Номер 546, страница 164 - гдз по алгебре 10-11 класс учебник Алимов, Колягин

Алгебра, 10-11 класс Учебник, авторы: Алимов Шавкат Арифджанович, Колягин Юрий Михайлович, Ткачева Мария Владимировна, Федорова Надежда Евгеньевна, Шабунин Михаил Иванович, издательство Просвещение, Москва, 2014

Авторы: Алимов Ш. А., Колягин Ю. М., Ткачева М. В., Федорова Н. Е., Шабунин М. И.

Тип: Учебник

Издательство: Просвещение

Год издания: 2014 - 2025

Уровень обучения: базовый и углублённый

Цвет обложки: синий, фиолетовый

ISBN: 978-5-09-112136-0

Допущено Министерством просвещения Российской Федерации

Математика: алгебра и начала математического анализа, геометрия

Популярные ГДЗ в 10 классе

Глава 5. Тригонометрические формулы. Упражнения к главе 5 - номер 546, страница 164.

№546 (с. 164)
Условие. №546 (с. 164)
скриншот условия
Алгебра, 10-11 класс Учебник, авторы: Алимов Шавкат Арифджанович, Колягин Юрий Михайлович, Ткачева Мария Владимировна, Федорова Надежда Евгеньевна, Шабунин Михаил Иванович, издательство Просвещение, Москва, 2014, страница 164, номер 546, Условие
Алгебра, 10-11 класс Учебник, авторы: Алимов Шавкат Арифджанович, Колягин Юрий Михайлович, Ткачева Мария Владимировна, Федорова Надежда Евгеньевна, Шабунин Михаил Иванович, издательство Просвещение, Москва, 2014, страница 164, номер 546, Условие (продолжение 2)

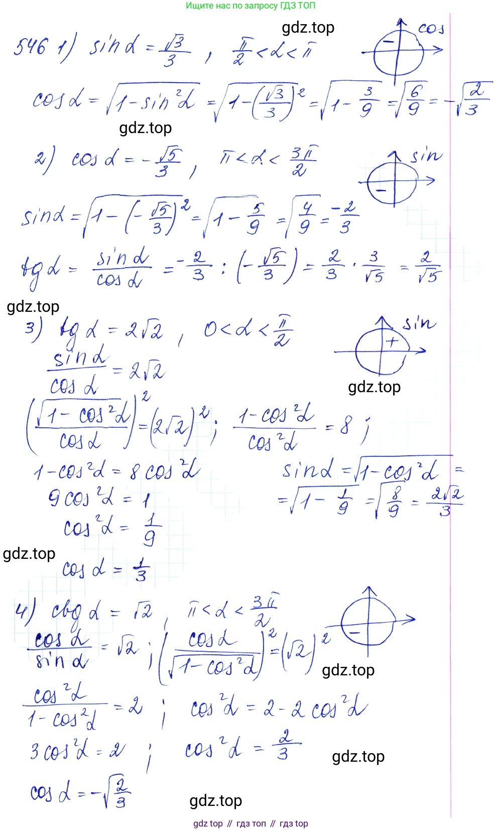
546 Найти:

1) $ \cos \alpha $, если $ \sin \alpha = \frac{\sqrt{3}}{3} $ и $ \frac{\pi}{2} < \alpha < \pi $;

2) $ \operatorname{tg} \alpha $, если $ \cos \alpha = - \frac{\sqrt{5}}{3} $ и $ \pi < \alpha < \frac{3\pi}{2} $;

3) $ \sin \alpha $, если $ \operatorname{tg} \alpha = 2\sqrt{2} $ и $ 0 < \alpha < \frac{\pi}{2} $;

4) $ \cos \alpha $, если $ \operatorname{ctg} \alpha = \sqrt{2} $ и $ \pi < \alpha < \frac{3\pi}{2} $.

