Номер 554, страница 165 - гдз по алгебре 10-11 класс учебник Алимов, Колягин

Алгебра, 10-11 класс Учебник, авторы: Алимов Шавкат Арифджанович, Колягин Юрий Михайлович, Ткачева Мария Владимировна, Федорова Надежда Евгеньевна, Шабунин Михаил Иванович, издательство Просвещение, Москва, 2014

Авторы: Алимов Ш. А., Колягин Ю. М., Ткачева М. В., Федорова Н. Е., Шабунин М. И.

Тип: Учебник

Издательство: Просвещение

Год издания: 2014 - 2025

Уровень обучения: базовый и углублённый

Цвет обложки: синий, фиолетовый

ISBN: 978-5-09-112136-0

Допущено Министерством просвещения Российской Федерации

Математика: алгебра и начала математического анализа, геометрия

Популярные ГДЗ в 10 классе

Глава 5. Тригонометрические формулы. Упражнения к главе 5 - номер 554, страница 165.

№554 (с. 165)
Условие. №554 (с. 165)
скриншот условия
Алгебра, 10-11 класс Учебник, авторы: Алимов Шавкат Арифджанович, Колягин Юрий Михайлович, Ткачева Мария Владимировна, Федорова Надежда Евгеньевна, Шабунин Михаил Иванович, издательство Просвещение, Москва, 2014, страница 165, номер 554, Условие

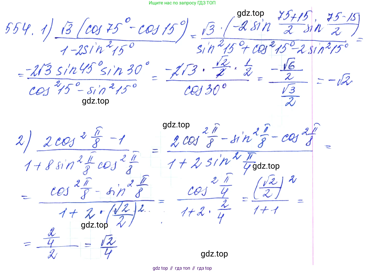
554 1) $\frac{\sqrt{3}(\cos 75^\circ - \cos 15^\circ)}{1 - 2 \sin^2 15^\circ}$

2) $\frac{2 \cos^2 \frac{\pi}{8} - 1}{1 + 8 \sin^2 \frac{\pi}{8} \cos^2 \frac{\pi}{8}}$

Решение 1. №554 (с. 165)
Алгебра, 10-11 класс Учебник, авторы: Алимов Шавкат Арифджанович, Колягин Юрий Михайлович, Ткачева Мария Владимировна, Федорова Надежда Евгеньевна, Шабунин Михаил Иванович, издательство Просвещение, Москва, 2014, страница 165, номер 554, Решение 1
Алгебра, 10-11 класс Учебник, авторы: Алимов Шавкат Арифджанович, Колягин Юрий Михайлович, Ткачева Мария Владимировна, Федорова Надежда Евгеньевна, Шабунин Михаил Иванович, издательство Просвещение, Москва, 2014, страница 165, номер 554, Решение 1 (продолжение 2)
Решение 2. №554 (с. 165)
Алгебра, 10-11 класс Учебник, авторы: Алимов Шавкат Арифджанович, Колягин Юрий Михайлович, Ткачева Мария Владимировна, Федорова Надежда Евгеньевна, Шабунин Михаил Иванович, издательство Просвещение, Москва, 2014, страница 165, номер 554, Решение 2
Решение 3. №554 (с. 165)
Алгебра, 10-11 класс Учебник, авторы: Алимов Шавкат Арифджанович, Колягин Юрий Михайлович, Ткачева Мария Владимировна, Федорова Надежда Евгеньевна, Шабунин Михаил Иванович, издательство Просвещение, Москва, 2014, страница 165, номер 554, Решение 3
Решение 4. №554 (с. 165)
Алгебра, 10-11 класс Учебник, авторы: Алимов Шавкат Арифджанович, Колягин Юрий Михайлович, Ткачева Мария Владимировна, Федорова Надежда Евгеньевна, Шабунин Михаил Иванович, издательство Просвещение, Москва, 2014, страница 165, номер 554, Решение 4
Решение 5. №554 (с. 165)
Алгебра, 10-11 класс Учебник, авторы: Алимов Шавкат Арифджанович, Колягин Юрий Михайлович, Ткачева Мария Владимировна, Федорова Надежда Евгеньевна, Шабунин Михаил Иванович, издательство Просвещение, Москва, 2014, страница 165, номер 554, Решение 5
Решение 6. №554 (с. 165)
Алгебра, 10-11 класс Учебник, авторы: Алимов Шавкат Арифджанович, Колягин Юрий Михайлович, Ткачева Мария Владимировна, Федорова Надежда Евгеньевна, Шабунин Михаил Иванович, издательство Просвещение, Москва, 2014, страница 165, номер 554, Решение 6
Решение 7. №554 (с. 165)
Алгебра, 10-11 класс Учебник, авторы: Алимов Шавкат Арифджанович, Колягин Юрий Михайлович, Ткачева Мария Владимировна, Федорова Надежда Евгеньевна, Шабунин Михаил Иванович, издательство Просвещение, Москва, 2014, страница 165, номер 554, Решение 7
Решение 8. №554 (с. 165)

