Номер 551, страница 165 - гдз по алгебре 10-11 класс учебник Алимов, Колягин

Алгебра, 10-11 класс Учебник, авторы: Алимов Шавкат Арифджанович, Колягин Юрий Михайлович, Ткачева Мария Владимировна, Федорова Надежда Евгеньевна, Шабунин Михаил Иванович, издательство Просвещение, Москва, 2014

Авторы: Алимов Ш. А., Колягин Ю. М., Ткачева М. В., Федорова Н. Е., Шабунин М. И.

Тип: Учебник

Издательство: Просвещение

Год издания: 2014 - 2026

Уровень обучения: базовый и углублённый

Цвет обложки: синий, фиолетовый

ISBN: 978-5-09-112136-0

Допущено Министерством просвещения Российской Федерации

Математика: алгебра и начала математического анализа, геометрия

Глава 5. Тригонометрические формулы. Упражнения к главе 5 - номер 551, страница 165.

№551 (с. 165)
Условие. №551 (с. 165)
скриншот условия
Алгебра, 10-11 класс Учебник, авторы: Алимов Шавкат Арифджанович, Колягин Юрий Михайлович, Ткачева Мария Владимировна, Федорова Надежда Евгеньевна, Шабунин Михаил Иванович, издательство Просвещение, Москва, 2014, страница 165, номер 551, Условие

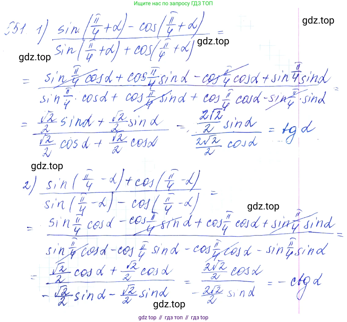
551 1) $\frac{\sin \left(\frac{\pi}{4}+\alpha\right)-\cos \left(\frac{\pi}{4}+\alpha\right)}{\sin \left(\frac{\pi}{4}+\alpha\right)+\cos \left(\frac{\pi}{4}+\alpha\right)};$

2) $\frac{\sin \left(\frac{\pi}{4}-\alpha\right)+\cos \left(\frac{\pi}{4}-\alpha\right)}{\sin \left(\frac{\pi}{4}-\alpha\right)-\cos \left(\frac{\pi}{4}-\alpha\right)}.$

Решение 1. №551 (с. 165)
Алгебра, 10-11 класс Учебник, авторы: Алимов Шавкат Арифджанович, Колягин Юрий Михайлович, Ткачева Мария Владимировна, Федорова Надежда Евгеньевна, Шабунин Михаил Иванович, издательство Просвещение, Москва, 2014, страница 165, номер 551, Решение 1
Алгебра, 10-11 класс Учебник, авторы: Алимов Шавкат Арифджанович, Колягин Юрий Михайлович, Ткачева Мария Владимировна, Федорова Надежда Евгеньевна, Шабунин Михаил Иванович, издательство Просвещение, Москва, 2014, страница 165, номер 551, Решение 1 (продолжение 2)
Решение 2. №551 (с. 165)
Алгебра, 10-11 класс Учебник, авторы: Алимов Шавкат Арифджанович, Колягин Юрий Михайлович, Ткачева Мария Владимировна, Федорова Надежда Евгеньевна, Шабунин Михаил Иванович, издательство Просвещение, Москва, 2014, страница 165, номер 551, Решение 2
Решение 3. №551 (с. 165)
Алгебра, 10-11 класс Учебник, авторы: Алимов Шавкат Арифджанович, Колягин Юрий Михайлович, Ткачева Мария Владимировна, Федорова Надежда Евгеньевна, Шабунин Михаил Иванович, издательство Просвещение, Москва, 2014, страница 165, номер 551, Решение 3
Решение 4. №551 (с. 165)
Алгебра, 10-11 класс Учебник, авторы: Алимов Шавкат Арифджанович, Колягин Юрий Михайлович, Ткачева Мария Владимировна, Федорова Надежда Евгеньевна, Шабунин Михаил Иванович, издательство Просвещение, Москва, 2014, страница 165, номер 551, Решение 4
Решение 5. №551 (с. 165)
Алгебра, 10-11 класс Учебник, авторы: Алимов Шавкат Арифджанович, Колягин Юрий Михайлович, Ткачева Мария Владимировна, Федорова Надежда Евгеньевна, Шабунин Михаил Иванович, издательство Просвещение, Москва, 2014, страница 165, номер 551, Решение 5
Решение 6. №551 (с. 165)
Алгебра, 10-11 класс Учебник, авторы: Алимов Шавкат Арифджанович, Колягин Юрий Михайлович, Ткачева Мария Владимировна, Федорова Надежда Евгеньевна, Шабунин Михаил Иванович, издательство Просвещение, Москва, 2014, страница 165, номер 551, Решение 6
Решение 7. №551 (с. 165)
Алгебра, 10-11 класс Учебник, авторы: Алимов Шавкат Арифджанович, Колягин Юрий Михайлович, Ткачева Мария Владимировна, Федорова Надежда Евгеньевна, Шабунин Михаил Иванович, издательство Просвещение, Москва, 2014, страница 165, номер 551, Решение 7
Решение 8. №551 (с. 165)

