Номер 523, страница 155 - гдз по алгебре 10-11 класс учебник Алимов, Колягин

Алгебра, 10-11 класс Учебник, авторы: Алимов Шавкат Арифджанович, Колягин Юрий Михайлович, Ткачева Мария Владимировна, Федорова Надежда Евгеньевна, Шабунин Михаил Иванович, издательство Просвещение, Москва, 2014

Авторы: Алимов Ш. А., Колягин Ю. М., Ткачева М. В., Федорова Н. Е., Шабунин М. И.

Тип: Учебник

Издательство: Просвещение

Год издания: 2014 - 2025

Уровень обучения: базовый и углублённый

Цвет обложки: синий, фиолетовый

ISBN: 978-5-09-112136-0

Допущено Министерством просвещения Российской Федерации

Математика: алгебра и начала математического анализа, геометрия

Популярные ГДЗ в 10 классе

Глава 5. Тригонометрические формулы. Параграф 30. Синус, косинус и тангенс половинного угла - номер 523, страница 155.

№523 (с. 155)
Условие. №523 (с. 155)
скриншот условия
Алгебра, 10-11 класс Учебник, авторы: Алимов Шавкат Арифджанович, Колягин Юрий Михайлович, Ткачева Мария Владимировна, Федорова Надежда Евгеньевна, Шабунин Михаил Иванович, издательство Просвещение, Москва, 2014, страница 155, номер 523, Условие

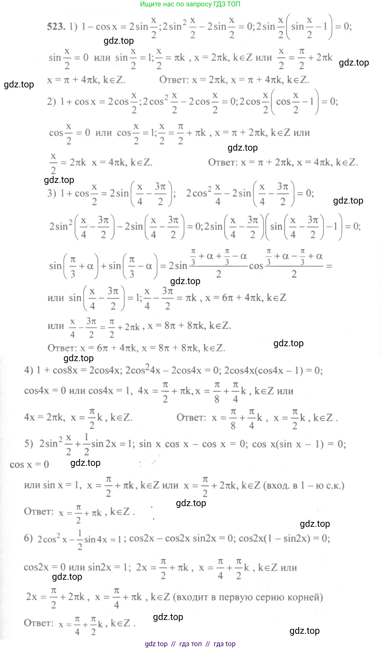
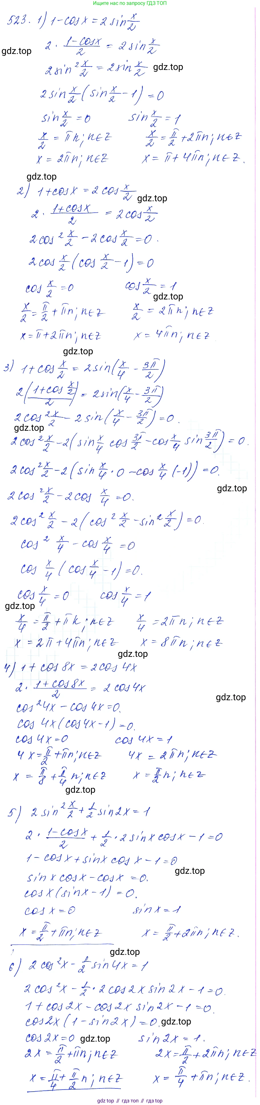
523 Решить уравнение:

