Номер 532, страница 160 - гдз по алгебре 10-11 класс учебник Алимов, Колягин

Алгебра, 10-11 класс Учебник, авторы: Алимов Шавкат Арифджанович, Колягин Юрий Михайлович, Ткачева Мария Владимировна, Федорова Надежда Евгеньевна, Шабунин Михаил Иванович, издательство Просвещение, Москва, 2014

Авторы: Алимов Ш. А., Колягин Ю. М., Ткачева М. В., Федорова Н. Е., Шабунин М. И.

Тип: Учебник

Издательство: Просвещение

Год издания: 2014 - 2025

Уровень обучения: базовый и углублённый

Цвет обложки: синий, фиолетовый

ISBN: 978-5-09-112136-0

Допущено Министерством просвещения Российской Федерации

Математика: алгебра и начала математического анализа, геометрия

Популярные ГДЗ в 10 классе

Глава 5. Тригонометрические формулы. Параграф 31. Формулы приведения - номер 532, страница 160.

№532 (с. 160)
Условие. №532 (с. 160)
скриншот условия
Алгебра, 10-11 класс Учебник, авторы: Алимов Шавкат Арифджанович, Колягин Юрий Михайлович, Ткачева Мария Владимировна, Федорова Надежда Евгеньевна, Шабунин Михаил Иванович, издательство Просвещение, Москва, 2014, страница 160, номер 532, Условие

Доказать тождество (532–533).

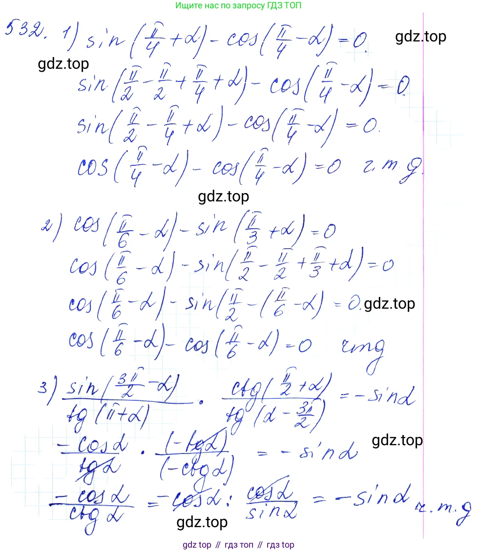
532 1) $\sin \left(\frac{\pi}{4} + \alpha\right) - \cos \left(\frac{\pi}{4} - \alpha\right) = 0;$

2) $\cos \left(\frac{\pi}{6} - \alpha\right) - \sin \left(\frac{\pi}{3} + \alpha\right) = 0;$

3) $\frac{\sin \left(\frac{3\pi}{2} - \alpha\right)}{\operatorname{tg} (\pi + \alpha)} \cdot \frac{\operatorname{ctg} \left(\frac{\pi}{2} + \alpha\right)}{\operatorname{tg} \left(\alpha - \frac{3\pi}{2}\right)} = - \sin \alpha.$