1) Упростим выражение $ \frac{\sin(\frac{\pi}{4} + \alpha) - \cos(\frac{\pi}{4} + \alpha)}{\sin(\frac{\pi}{4} + \alpha) + \cos(\frac{\pi}{4} + \alpha)} $.
Для этого воспользуемся формулами синуса и косинуса суммы:
$ \sin(x+y) = \sin x \cos y + \cos x \sin y $
$ \cos(x+y) = \cos x \cos y - \sin x \sin y $
В нашем случае $ x = \frac{\pi}{4} $ и $ y = \alpha $. Как известно, $ \sin\frac{\pi}{4} = \frac{\sqrt{2}}{2} $ и $ \cos\frac{\pi}{4} = \frac{\sqrt{2}}{2} $.
Разложим выражения в числителе и знаменателе:
$ \sin(\frac{\pi}{4} + \alpha) = \sin\frac{\pi}{4}\cos\alpha + \cos\frac{\pi}{4}\sin\alpha = \frac{\sqrt{2}}{2}\cos\alpha + \frac{\sqrt{2}}{2}\sin\alpha = \frac{\sqrt{2}}{2}(\cos\alpha + \sin\alpha) $
$ \cos(\frac{\pi}{4} + \alpha) = \cos\frac{\pi}{4}\cos\alpha - \sin\frac{\pi}{4}\sin\alpha = \frac{\sqrt{2}}{2}\cos\alpha - \frac{\sqrt{2}}{2}\sin\alpha = \frac{\sqrt{2}}{2}(\cos\alpha - \sin\alpha) $
Теперь подставим полученные выражения в исходную дробь.
Числитель дроби:
$ \sin(\frac{\pi}{4} + \alpha) - \cos(\frac{\pi}{4} + \alpha) = \frac{\sqrt{2}}{2}(\cos\alpha + \sin\alpha) - \frac{\sqrt{2}}{2}(\cos\alpha - \sin\alpha) = \frac{\sqrt{2}}{2}(\cos\alpha + \sin\alpha - \cos\alpha + \sin\alpha) = \frac{\sqrt{2}}{2}(2\sin\alpha) = \sqrt{2}\sin\alpha $
Знаменатель дроби:
$ \sin(\frac{\pi}{4} + \alpha) + \cos(\frac{\pi}{4} + \alpha) = \frac{\sqrt{2}}{2}(\cos\alpha + \sin\alpha) + \frac{\sqrt{2}}{2}(\cos\alpha - \sin\alpha) = \frac{\sqrt{2}}{2}(\cos\alpha + \sin\alpha + \cos\alpha - \sin\alpha) = \frac{\sqrt{2}}{2}(2\cos\alpha) = \sqrt{2}\cos\alpha $
Собираем дробь обратно:
$ \frac{\sqrt{2}\sin\alpha}{\sqrt{2}\cos\alpha} = \frac{\sin\alpha}{\cos\alpha} = \tan\alpha $
Ответ: $ \tan\alpha $