1) $1 - \cos x = 2 \sin \frac{x}{2};$

2) $1 + \cos x = 2 \cos \frac{x}{2};$

3) $1 + \cos \frac{x}{2} = 2 \sin \left(\frac{x}{4} - \frac{3\pi}{2}\right);$

4) $1 + \cos 8x = 2 \cos 4x;$

5) $2 \sin^2 \frac{x}{2} + \frac{1}{2} \sin 2x = 1;$

6) $2 \cos^2 x - \frac{1}{2} \sin 4x = 1.$

Решение 1. №523 (с. 155)
Алгебра, 10-11 класс Учебник, авторы: Алимов Шавкат Арифджанович, Колягин Юрий Михайлович, Ткачева Мария Владимировна, Федорова Надежда Евгеньевна, Шабунин Михаил Иванович, издательство Просвещение, Москва, 2014, страница 155, номер 523, Решение 1
Алгебра, 10-11 класс Учебник, авторы: Алимов Шавкат Арифджанович, Колягин Юрий Михайлович, Ткачева Мария Владимировна, Федорова Надежда Евгеньевна, Шабунин Михаил Иванович, издательство Просвещение, Москва, 2014, страница 155, номер 523, Решение 1 (продолжение 2)
Алгебра, 10-11 класс Учебник, авторы: Алимов Шавкат Арифджанович, Колягин Юрий Михайлович, Ткачева Мария Владимировна, Федорова Надежда Евгеньевна, Шабунин Михаил Иванович, издательство Просвещение, Москва, 2014, страница 155, номер 523, Решение 1 (продолжение 3)
Алгебра, 10-11 класс Учебник, авторы: Алимов Шавкат Арифджанович, Колягин Юрий Михайлович, Ткачева Мария Владимировна, Федорова Надежда Евгеньевна, Шабунин Михаил Иванович, издательство Просвещение, Москва, 2014, страница 155, номер 523, Решение 1 (продолжение 4)
Алгебра, 10-11 класс Учебник, авторы: Алимов Шавкат Арифджанович, Колягин Юрий Михайлович, Ткачева Мария Владимировна, Федорова Надежда Евгеньевна, Шабунин Михаил Иванович, издательство Просвещение, Москва, 2014, страница 155, номер 523, Решение 1 (продолжение 5) Алгебра, 10-11 класс Учебник, авторы: Алимов Шавкат Арифджанович, Колягин Юрий Михайлович, Ткачева Мария Владимировна, Федорова Надежда Евгеньевна, Шабунин Михаил Иванович, издательство Просвещение, Москва, 2014, страница 155, номер 523, Решение 1 (продолжение 6)
Решение 2. №523 (с. 155)
Алгебра, 10-11 класс Учебник, авторы: Алимов Шавкат Арифджанович, Колягин Юрий Михайлович, Ткачева Мария Владимировна, Федорова Надежда Евгеньевна, Шабунин Михаил Иванович, издательство Просвещение, Москва, 2014, страница 155, номер 523, Решение 2
Алгебра, 10-11 класс Учебник, авторы: Алимов Шавкат Арифджанович, Колягин Юрий Михайлович, Ткачева Мария Владимировна, Федорова Надежда Евгеньевна, Шабунин Михаил Иванович, издательство Просвещение, Москва, 2014, страница 155, номер 523, Решение 2 (продолжение 2)
Решение 4. №523 (с. 155)
Алгебра, 10-11 класс Учебник, авторы: Алимов Шавкат Арифджанович, Колягин Юрий Михайлович, Ткачева Мария Владимировна, Федорова Надежда Евгеньевна, Шабунин Михаил Иванович, издательство Просвещение, Москва, 2014, страница 155, номер 523, Решение 4
Алгебра, 10-11 класс Учебник, авторы: Алимов Шавкат Арифджанович, Колягин Юрий Михайлович, Ткачева Мария Владимировна, Федорова Надежда Евгеньевна, Шабунин Михаил Иванович, издательство Просвещение, Москва, 2014, страница 155, номер 523, Решение 4 (продолжение 2)
Решение 5. №523 (с. 155)
Алгебра, 10-11 класс Учебник, авторы: Алимов Шавкат Арифджанович, Колягин Юрий Михайлович, Ткачева Мария Владимировна, Федорова Надежда Евгеньевна, Шабунин Михаил Иванович, издательство Просвещение, Москва, 2014, страница 155, номер 523, Решение 5
Алгебра, 10-11 класс Учебник, авторы: Алимов Шавкат Арифджанович, Колягин Юрий Михайлович, Ткачева Мария Владимировна, Федорова Надежда Евгеньевна, Шабунин Михаил Иванович, издательство Просвещение, Москва, 2014, страница 155, номер 523, Решение 5 (продолжение 2)
Решение 6. №523 (с. 155)
Алгебра, 10-11 класс Учебник, авторы: Алимов Шавкат Арифджанович, Колягин Юрий Михайлович, Ткачева Мария Владимировна, Федорова Надежда Евгеньевна, Шабунин Михаил Иванович, издательство Просвещение, Москва, 2014, страница 155, номер 523, Решение 6
Решение 7. №523 (с. 155)
Алгебра, 10-11 класс Учебник, авторы: Алимов Шавкат Арифджанович, Колягин Юрий Михайлович, Ткачева Мария Владимировна, Федорова Надежда Евгеньевна, Шабунин Михаил Иванович, издательство Просвещение, Москва, 2014, страница 155, номер 523, Решение 7 Алгебра, 10-11 класс Учебник, авторы: Алимов Шавкат Арифджанович, Колягин Юрий Михайлович, Ткачева Мария Владимировна, Федорова Надежда Евгеньевна, Шабунин Михаил Иванович, издательство Просвещение, Москва, 2014, страница 155, номер 523, Решение 7 (продолжение 2) Алгебра, 10-11 класс Учебник, авторы: Алимов Шавкат Арифджанович, Колягин Юрий Михайлович, Ткачева Мария Владимировна, Федорова Надежда Евгеньевна, Шабунин Михаил Иванович, издательство Просвещение, Москва, 2014, страница 155, номер 523, Решение 7 (продолжение 3) Алгебра, 10-11 класс Учебник, авторы: Алимов Шавкат Арифджанович, Колягин Юрий Михайлович, Ткачева Мария Владимировна, Федорова Надежда Евгеньевна, Шабунин Михаил Иванович, издательство Просвещение, Москва, 2014, страница 155, номер 523, Решение 7 (продолжение 4)
Решение 8. №523 (с. 155)

