Номер 529, страница 160 - гдз по алгебре 10-11 класс учебник Алимов, Колягин

Алгебра, 10-11 класс Учебник, авторы: Алимов Шавкат Арифджанович, Колягин Юрий Михайлович, Ткачева Мария Владимировна, Федорова Надежда Евгеньевна, Шабунин Михаил Иванович, издательство Просвещение, Москва, 2014

Авторы: Алимов Ш. А., Колягин Ю. М., Ткачева М. В., Федорова Н. Е., Шабунин М. И.

Тип: Учебник

Издательство: Просвещение

Год издания: 2014 - 2025

Уровень обучения: базовый и углублённый

Цвет обложки: синий, фиолетовый

ISBN: 978-5-09-112136-0

Допущено Министерством просвещения Российской Федерации

Математика: алгебра и начала математического анализа, геометрия

Популярные ГДЗ в 10 классе

Глава 5. Тригонометрические формулы. Параграф 31. Формулы приведения - номер 529, страница 160.

№529 (с. 160)
Условие. №529 (с. 160)
скриншот условия
Алгебра, 10-11 класс Учебник, авторы: Алимов Шавкат Арифджанович, Колягин Юрий Михайлович, Ткачева Мария Владимировна, Федорова Надежда Евгеньевна, Шабунин Михаил Иванович, издательство Просвещение, Москва, 2014, страница 160, номер 529, Условие

529 Вычислить:

1) $cos 750^\circ$;

2) $sin 1140^\circ$;

3) $tg 405^\circ$;

4) $cos 840^\circ$;

5) $sin \frac{47\pi}{6}$;

6) $tg \frac{25\pi}{4}$;

7) $ctg \frac{27\pi}{4}$;

8) $cos \frac{21\pi}{4}$.