2) Упростим выражение $ \frac{\sin(\frac{\pi}{4} - \alpha) + \cos(\frac{\pi}{4} - \alpha)}{\sin(\frac{\pi}{4} - \alpha) - \cos(\frac{\pi}{4} - \alpha)} $.
Для этого воспользуемся формулами синуса и косинуса разности:
$ \sin(x-y) = \sin x \cos y - \cos x \sin y $
$ \cos(x-y) = \cos x \cos y + \sin x \sin y $
В нашем случае $ x = \frac{\pi}{4} $ и $ y = \alpha $. Как известно, $ \sin\frac{\pi}{4} = \frac{\sqrt{2}}{2} $ и $ \cos\frac{\pi}{4} = \frac{\sqrt{2}}{2} $.
Разложим выражения в числителе и знаменателе:
$ \sin(\frac{\pi}{4} - \alpha) = \sin\frac{\pi}{4}\cos\alpha - \cos\frac{\pi}{4}\sin\alpha = \frac{\sqrt{2}}{2}\cos\alpha - \frac{\sqrt{2}}{2}\sin\alpha = \frac{\sqrt{2}}{2}(\cos\alpha - \sin\alpha) $
$ \cos(\frac{\pi}{4} - \alpha) = \cos\frac{\pi}{4}\cos\alpha + \sin\frac{\pi}{4}\sin\alpha = \frac{\sqrt{2}}{2}\cos\alpha + \frac{\sqrt{2}}{2}\sin\alpha = \frac{\sqrt{2}}{2}(\cos\alpha + \sin\alpha) $
Теперь подставим полученные выражения в исходную дробь.
Числитель дроби:
$ \sin(\frac{\pi}{4} - \alpha) + \cos(\frac{\pi}{4} - \alpha) = \frac{\sqrt{2}}{2}(\cos\alpha - \sin\alpha) + \frac{\sqrt{2}}{2}(\cos\alpha + \sin\alpha) = \frac{\sqrt{2}}{2}(\cos\alpha - \sin\alpha + \cos\alpha + \sin\alpha) = \frac{\sqrt{2}}{2}(2\cos\alpha) = \sqrt{2}\cos\alpha $
Знаменатель дроби:
$ \sin(\frac{\pi}{4} - \alpha) - \cos(\frac{\pi}{4} - \alpha) = \frac{\sqrt{2}}{2}(\cos\alpha - \sin\alpha) - \frac{\sqrt{2}}{2}(\cos\alpha + \sin\alpha) = \frac{\sqrt{2}}{2}(\cos\alpha - \sin\alpha - \cos\alpha - \sin\alpha) = \frac{\sqrt{2}}{2}(-2\sin\alpha) = -\sqrt{2}\sin\alpha $
Собираем дробь обратно:
$ \frac{\sqrt{2}\cos\alpha}{-\sqrt{2}\sin\alpha} = -\frac{\cos\alpha}{\sin\alpha} = -\cot\alpha $
Ответ: $ -\cot\alpha $

Помогло решение? Оставьте отзыв в комментариях ниже.

Присоединяйтесь к Телеграм-группе @top_gdz

Присоединиться

Мы подготовили для вас ответ c подробным объяснением домашего задания по алгебре за 10-11 класс, для упражнения номер 551 расположенного на странице 165 к учебнику 2014 года издания для учащихся школ и гимназий.

Теперь на нашем сайте ГДЗ.ТОП вы всегда легко и бесплатно найдёте условие с правильным ответом на вопрос «Как решить ДЗ» и «Как сделать» задание по алгебре к упражнению №551 (с. 165), авторов: Алимов (Шавкат Арифджанович), Колягин (Юрий Михайлович), Ткачева (Мария Владимировна), Федорова (Надежда Евгеньевна), Шабунин (Михаил Иванович), ФГОС (старый) базовый и углублённый уровень обучения учебного пособия издательства Просвещение.