1) Исходное уравнение: $1 - \cos x = 2 \sin \frac{x}{2}$.

Воспользуемся формулой понижения степени, которая также является формулой косинуса двойного угла: $1 - \cos x = 2 \sin^2 \frac{x}{2}$.

Подставим это выражение в левую часть уравнения:

$2 \sin^2 \frac{x}{2} = 2 \sin \frac{x}{2}$

Перенесем все в левую часть и разделим на 2:

$\sin^2 \frac{x}{2} - \sin \frac{x}{2} = 0$

Вынесем общий множитель $\sin \frac{x}{2}$ за скобки:

$\sin \frac{x}{2} \left( \sin \frac{x}{2} - 1 \right) = 0$

Произведение равно нулю, когда хотя бы один из множителей равен нулю. Получаем два случая:

а) $\sin \frac{x}{2} = 0$

$\frac{x}{2} = \pi n$, где $n \in \mathbb{Z}$

$x = 2\pi n$, где $n \in \mathbb{Z}$

б) $\sin \frac{x}{2} - 1 = 0 \Rightarrow \sin \frac{x}{2} = 1$

$\frac{x}{2} = \frac{\pi}{2} + 2\pi k$, где $k \in \mathbb{Z}$

$x = \pi + 4\pi k$, где $k \in \mathbb{Z}$

Ответ: $x = 2\pi n, n \in \mathbb{Z}$; $x = \pi + 4\pi k, k \in \mathbb{Z}$.

2) Исходное уравнение: $1 + \cos x = 2 \cos \frac{x}{2}$.

Воспользуемся формулой понижения степени: $1 + \cos x = 2 \cos^2 \frac{x}{2}$.