Решение 1. №529 (с. 160)
Алгебра, 10-11 класс Учебник, авторы: Алимов Шавкат Арифджанович, Колягин Юрий Михайлович, Ткачева Мария Владимировна, Федорова Надежда Евгеньевна, Шабунин Михаил Иванович, издательство Просвещение, Москва, 2014, страница 160, номер 529, Решение 1
Алгебра, 10-11 класс Учебник, авторы: Алимов Шавкат Арифджанович, Колягин Юрий Михайлович, Ткачева Мария Владимировна, Федорова Надежда Евгеньевна, Шабунин Михаил Иванович, издательство Просвещение, Москва, 2014, страница 160, номер 529, Решение 1 (продолжение 2)
Алгебра, 10-11 класс Учебник, авторы: Алимов Шавкат Арифджанович, Колягин Юрий Михайлович, Ткачева Мария Владимировна, Федорова Надежда Евгеньевна, Шабунин Михаил Иванович, издательство Просвещение, Москва, 2014, страница 160, номер 529, Решение 1 (продолжение 3)
Алгебра, 10-11 класс Учебник, авторы: Алимов Шавкат Арифджанович, Колягин Юрий Михайлович, Ткачева Мария Владимировна, Федорова Надежда Евгеньевна, Шабунин Михаил Иванович, издательство Просвещение, Москва, 2014, страница 160, номер 529, Решение 1 (продолжение 4)
Алгебра, 10-11 класс Учебник, авторы: Алимов Шавкат Арифджанович, Колягин Юрий Михайлович, Ткачева Мария Владимировна, Федорова Надежда Евгеньевна, Шабунин Михаил Иванович, издательство Просвещение, Москва, 2014, страница 160, номер 529, Решение 1 (продолжение 5) Алгебра, 10-11 класс Учебник, авторы: Алимов Шавкат Арифджанович, Колягин Юрий Михайлович, Ткачева Мария Владимировна, Федорова Надежда Евгеньевна, Шабунин Михаил Иванович, издательство Просвещение, Москва, 2014, страница 160, номер 529, Решение 1 (продолжение 6) Алгебра, 10-11 класс Учебник, авторы: Алимов Шавкат Арифджанович, Колягин Юрий Михайлович, Ткачева Мария Владимировна, Федорова Надежда Евгеньевна, Шабунин Михаил Иванович, издательство Просвещение, Москва, 2014, страница 160, номер 529, Решение 1 (продолжение 7) Алгебра, 10-11 класс Учебник, авторы: Алимов Шавкат Арифджанович, Колягин Юрий Михайлович, Ткачева Мария Владимировна, Федорова Надежда Евгеньевна, Шабунин Михаил Иванович, издательство Просвещение, Москва, 2014, страница 160, номер 529, Решение 1 (продолжение 8)
Решение 2. №529 (с. 160)
Алгебра, 10-11 класс Учебник, авторы: Алимов Шавкат Арифджанович, Колягин Юрий Михайлович, Ткачева Мария Владимировна, Федорова Надежда Евгеньевна, Шабунин Михаил Иванович, издательство Просвещение, Москва, 2014, страница 160, номер 529, Решение 2
Алгебра, 10-11 класс Учебник, авторы: Алимов Шавкат Арифджанович, Колягин Юрий Михайлович, Ткачева Мария Владимировна, Федорова Надежда Евгеньевна, Шабунин Михаил Иванович, издательство Просвещение, Москва, 2014, страница 160, номер 529, Решение 2 (продолжение 2)
Решение 4. №529 (с. 160)
Алгебра, 10-11 класс Учебник, авторы: Алимов Шавкат Арифджанович, Колягин Юрий Михайлович, Ткачева Мария Владимировна, Федорова Надежда Евгеньевна, Шабунин Михаил Иванович, издательство Просвещение, Москва, 2014, страница 160, номер 529, Решение 4
Алгебра, 10-11 класс Учебник, авторы: Алимов Шавкат Арифджанович, Колягин Юрий Михайлович, Ткачева Мария Владимировна, Федорова Надежда Евгеньевна, Шабунин Михаил Иванович, издательство Просвещение, Москва, 2014, страница 160, номер 529, Решение 4 (продолжение 2)
Решение 5. №529 (с. 160)
Алгебра, 10-11 класс Учебник, авторы: Алимов Шавкат Арифджанович, Колягин Юрий Михайлович, Ткачева Мария Владимировна, Федорова Надежда Евгеньевна, Шабунин Михаил Иванович, издательство Просвещение, Москва, 2014, страница 160, номер 529, Решение 5
Решение 6. №529 (с. 160)
Алгебра, 10-11 класс Учебник, авторы: Алимов Шавкат Арифджанович, Колягин Юрий Михайлович, Ткачева Мария Владимировна, Федорова Надежда Евгеньевна, Шабунин Михаил Иванович, издательство Просвещение, Москва, 2014, страница 160, номер 529, Решение 6
Решение 7. №529 (с. 160)
Алгебра, 10-11 класс Учебник, авторы: Алимов Шавкат Арифджанович, Колягин Юрий Михайлович, Ткачева Мария Владимировна, Федорова Надежда Евгеньевна, Шабунин Михаил Иванович, издательство Просвещение, Москва, 2014, страница 160, номер 529, Решение 7
Решение 8. №529 (с. 160)