Решение 1. №532 (с. 160)
Алгебра, 10-11 класс Учебник, авторы: Алимов Шавкат Арифджанович, Колягин Юрий Михайлович, Ткачева Мария Владимировна, Федорова Надежда Евгеньевна, Шабунин Михаил Иванович, издательство Просвещение, Москва, 2014, страница 160, номер 532, Решение 1
Алгебра, 10-11 класс Учебник, авторы: Алимов Шавкат Арифджанович, Колягин Юрий Михайлович, Ткачева Мария Владимировна, Федорова Надежда Евгеньевна, Шабунин Михаил Иванович, издательство Просвещение, Москва, 2014, страница 160, номер 532, Решение 1 (продолжение 2)
Алгебра, 10-11 класс Учебник, авторы: Алимов Шавкат Арифджанович, Колягин Юрий Михайлович, Ткачева Мария Владимировна, Федорова Надежда Евгеньевна, Шабунин Михаил Иванович, издательство Просвещение, Москва, 2014, страница 160, номер 532, Решение 1 (продолжение 3)
Решение 2. №532 (с. 160)
Алгебра, 10-11 класс Учебник, авторы: Алимов Шавкат Арифджанович, Колягин Юрий Михайлович, Ткачева Мария Владимировна, Федорова Надежда Евгеньевна, Шабунин Михаил Иванович, издательство Просвещение, Москва, 2014, страница 160, номер 532, Решение 2
Решение 4. №532 (с. 160)
Алгебра, 10-11 класс Учебник, авторы: Алимов Шавкат Арифджанович, Колягин Юрий Михайлович, Ткачева Мария Владимировна, Федорова Надежда Евгеньевна, Шабунин Михаил Иванович, издательство Просвещение, Москва, 2014, страница 160, номер 532, Решение 4
Решение 5. №532 (с. 160)
Алгебра, 10-11 класс Учебник, авторы: Алимов Шавкат Арифджанович, Колягин Юрий Михайлович, Ткачева Мария Владимировна, Федорова Надежда Евгеньевна, Шабунин Михаил Иванович, издательство Просвещение, Москва, 2014, страница 160, номер 532, Решение 5
Решение 6. №532 (с. 160)
Алгебра, 10-11 класс Учебник, авторы: Алимов Шавкат Арифджанович, Колягин Юрий Михайлович, Ткачева Мария Владимировна, Федорова Надежда Евгеньевна, Шабунин Михаил Иванович, издательство Просвещение, Москва, 2014, страница 160, номер 532, Решение 6
Решение 7. №532 (с. 160)
Алгебра, 10-11 класс Учебник, авторы: Алимов Шавкат Арифджанович, Колягин Юрий Михайлович, Ткачева Мария Владимировна, Федорова Надежда Евгеньевна, Шабунин Михаил Иванович, издательство Просвещение, Москва, 2014, страница 160, номер 532, Решение 7
Решение 8. №532 (с. 160)

1) Докажем тождество $ \sin\left(\frac{\pi}{4} + \alpha\right) - \cos\left(\frac{\pi}{4} - \alpha\right) = 0 $.

Преобразуем левую часть равенства. Воспользуемся формулой приведения для косинуса: $ \cos(x) = \sin\left(\frac{\pi}{2} - x\right) $.
Применим эту формулу к выражению $ \cos\left(\frac{\pi}{4} - \alpha\right) $:

$ \cos\left(\frac{\pi}{4} - \alpha\right) = \sin\left(\frac{\pi}{2} - \left(\frac{\pi}{4} - \alpha\right)\right) = \sin\left(\frac{\pi}{2} - \frac{\pi}{4} + \alpha\right) = \sin\left(\frac{2\pi - \pi}{4} + \alpha\right) = \sin\left(\frac{\pi}{4} + \alpha\right) $.

Подставим полученный результат в исходное выражение:

$ \sin\left(\frac{\pi}{4} + \alpha\right) - \sin\left(\frac{\pi}{4} + \alpha\right) = 0 $.

$ 0 = 0 $.

Левая часть равна правой, следовательно, тождество доказано.

Ответ: тождество доказано.

2) Докажем тождество $ \cos\left(\frac{\pi}{6} - \alpha\right) - \sin\left(\frac{\pi}{3} + \alpha\right) = 0 $.

Преобразуем левую часть. Воспользуемся формулой приведения для синуса: $ \sin(x) = \cos\left(\frac{\pi}{2} - x\right) $.
Применим эту формулу к выражению $ \sin\left(\frac{\pi}{3} + \alpha\right) $:

$ \sin\left(\frac{\pi}{3} + \alpha\right) = \cos\left(\frac{\pi}{2} - \left(\frac{\pi}{3} + \alpha\right)\right) = \cos\left(\frac{\pi}{2} - \frac{\pi}{3} - \alpha\right) = \cos\left(\frac{3\pi - 2\pi}{6} - \alpha\right) = \cos\left(\frac{\pi}{6} - \alpha\right) $.