Подставим это выражение в левую часть уравнения:

$2 \cos^2 \frac{x}{2} = 2 \cos \frac{x}{2}$

Перенесем все в левую часть и разделим на 2:

$\cos^2 \frac{x}{2} - \cos \frac{x}{2} = 0$

Вынесем общий множитель $\cos \frac{x}{2}$ за скобки:

$\cos \frac{x}{2} \left( \cos \frac{x}{2} - 1 \right) = 0$

Получаем два случая:

а) $\cos \frac{x}{2} = 0$

$\frac{x}{2} = \frac{\pi}{2} + \pi n$, где $n \in \mathbb{Z}$

$x = \pi + 2\pi n$, где $n \in \mathbb{Z}$

б) $\cos \frac{x}{2} - 1 = 0 \Rightarrow \cos \frac{x}{2} = 1$

$\frac{x}{2} = 2\pi k$, где $k \in \mathbb{Z}$

$x = 4\pi k$, где $k \in \mathbb{Z}$

Ответ: $x = \pi + 2\pi n, n \in \mathbb{Z}$; $x = 4\pi k, k \in \mathbb{Z}$.

3) Исходное уравнение: $1 + \cos \frac{x}{2} = 2 \sin \left(\frac{x}{4} - \frac{3\pi}{2}\right)$.

Сначала преобразуем правую часть уравнения, используя формулы приведения. Синус - нечетная функция, поэтому $\sin(\alpha - \beta) = -\sin(\beta - \alpha)$.

$\sin \left(\frac{x}{4} - \frac{3\pi}{2}\right) = -\sin \left(\frac{3\pi}{2} - \frac{x}{4}\right)$

По формуле приведения $\sin(\frac{3\pi}{2} - \alpha) = -\cos \alpha$.

$-\sin \left(\frac{3\pi}{2} - \frac{x}{4}\right) = -(-\cos \frac{x}{4}) = \cos \frac{x}{4}$

Теперь уравнение имеет вид:

$1 + \cos \frac{x}{2} = 2 \cos \frac{x}{4}$

Применим к левой части формулу $1 + \cos \alpha = 2 \cos^2 \frac{\alpha}{2}$. В нашем случае $\alpha = \frac{x}{2}$.

$2 \cos^2 \frac{x}{4} = 2 \cos \frac{x}{4}$

Решение этого уравнения аналогично предыдущему пункту:

$\cos^2 \frac{x}{4} - \cos \frac{x}{4} = 0$

$\cos \frac{x}{4} \left( \cos \frac{x}{4} - 1 \right) = 0$

Получаем два случая:

а) $\cos \frac{x}{4} = 0$

$\frac{x}{4} = \frac{\pi}{2} + \pi n$, где $n \in \mathbb{Z}$

$x = 2\pi + 4\pi n$, где $n \in \mathbb{Z}$

б) $\cos \frac{x}{4} - 1 = 0 \Rightarrow \cos \frac{x}{4} = 1$

$\frac{x}{4} = 2\pi k$, где $k \in \mathbb{Z}$

$x = 8\pi k$, где $k \in \mathbb{Z}$

Ответ: $x = 2\pi + 4\pi n, n \in \mathbb{Z}$; $x = 8\pi k, k \in \mathbb{Z}$.

4) Исходное уравнение: $1 + \cos 8x = 2 \cos 4x$.

Это уравнение по структуре аналогично уравнению из пункта 2. Используем формулу $1 + \cos \alpha = 2 \cos^2 \frac{\alpha}{2}$ для $\alpha = 8x$.

$2 \cos^2 4x = 2 \cos 4x$

$\cos^2 4x - \cos 4x = 0$

$\cos 4x (\cos 4x - 1) = 0$

Получаем два случая:

а) $\cos 4x = 0$

$4x = \frac{\pi}{2} + \pi n$, где $n \in \mathbb{Z}$

$x = \frac{\pi}{8} + \frac{\pi n}{4}$, где $n \in \mathbb{Z}$

б) $\cos 4x - 1 = 0 \Rightarrow \cos 4x = 1$

$4x = 2\pi k$, где $k \in \mathbb{Z}$

$x = \frac{\pi k}{2}$, где $k \in \mathbb{Z}$

Ответ: $x = \frac{\pi}{8} + \frac{\pi n}{4}, n \in \mathbb{Z}$; $x = \frac{\pi k}{2}, k \in \mathbb{Z}$.