1) Для решения выражения $ \frac{\sqrt{3} (\cos 75^\circ - \cos 15^\circ)}{1 - 2 \sin^2 15^\circ} $ воспользуемся тригонометрическими формулами.
Сначала упростим числитель. Применим формулу разности косинусов: $ \cos \alpha - \cos \beta = -2 \sin\frac{\alpha+\beta}{2} \sin\frac{\alpha-\beta}{2} $.
Для $ \alpha = 75^\circ $ и $ \beta = 15^\circ $ получаем: $ \cos 75^\circ - \cos 15^\circ = -2 \sin\frac{75^\circ+15^\circ}{2} \sin\frac{75^\circ-15^\circ}{2} = -2 \sin\frac{90^\circ}{2} \sin\frac{60^\circ}{2} = -2 \sin 45^\circ \sin 30^\circ $.
Подставим табличные значения $ \sin 45^\circ = \frac{\sqrt{2}}{2} $ и $ \sin 30^\circ = \frac{1}{2} $: $ -2 \cdot \frac{\sqrt{2}}{2} \cdot \frac{1}{2} = -\frac{\sqrt{2}}{2} $.
Таким образом, весь числитель равен $ \sqrt{3} \cdot (-\frac{\sqrt{2}}{2}) = -\frac{\sqrt{6}}{2} $.
Теперь упростим знаменатель. Используем формулу косинуса двойного угла: $ \cos 2\alpha = 1 - 2 \sin^2 \alpha $.
Для $ \alpha = 15^\circ $: $ 1 - 2 \sin^2 15^\circ = \cos(2 \cdot 15^\circ) = \cos 30^\circ = \frac{\sqrt{3}}{2} $.
Теперь найдем значение всего выражения, разделив числитель на знаменатель: $ \frac{-\frac{\sqrt{6}}{2}}{\frac{\sqrt{3}}{2}} = -\frac{\sqrt{6}}{2} \cdot \frac{2}{\sqrt{3}} = -\frac{\sqrt{6}}{\sqrt{3}} = -\sqrt{\frac{6}{3}} = -\sqrt{2} $.
Ответ: $ -\sqrt{2} $

2) Для решения выражения $ \frac{2 \cos^2 \frac{\pi}{8} - 1}{1 + 8 \sin^2 \frac{\pi}{8} \cos^2 \frac{\pi}{8}} $ также воспользуемся тригонометрическими формулами.
Упростим числитель, используя формулу косинуса двойного угла: $ \cos 2\alpha = 2 \cos^2 \alpha - 1 $.
Для $ \alpha = \frac{\pi}{8} $: $ 2 \cos^2 \frac{\pi}{8} - 1 = \cos(2 \cdot \frac{\pi}{8}) = \cos\frac{\pi}{4} = \frac{\sqrt{2}}{2} $.
Теперь упростим знаменатель. Используем формулу синуса двойного угла: $ \sin 2\alpha = 2 \sin \alpha \cos \alpha $.
Преобразуем выражение в знаменателе: $ 1 + 8 \sin^2 \frac{\pi}{8} \cos^2 \frac{\pi}{8} = 1 + 2 \cdot (4 \sin^2 \frac{\pi}{8} \cos^2 \frac{\pi}{8}) = 1 + 2 \cdot (2 \sin \frac{\pi}{8} \cos \frac{\pi}{8})^2 $.
Применив формулу синуса двойного угла для $ \alpha = \frac{\pi}{8} $, получаем: $ 1 + 2 \cdot (\sin(2 \cdot \frac{\pi}{8}))^2 = 1 + 2 \sin^2 \frac{\pi}{4} $.
Подставим табличное значение $ \sin \frac{\pi}{4} = \frac{\sqrt{2}}{2} $: $ 1 + 2 \cdot (\frac{\sqrt{2}}{2})^2 = 1 + 2 \cdot \frac{2}{4} = 1 + 2 \cdot \frac{1}{2} = 1 + 1 = 2 $.
Теперь найдем значение всего выражения, разделив упрощенный числитель на упрощенный знаменатель: $ \frac{\frac{\sqrt{2}}{2}}{2} = \frac{\sqrt{2}}{4} $.
Ответ: $ \frac{\sqrt{2}}{4} $

Помогло решение? Оставьте отзыв в комментариях ниже.

Присоединяйтесь к Телеграм-группе @top_gdz

Присоединиться

Мы подготовили для вас ответ c подробным объяснением домашего задания по алгебре за 10-11 класс, для упражнения номер 554 расположенного на странице 165 к учебнику 2014 года издания для учащихся школ и гимназий.

Теперь на нашем сайте ГДЗ.ТОП вы всегда легко и бесплатно найдёте условие с правильным ответом на вопрос «Как решить ДЗ» и «Как сделать» задание по алгебре к упражнению №554 (с. 165), авторов: Алимов (Шавкат Арифджанович), Колягин (Юрий Михайлович), Ткачева (Мария Владимировна), Федорова (Надежда Евгеньевна), Шабунин (Михаил Иванович), ФГОС (старый) базовый и углублённый уровень обучения учебного пособия издательства Просвещение.