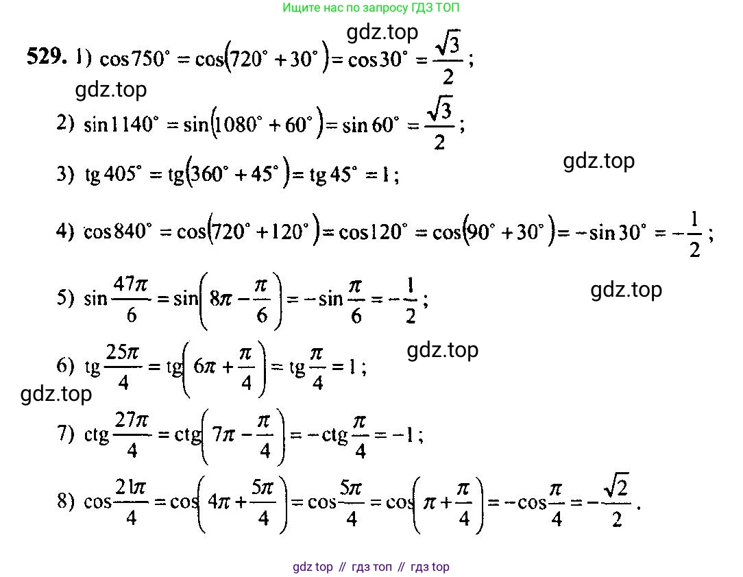
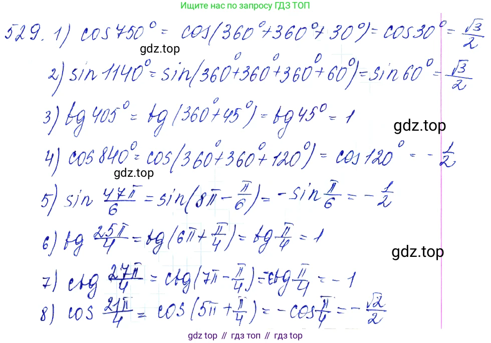
1) Для вычисления $ \cos 750^\circ $ воспользуемся периодичностью функции косинус. Период косинуса равен $ 360^\circ $. Представим $ 750^\circ $ в виде $ k \cdot 360^\circ + \alpha $, где $k$ - целое число. $ 750^\circ = 2 \cdot 360^\circ + 30^\circ $. Следовательно, $ \cos 750^\circ = \cos(2 \cdot 360^\circ + 30^\circ) = \cos 30^\circ $. Значение косинуса $ 30^\circ $ является табличным: $ \cos 30^\circ = \frac{\sqrt{3}}{2} $.
Ответ: $ \frac{\sqrt{3}}{2} $.

2) Для вычисления $ \sin 1140^\circ $ воспользуемся периодичностью функции синус. Период синуса равен $ 360^\circ $. Представим $ 1140^\circ $ в виде $ k \cdot 360^\circ + \alpha $. $ 1140^\circ = 3 \cdot 360^\circ + 60^\circ $. Следовательно, $ \sin 1140^\circ = \sin(3 \cdot 360^\circ + 60^\circ) = \sin 60^\circ $. Табличное значение синуса $ 60^\circ $ равно $ \frac{\sqrt{3}}{2} $.
Ответ: $ \frac{\sqrt{3}}{2} $.

3) Для вычисления $ \tg 405^\circ $ воспользуемся периодичностью функции тангенс. Период тангенса равен $ 180^\circ $. Представим $ 405^\circ $ в виде $ k \cdot 180^\circ + \alpha $. $ 405^\circ = 2 \cdot 180^\circ + 45^\circ $. Следовательно, $ \tg 405^\circ = \tg(2 \cdot 180^\circ + 45^\circ) = \tg 45^\circ $. Табличное значение тангенса $ 45^\circ $ равно $ 1 $.
Ответ: $ 1 $.

4) Для вычисления $ \cos 840^\circ $ воспользуемся периодичностью функции косинус, период которой $ 360^\circ $. $ 840^\circ = 2 \cdot 360^\circ + 120^\circ $. Таким образом, $ \cos 840^\circ = \cos(2 \cdot 360^\circ + 120^\circ) = \cos 120^\circ $. Используем формулу приведения: $ \cos 120^\circ = \cos(180^\circ - 60^\circ) = -\cos 60^\circ = -\frac{1}{2} $.
Ответ: $ -\frac{1}{2} $.

