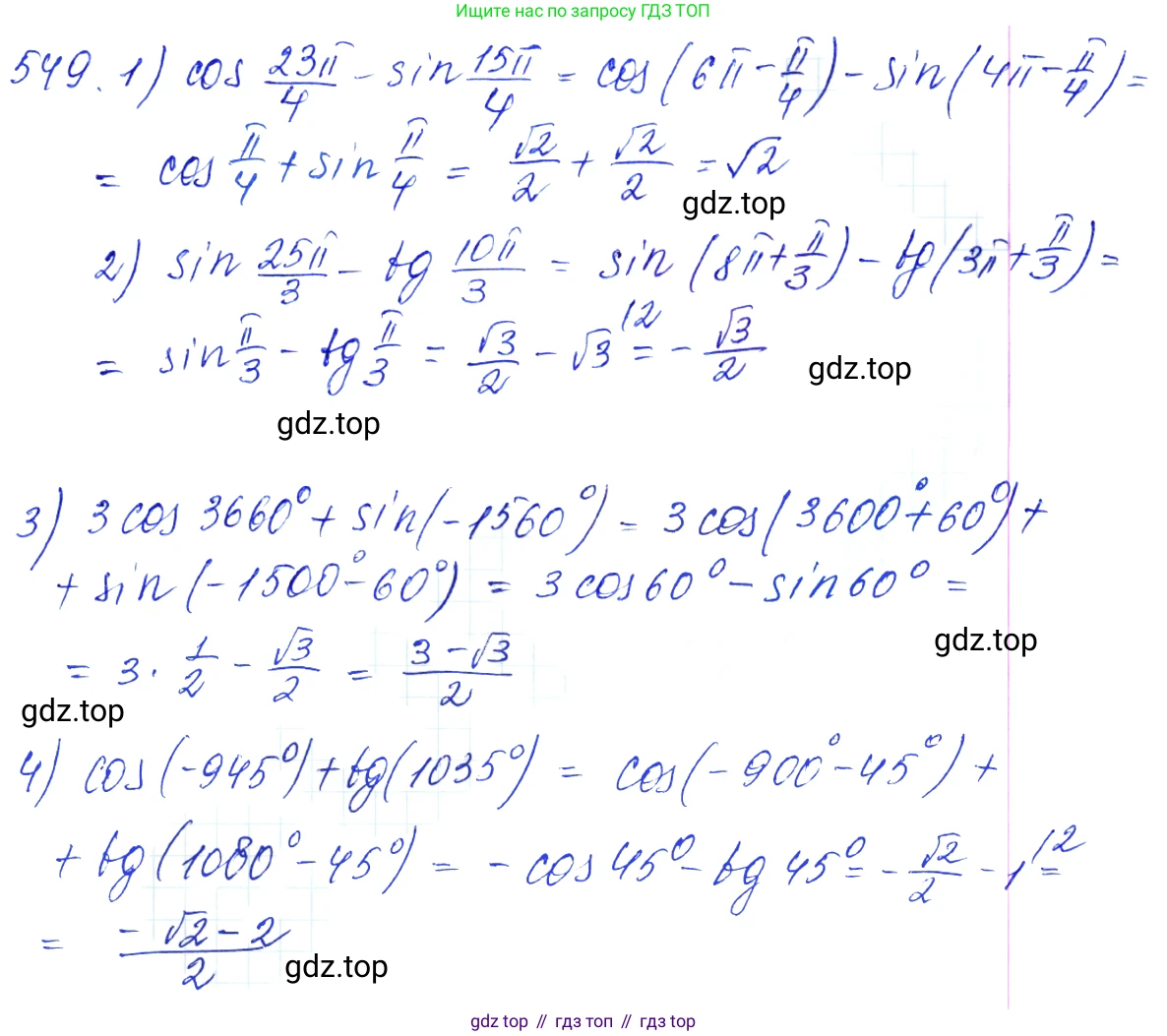
1) Вычислим значение выражения $ \cos \frac{23\pi}{4} - \sin \frac{15\pi}{4} $.