5) Исходное уравнение: $2 \sin^2 \frac{x}{2} + \frac{1}{2} \sin 2x = 1$.

Воспользуемся формулой $2 \sin^2 \frac{x}{2} = 1 - \cos x$.

Подставим ее в уравнение:

$(1 - \cos x) + \frac{1}{2} \sin 2x = 1$

$-\cos x + \frac{1}{2} \sin 2x = 0$

Применим формулу синуса двойного угла $\sin 2x = 2 \sin x \cos x$.

$-\cos x + \frac{1}{2} (2 \sin x \cos x) = 0$

$-\cos x + \sin x \cos x = 0$

Вынесем $\cos x$ за скобки:

$\cos x (\sin x - 1) = 0$

Получаем два случая:

а) $\cos x = 0$

$x = \frac{\pi}{2} + \pi n$, где $n \in \mathbb{Z}$

б) $\sin x - 1 = 0 \Rightarrow \sin x = 1$

$x = \frac{\pi}{2} + 2\pi k$, где $k \in \mathbb{Z}$

Заметим, что вторая серия решений является подмножеством первой (при четных $n=2k$). Поэтому достаточно указать только первую серию решений.

Ответ: $x = \frac{\pi}{2} + \pi n, n \in \mathbb{Z}$.

6) Исходное уравнение: $2 \cos^2 x - \frac{1}{2} \sin 4x = 1$.

Воспользуемся формулой $2 \cos^2 x = 1 + \cos 2x$.

Подставим ее в уравнение:

$(1 + \cos 2x) - \frac{1}{2} \sin 4x = 1$

$\cos 2x - \frac{1}{2} \sin 4x = 0$

Применим формулу синуса двойного угла $\sin 4x = 2 \sin 2x \cos 2x$.

$\cos 2x - \frac{1}{2} (2 \sin 2x \cos 2x) = 0$

$\cos 2x - \sin 2x \cos 2x = 0$

Вынесем $\cos 2x$ за скобки:

$\cos 2x (1 - \sin 2x) = 0$

Получаем два случая:

а) $\cos 2x = 0$

$2x = \frac{\pi}{2} + \pi n$, где $n \in \mathbb{Z}$

$x = \frac{\pi}{4} + \frac{\pi n}{2}$, где $n \in \mathbb{Z}$

б) $1 - \sin 2x = 0 \Rightarrow \sin 2x = 1$

$2x = \frac{\pi}{2} + 2\pi k$, где $k \in \mathbb{Z}$

$x = \frac{\pi}{4} + \pi k$, где $k \in \mathbb{Z}$

Вторая серия решений является подмножеством первой (при четных $n=2k$). Поэтому достаточно указать только первую серию решений.

Ответ: $x = \frac{\pi}{4} + \frac{\pi n}{2}, n \in \mathbb{Z}$.

Помогло решение? Оставьте отзыв в комментариях ниже.

Присоединяйтесь к Телеграм-группе @top_gdz

Присоединиться

Мы подготовили для вас ответ c подробным объяснением домашего задания по алгебре за 10-11 класс, для упражнения номер 523 расположенного на странице 155 к учебнику 2014 года издания для учащихся школ и гимназий.

Теперь на нашем сайте ГДЗ.ТОП вы всегда легко и бесплатно найдёте условие с правильным ответом на вопрос «Как решить ДЗ» и «Как сделать» задание по алгебре к упражнению №523 (с. 155), авторов: Алимов (Шавкат Арифджанович), Колягин (Юрий Михайлович), Ткачева (Мария Владимировна), Федорова (Надежда Евгеньевна), Шабунин (Михаил Иванович), ФГОС (старый) базовый и углублённый уровень обучения учебного пособия издательства Просвещение.