5) Для вычисления $ \sin \frac{47\pi}{6} $ воспользуемся периодичностью функции синус. Период синуса равен $ 2\pi $. Представим угол в виде $ 2\pi k + \alpha $. $ \frac{47\pi}{6} = \frac{48\pi - \pi}{6} = 8\pi - \frac{\pi}{6} = 4 \cdot 2\pi - \frac{\pi}{6} $. Следовательно, $ \sin \frac{47\pi}{6} = \sin(4 \cdot 2\pi - \frac{\pi}{6}) = \sin(-\frac{\pi}{6}) $. Так как синус — нечетная функция ($ \sin(-x) = -\sin(x) $), то $ \sin(-\frac{\pi}{6}) = -\sin\frac{\pi}{6} = -\frac{1}{2} $.
Ответ: $ -\frac{1}{2} $.

6) Для вычисления $ \tg \frac{25\pi}{4} $ воспользуемся периодичностью функции тангенс, период которой равен $ \pi $. Представим угол в виде $ \pi k + \alpha $. $ \frac{25\pi}{4} = \frac{24\pi + \pi}{4} = 6\pi + \frac{\pi}{4} $. Следовательно, $ \tg \frac{25\pi}{4} = \tg(6\pi + \frac{\pi}{4}) = \tg \frac{\pi}{4} $. Табличное значение тангенса $ \frac{\pi}{4} $ равно $ 1 $.
Ответ: $ 1 $.

7) Для вычисления $ \ctg \frac{27\pi}{4} $ воспользуемся периодичностью функции котангенс, период которой равен $ \pi $. Представим угол в виде $ \pi k + \alpha $. $ \frac{27\pi}{4} = \frac{24\pi + 3\pi}{4} = 6\pi + \frac{3\pi}{4} $. Таким образом, $ \ctg \frac{27\pi}{4} = \ctg(6\pi + \frac{3\pi}{4}) = \ctg \frac{3\pi}{4} $. Используем формулу приведения: $ \ctg \frac{3\pi}{4} = \ctg(\pi - \frac{\pi}{4}) = -\ctg \frac{\pi}{4} = -1 $.
Ответ: $ -1 $.

8) Для вычисления $ \cos \frac{21\pi}{4} $ воспользуемся периодичностью функции косинус. Период косинуса равен $ 2\pi $. Представим угол в виде $ 2\pi k + \alpha $. $ \frac{21\pi}{4} = \frac{16\pi + 5\pi}{4} = 4\pi + \frac{5\pi}{4} = 2 \cdot 2\pi + \frac{5\pi}{4} $. Следовательно, $ \cos \frac{21\pi}{4} = \cos(2 \cdot 2\pi + \frac{5\pi}{4}) = \cos \frac{5\pi}{4} $. Используем формулу приведения: $ \cos \frac{5\pi}{4} = \cos(\pi + \frac{\pi}{4}) = -\cos \frac{\pi}{4} = -\frac{\sqrt{2}}{2} $.
Ответ: $ -\frac{\sqrt{2}}{2} $.

Помогло решение? Оставьте отзыв в комментариях ниже.

Присоединяйтесь к Телеграм-группе @top_gdz

Присоединиться

Мы подготовили для вас ответ c подробным объяснением домашего задания по алгебре за 10-11 класс, для упражнения номер 529 расположенного на странице 160 к учебнику 2014 года издания для учащихся школ и гимназий.

Теперь на нашем сайте ГДЗ.ТОП вы всегда легко и бесплатно найдёте условие с правильным ответом на вопрос «Как решить ДЗ» и «Как сделать» задание по алгебре к упражнению №529 (с. 160), авторов: Алимов (Шавкат Арифджанович), Колягин (Юрий Михайлович), Ткачева (Мария Владимировна), Федорова (Надежда Евгеньевна), Шабунин (Михаил Иванович), ФГОС (старый) базовый и углублённый уровень обучения учебного пособия издательства Просвещение.