Решение 1. №546 (с. 164)
Алгебра, 10-11 класс Учебник, авторы: Алимов Шавкат Арифджанович, Колягин Юрий Михайлович, Ткачева Мария Владимировна, Федорова Надежда Евгеньевна, Шабунин Михаил Иванович, издательство Просвещение, Москва, 2014, страница 164, номер 546, Решение 1
Алгебра, 10-11 класс Учебник, авторы: Алимов Шавкат Арифджанович, Колягин Юрий Михайлович, Ткачева Мария Владимировна, Федорова Надежда Евгеньевна, Шабунин Михаил Иванович, издательство Просвещение, Москва, 2014, страница 164, номер 546, Решение 1 (продолжение 2)
Алгебра, 10-11 класс Учебник, авторы: Алимов Шавкат Арифджанович, Колягин Юрий Михайлович, Ткачева Мария Владимировна, Федорова Надежда Евгеньевна, Шабунин Михаил Иванович, издательство Просвещение, Москва, 2014, страница 164, номер 546, Решение 1 (продолжение 3)
Алгебра, 10-11 класс Учебник, авторы: Алимов Шавкат Арифджанович, Колягин Юрий Михайлович, Ткачева Мария Владимировна, Федорова Надежда Евгеньевна, Шабунин Михаил Иванович, издательство Просвещение, Москва, 2014, страница 164, номер 546, Решение 1 (продолжение 4)
Решение 2. №546 (с. 164)
Алгебра, 10-11 класс Учебник, авторы: Алимов Шавкат Арифджанович, Колягин Юрий Михайлович, Ткачева Мария Владимировна, Федорова Надежда Евгеньевна, Шабунин Михаил Иванович, издательство Просвещение, Москва, 2014, страница 164, номер 546, Решение 2
Алгебра, 10-11 класс Учебник, авторы: Алимов Шавкат Арифджанович, Колягин Юрий Михайлович, Ткачева Мария Владимировна, Федорова Надежда Евгеньевна, Шабунин Михаил Иванович, издательство Просвещение, Москва, 2014, страница 164, номер 546, Решение 2 (продолжение 2)
Решение 4. №546 (с. 164)
Алгебра, 10-11 класс Учебник, авторы: Алимов Шавкат Арифджанович, Колягин Юрий Михайлович, Ткачева Мария Владимировна, Федорова Надежда Евгеньевна, Шабунин Михаил Иванович, издательство Просвещение, Москва, 2014, страница 164, номер 546, Решение 4
Решение 5. №546 (с. 164)
Алгебра, 10-11 класс Учебник, авторы: Алимов Шавкат Арифджанович, Колягин Юрий Михайлович, Ткачева Мария Владимировна, Федорова Надежда Евгеньевна, Шабунин Михаил Иванович, издательство Просвещение, Москва, 2014, страница 164, номер 546, Решение 5
Решение 6. №546 (с. 164)
Алгебра, 10-11 класс Учебник, авторы: Алимов Шавкат Арифджанович, Колягин Юрий Михайлович, Ткачева Мария Владимировна, Федорова Надежда Евгеньевна, Шабунин Михаил Иванович, издательство Просвещение, Москва, 2014, страница 164, номер 546, Решение 6
Решение 7. №546 (с. 164)
Алгебра, 10-11 класс Учебник, авторы: Алимов Шавкат Арифджанович, Колягин Юрий Михайлович, Ткачева Мария Владимировна, Федорова Надежда Евгеньевна, Шабунин Михаил Иванович, издательство Просвещение, Москва, 2014, страница 164, номер 546, Решение 7 Алгебра, 10-11 класс Учебник, авторы: Алимов Шавкат Арифджанович, Колягин Юрий Михайлович, Ткачева Мария Владимировна, Федорова Надежда Евгеньевна, Шабунин Михаил Иванович, издательство Просвещение, Москва, 2014, страница 164, номер 546, Решение 7 (продолжение 2)
Решение 8. №546 (с. 164)

1) cos α, если sin α = $\frac{\sqrt{3}}{3}$ и $\frac{\pi}{2} < \alpha < \pi$

Для нахождения $cos \alpha$ воспользуемся основным тригонометрическим тождеством: $sin^2 \alpha + cos^2 \alpha = 1$.

Выразим из этого тождества $cos^2 \alpha$:

$cos^2 \alpha = 1 - sin^2 \alpha$

Подставим известное значение $sin \alpha$:

$cos^2 \alpha = 1 - (\frac{\sqrt{3}}{3})^2 = 1 - \frac{3}{9} = 1 - \frac{1}{3} = \frac{2}{3}$

Отсюда находим возможные значения для $cos \alpha$:

$cos \alpha = \pm\sqrt{\frac{2}{3}} = \pm\frac{\sqrt{2}}{\sqrt{3}} = \pm\frac{\sqrt{6}}{3}$

По условию угол $\alpha$ находится в интервале $\frac{\pi}{2} < \alpha < \pi$, что соответствует второй координатной четверти. Во второй четверти косинус имеет отрицательное значение. Следовательно, выбираем значение со знаком минус.

Ответ: $cos \alpha = -\frac{\sqrt{6}}{3}$

2) tg α, если cos α = $-\frac{\sqrt{5}}{3}$ и $\pi < \alpha < \frac{3\pi}{2}$

Для нахождения $tg \alpha$ нам нужно найти $sin \alpha$. Используем основное тригонометрическое тождество $sin^2 \alpha + cos^2 \alpha = 1$.