Для упрощения аргументов тригонометрических функций воспользуемся их периодичностью. Период функций синус и косинус равен $2\pi$.

Упростим $ \cos \frac{23\pi}{4} $. Выделим целое число оборотов ($2\pi$):

$ \frac{23\pi}{4} = \frac{24\pi - \pi}{4} = 6\pi - \frac{\pi}{4} = 3 \cdot 2\pi - \frac{\pi}{4} $.

Используя формулу приведения $ \cos(2k\pi + \alpha) = \cos(\alpha) $ и четность функции косинуса $ \cos(-\alpha) = \cos(\alpha) $, получаем:

$ \cos \frac{23\pi}{4} = \cos(6\pi - \frac{\pi}{4}) = \cos(-\frac{\pi}{4}) = \cos(\frac{\pi}{4}) = \frac{\sqrt{2}}{2} $.

Теперь упростим $ \sin \frac{15\pi}{4} $:

$ \frac{15\pi}{4} = \frac{16\pi - \pi}{4} = 4\pi - \frac{\pi}{4} = 2 \cdot 2\pi - \frac{\pi}{4} $.

Используя формулу приведения $ \sin(2k\pi + \alpha) = \sin(\alpha) $ и нечетность функции синуса $ \sin(-\alpha) = -\sin(\alpha) $, получаем:

$ \sin \frac{15\pi}{4} = \sin(4\pi - \frac{\pi}{4}) = \sin(-\frac{\pi}{4}) = -\sin(\frac{\pi}{4}) = -\frac{\sqrt{2}}{2} $.

Подставим полученные значения в исходное выражение:

$ \cos \frac{23\pi}{4} - \sin \frac{15\pi}{4} = \frac{\sqrt{2}}{2} - (-\frac{\sqrt{2}}{2}) = \frac{\sqrt{2}}{2} + \frac{\sqrt{2}}{2} = 2 \cdot \frac{\sqrt{2}}{2} = \sqrt{2} $.

Ответ: $ \sqrt{2} $

2) Вычислим значение выражения $ \sin \frac{25\pi}{3} - \operatorname{tg} \frac{10\pi}{3} $.

Упростим каждый член выражения, используя периодичность.

Для $ \sin \frac{25\pi}{3} $ (период $2\pi$):

$ \frac{25\pi}{3} = \frac{24\pi + \pi}{3} = 8\pi + \frac{\pi}{3} = 4 \cdot 2\pi + \frac{\pi}{3} $.

$ \sin \frac{25\pi}{3} = \sin(8\pi + \frac{\pi}{3}) = \sin(\frac{\pi}{3}) = \frac{\sqrt{3}}{2} $.

Для $ \operatorname{tg} \frac{10\pi}{3} $ (период $\pi$):

$ \frac{10\pi}{3} = \frac{9\pi + \pi}{3} = 3\pi + \frac{\pi}{3} $.

$ \operatorname{tg} \frac{10\pi}{3} = \operatorname{tg}(3\pi + \frac{\pi}{3}) = \operatorname{tg}(\frac{\pi}{3}) = \sqrt{3} $.

Теперь вычислим разность:

$ \sin \frac{25\pi}{3} - \operatorname{tg} \frac{10\pi}{3} = \frac{\sqrt{3}}{2} - \sqrt{3} = \frac{\sqrt{3}}{2} - \frac{2\sqrt{3}}{2} = -\frac{\sqrt{3}}{2} $.

Ответ: $ -\frac{\sqrt{3}}{2} $

3) Вычислим значение выражения $ 3 \cos 3660^\circ + \sin (-1560^\circ) $.

Упростим аргументы, используя периодичность ($360^\circ$) и свойства четности/нечетности.

Для $ \cos 3660^\circ $:

$ 3660^\circ = 10 \cdot 360^\circ + 60^\circ $.

$ \cos 3660^\circ = \cos(10 \cdot 360^\circ + 60^\circ) = \cos(60^\circ) = \frac{1}{2} $.