Подставим полученный результат в исходное выражение:

$ \cos\left(\frac{\pi}{6} - \alpha\right) - \cos\left(\frac{\pi}{6} - \alpha\right) = 0 $.

$ 0 = 0 $.

Левая часть равна правой, следовательно, тождество доказано.

Ответ: тождество доказано.

3) Докажем тождество $ \frac{\sin\left(\frac{3\pi}{2} - \alpha\right) \cdot \text{ctg}\left(\frac{\pi}{2} + \alpha\right)}{\text{tg}(\pi + \alpha) \cdot \text{tg}\left(\alpha - \frac{3\pi}{2}\right)} = -\sin\alpha $.

Упростим левую часть тождества, используя формулы приведения:

  • $ \sin\left(\frac{3\pi}{2} - \alpha\right) = -\cos\alpha $ (угол в III четверти, синус отрицательный, функция меняется на кофункцию).
  • $ \text{ctg}\left(\frac{\pi}{2} + \alpha\right) = -\text{tg}\alpha $ (угол во II четверти, котангенс отрицательный, функция меняется на кофункцию).
  • $ \text{tg}(\pi + \alpha) = \text{tg}\alpha $ (угол в III четверти, тангенс положительный, функция не меняется).
  • $ \text{tg}\left(\alpha - \frac{3\pi}{2}\right) = \text{tg}\left(-\left(\frac{3\pi}{2} - \alpha\right)\right) = -\text{tg}\left(\frac{3\pi}{2} - \alpha\right) = -\text{ctg}\alpha $ (использовали нечетность тангенса, затем формулу приведения: угол в III четверти, тангенс положительный, функция меняется на кофункцию).

Подставим упрощенные выражения в левую часть исходного равенства:

$ \frac{(-\cos\alpha) \cdot (-\text{tg}\alpha)}{\text{tg}\alpha \cdot (-\text{ctg}\alpha)} = \frac{\cos\alpha \cdot \text{tg}\alpha}{-\text{tg}\alpha \cdot \text{ctg}\alpha} $.

Сократим $ \text{tg}\alpha $ (при условии, что $ \text{tg}\alpha \neq 0 $):

$ \frac{\cos\alpha}{-\text{ctg}\alpha} = \frac{\cos\alpha}{-\frac{\cos\alpha}{\sin\alpha}} $.

Упростим полученное выражение (при условии, что $ \cos\alpha \neq 0 $):

$ \cos\alpha \cdot \left(-\frac{\sin\alpha}{\cos\alpha}\right) = -\sin\alpha $.

Мы получили, что левая часть равна $ -\sin\alpha $, что соответствует правой части тождества.

$ -\sin\alpha = -\sin\alpha $.

Тождество доказано.

Ответ: тождество доказано.

Помогло решение? Оставьте отзыв в комментариях ниже.

Присоединяйтесь к Телеграм-группе @top_gdz

Присоединиться

Мы подготовили для вас ответ c подробным объяснением домашего задания по алгебре за 10-11 класс, для упражнения номер 532 расположенного на странице 160 к учебнику 2014 года издания для учащихся школ и гимназий.

Теперь на нашем сайте ГДЗ.ТОП вы всегда легко и бесплатно найдёте условие с правильным ответом на вопрос «Как решить ДЗ» и «Как сделать» задание по алгебре к упражнению №532 (с. 160), авторов: Алимов (Шавкат Арифджанович), Колягин (Юрий Михайлович), Ткачева (Мария Владимировна), Федорова (Надежда Евгеньевна), Шабунин (Михаил Иванович), ФГОС (старый) базовый и углублённый уровень обучения учебного пособия издательства Просвещение.