$sin^2 \alpha = 1 - cos^2 \alpha = 1 - (-\frac{\sqrt{5}}{3})^2 = 1 - \frac{5}{9} = \frac{4}{9}$

Следовательно, $sin \alpha = \pm\sqrt{\frac{4}{9}} = \pm\frac{2}{3}$.

Угол $\alpha$ находится в интервале $\pi < \alpha < \frac{3\pi}{2}$, что соответствует третьей координатной четверти. В третьей четверти синус отрицателен, поэтому $sin \alpha = -\frac{2}{3}$.

Теперь найдем тангенс по определению $tg \alpha = \frac{sin \alpha}{cos \alpha}$:

$tg \alpha = \frac{-2/3}{-\sqrt{5}/3} = \frac{2}{\sqrt{5}} = \frac{2\sqrt{5}}{5}$

Ответ: $tg \alpha = \frac{2\sqrt{5}}{5}$

3) sin α, если tg α = $2\sqrt{2}$ и $0 < \alpha < \frac{\pi}{2}$

Воспользуемся тригонометрическим тождеством, связывающим синус и котангенс: $1 + ctg^2 \alpha = \frac{1}{sin^2 \alpha}$.

Сначала найдем $ctg \alpha$:

$ctg \alpha = \frac{1}{tg \alpha} = \frac{1}{2\sqrt{2}} = \frac{\sqrt{2}}{4}$

Теперь подставим значение $ctg \alpha$ в тождество:

$\frac{1}{sin^2 \alpha} = 1 + ctg^2 \alpha = 1 + (\frac{\sqrt{2}}{4})^2 = 1 + \frac{2}{16} = 1 + \frac{1}{8} = \frac{9}{8}$

Отсюда выразим $sin^2 \alpha$:

$sin^2 \alpha = \frac{8}{9}$

Тогда $sin \alpha = \pm\sqrt{\frac{8}{9}} = \pm\frac{\sqrt{8}}{3} = \pm\frac{2\sqrt{2}}{3}$.

По условию угол $\alpha$ находится в интервале $0 < \alpha < \frac{\pi}{2}$, что соответствует первой координатной четверти. В первой четверти синус положителен. Значит, выбираем значение со знаком плюс.

Ответ: $sin \alpha = \frac{2\sqrt{2}}{3}$

4) cos α, если ctg α = $\sqrt{2}$ и $\pi < \alpha < \frac{3\pi}{2}$

Воспользуемся тригонометрическим тождеством, связывающим косинус и тангенс: $1 + tg^2 \alpha = \frac{1}{cos^2 \alpha}$.

Сначала найдем $tg \alpha$:

$tg \alpha = \frac{1}{ctg \alpha} = \frac{1}{\sqrt{2}} = \frac{\sqrt{2}}{2}$

Подставим значение $tg \alpha$ в тождество:

$\frac{1}{cos^2 \alpha} = 1 + tg^2 \alpha = 1 + (\frac{\sqrt{2}}{2})^2 = 1 + \frac{2}{4} = 1 + \frac{1}{2} = \frac{3}{2}$

Отсюда выразим $cos^2 \alpha$:

$cos^2 \alpha = \frac{2}{3}$

Тогда $cos \alpha = \pm\sqrt{\frac{2}{3}} = \pm\frac{\sqrt{6}}{3}$.

По условию угол $\alpha$ находится в интервале $\pi < \alpha < \frac{3\pi}{2}$, что соответствует третьей координатной четверти. В третьей четверти косинус отрицателен. Значит, выбираем значение со знаком минус.

Ответ: $cos \alpha = -\frac{\sqrt{6}}{3}$

Помогло решение? Оставьте отзыв в комментариях ниже.

Присоединяйтесь к Телеграм-группе @top_gdz

Присоединиться

Мы подготовили для вас ответ c подробным объяснением домашего задания по алгебре за 10-11 класс, для упражнения номер 546 расположенного на странице 164 к учебнику 2014 года издания для учащихся школ и гимназий.

Теперь на нашем сайте ГДЗ.ТОП вы всегда легко и бесплатно найдёте условие с правильным ответом на вопрос «Как решить ДЗ» и «Как сделать» задание по алгебре к упражнению №546 (с. 164), авторов: Алимов (Шавкат Арифджанович), Колягин (Юрий Михайлович), Ткачева (Мария Владимировна), Федорова (Надежда Евгеньевна), Шабунин (Михаил Иванович), ФГОС (старый) базовый и углублённый уровень обучения учебного пособия издательства Просвещение.