Для $ \sin(-1560^\circ) $. Синус — нечетная функция, поэтому $ \sin(-1560^\circ) = -\sin(1560^\circ) $.

Упростим $ \sin(1560^\circ) $:

$ 1560^\circ = 4 \cdot 360^\circ + 120^\circ = 1440^\circ + 120^\circ $.

$ \sin(1560^\circ) = \sin(4 \cdot 360^\circ + 120^\circ) = \sin(120^\circ) $.

Используем формулу приведения $ \sin(180^\circ - \alpha) = \sin(\alpha) $:

$ \sin(120^\circ) = \sin(180^\circ - 60^\circ) = \sin(60^\circ) = \frac{\sqrt{3}}{2} $.

Следовательно, $ \sin(-1560^\circ) = -\frac{\sqrt{3}}{2} $.

Подставим значения в исходное выражение:

$ 3 \cos 3660^\circ + \sin (-1560^\circ) = 3 \cdot \frac{1}{2} + (-\frac{\sqrt{3}}{2}) = \frac{3}{2} - \frac{\sqrt{3}}{2} = \frac{3 - \sqrt{3}}{2} $.

Ответ: $ \frac{3 - \sqrt{3}}{2} $

4) Вычислим значение выражения $ \cos (-945^\circ) + \operatorname{tg} 1035^\circ $.

Упростим каждый член выражения.

Для $ \cos(-945^\circ) $. Косинус — четная функция, поэтому $ \cos(-945^\circ) = \cos(945^\circ) $. Период косинуса $360^\circ$.

$ 945^\circ = 2 \cdot 360^\circ + 225^\circ = 720^\circ + 225^\circ $.

$ \cos(945^\circ) = \cos(2 \cdot 360^\circ + 225^\circ) = \cos(225^\circ) $.

Используем формулу приведения $ \cos(180^\circ + \alpha) = -\cos(\alpha) $:

$ \cos(225^\circ) = \cos(180^\circ + 45^\circ) = -\cos(45^\circ) = -\frac{\sqrt{2}}{2} $.

Для $ \operatorname{tg} 1035^\circ $. Период тангенса $180^\circ$.

$ 1035^\circ = 5 \cdot 180^\circ + 135^\circ = 900^\circ + 135^\circ $.

$ \operatorname{tg}(1035^\circ) = \operatorname{tg}(5 \cdot 180^\circ + 135^\circ) = \operatorname{tg}(135^\circ) $.

Используем формулу приведения $ \operatorname{tg}(180^\circ - \alpha) = -\operatorname{tg}(\alpha) $:

$ \operatorname{tg}(135^\circ) = \operatorname{tg}(180^\circ - 45^\circ) = -\operatorname{tg}(45^\circ) = -1 $.

Подставим значения в исходное выражение:

$ \cos (-945^\circ) + \operatorname{tg} 1035^\circ = -\frac{\sqrt{2}}{2} + (-1) = -1 - \frac{\sqrt{2}}{2} $.

Ответ: $ -1 - \frac{\sqrt{2}}{2} $

Помогло решение? Оставьте отзыв в комментариях ниже.

Присоединяйтесь к Телеграм-группе @top_gdz

Присоединиться

Мы подготовили для вас ответ c подробным объяснением домашего задания по алгебре за 10-11 класс, для упражнения номер 549 расположенного на странице 165 к учебнику 2014 года издания для учащихся школ и гимназий.

Теперь на нашем сайте ГДЗ.ТОП вы всегда легко и бесплатно найдёте условие с правильным ответом на вопрос «Как решить ДЗ» и «Как сделать» задание по алгебре к упражнению №549 (с. 165), авторов: Алимов (Шавкат Арифджанович), Колягин (Юрий Михайлович), Ткачева (Мария Владимировна), Федорова (Надежда Евгеньевна), Шабунин (Михаил Иванович), ФГОС (старый) базовый и углублённый уровень обучения учебного пособия издательства Просвещение.