Номер 521, страница 155 - гдз по алгебре 10-11 класс учебник Алимов, Колягин

Алгебра, 10-11 класс Учебник, авторы: Алимов Шавкат Арифджанович, Колягин Юрий Михайлович, Ткачева Мария Владимировна, Федорова Надежда Евгеньевна, Шабунин Михаил Иванович, издательство Просвещение, Москва, 2014

Авторы: Алимов Ш. А., Колягин Ю. М., Ткачева М. В., Федорова Н. Е., Шабунин М. И.

Тип: Учебник

Издательство: Просвещение

Год издания: 2014 - 2026

Уровень обучения: базовый и углублённый

Цвет обложки: синий, фиолетовый

ISBN: 978-5-09-112136-0

Допущено Министерством просвещения Российской Федерации

Математика: алгебра и начала математического анализа, геометрия

Глава 5. Тригонометрические формулы. Параграф 30. Синус, косинус и тангенс половинного угла - номер 521, страница 155.

№521 (с. 155)
Условие. №521 (с. 155)
скриншот условия
Алгебра, 10-11 класс Учебник, авторы: Алимов Шавкат Арифджанович, Колягин Юрий Михайлович, Ткачева Мария Владимировна, Федорова Надежда Евгеньевна, Шабунин Михаил Иванович, издательство Просвещение, Москва, 2014, страница 155, номер 521, Условие

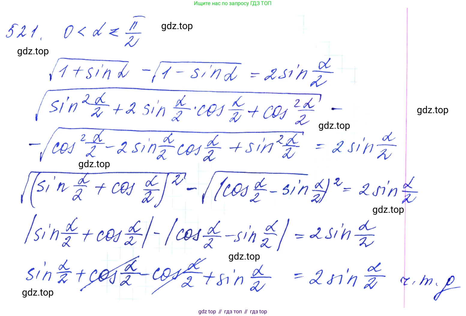
521 Доказать, что если $0 < \alpha < \frac{\pi}{2}$, то $\sqrt{1 + \sin\alpha} - \sqrt{1 - \sin\alpha} = 2 \sin \frac{\alpha}{2}$.

Решение 1. №521 (с. 155)
Алгебра, 10-11 класс Учебник, авторы: Алимов Шавкат Арифджанович, Колягин Юрий Михайлович, Ткачева Мария Владимировна, Федорова Надежда Евгеньевна, Шабунин Михаил Иванович, издательство Просвещение, Москва, 2014, страница 155, номер 521, Решение 1
Решение 2. №521 (с. 155)
Алгебра, 10-11 класс Учебник, авторы: Алимов Шавкат Арифджанович, Колягин Юрий Михайлович, Ткачева Мария Владимировна, Федорова Надежда Евгеньевна, Шабунин Михаил Иванович, издательство Просвещение, Москва, 2014, страница 155, номер 521, Решение 2
Решение 3. №521 (с. 155)
Алгебра, 10-11 класс Учебник, авторы: Алимов Шавкат Арифджанович, Колягин Юрий Михайлович, Ткачева Мария Владимировна, Федорова Надежда Евгеньевна, Шабунин Михаил Иванович, издательство Просвещение, Москва, 2014, страница 155, номер 521, Решение 3
Решение 4. №521 (с. 155)
Алгебра, 10-11 класс Учебник, авторы: Алимов Шавкат Арифджанович, Колягин Юрий Михайлович, Ткачева Мария Владимировна, Федорова Надежда Евгеньевна, Шабунин Михаил Иванович, издательство Просвещение, Москва, 2014, страница 155, номер 521, Решение 4
Решение 5. №521 (с. 155)
Алгебра, 10-11 класс Учебник, авторы: Алимов Шавкат Арифджанович, Колягин Юрий Михайлович, Ткачева Мария Владимировна, Федорова Надежда Евгеньевна, Шабунин Михаил Иванович, издательство Просвещение, Москва, 2014, страница 155, номер 521, Решение 5
Решение 6. №521 (с. 155)
Алгебра, 10-11 класс Учебник, авторы: Алимов Шавкат Арифджанович, Колягин Юрий Михайлович, Ткачева Мария Владимировна, Федорова Надежда Евгеньевна, Шабунин Михаил Иванович, издательство Просвещение, Москва, 2014, страница 155, номер 521, Решение 6
Решение 7. №521 (с. 155)
Алгебра, 10-11 класс Учебник, авторы: Алимов Шавкат Арифджанович, Колягин Юрий Михайлович, Ткачева Мария Владимировна, Федорова Надежда Евгеньевна, Шабунин Михаил Иванович, издательство Просвещение, Москва, 2014, страница 155, номер 521, Решение 7
Решение 8. №521 (с. 155)

Для доказательства тождества $\sqrt{1 + \sin\alpha} - \sqrt{1 - \sin\alpha} = 2\sin\frac{\alpha}{2}$ при условии $0 < \alpha < \frac{\pi}{2}$, преобразуем левую часть равенства.

Воспользуемся основным тригонометрическим тождеством $1 = \sin^2\frac{\alpha}{2} + \cos^2\frac{\alpha}{2}$ и формулой синуса двойного угла, из которой следует, что $\sin\alpha = 2\sin\frac{\alpha}{2}\cos\frac{\alpha}{2}$.

Подставим эти выражения в подкоренные выражения в левой части уравнения.

Для первого слагаемого:
$1 + \sin\alpha = \sin^2\frac{\alpha}{2} + \cos^2\frac{\alpha}{2} + 2\sin\frac{\alpha}{2}\cos\frac{\alpha}{2} = (\sin\frac{\alpha}{2} + \cos\frac{\alpha}{2})^2$.

Для второго слагаемого:
$1 - \sin\alpha = \sin^2\frac{\alpha}{2} + \cos^2\frac{\alpha}{2} - 2\sin\frac{\alpha}{2}\cos\frac{\alpha}{2} = (\cos\frac{\alpha}{2} - \sin\frac{\alpha}{2})^2$.

Теперь левая часть исходного равенства приобретает вид:
$\sqrt{(\sin\frac{\alpha}{2} + \cos\frac{\alpha}{2})^2} - \sqrt{(\cos\frac{\alpha}{2} - \sin\frac{\alpha}{2})^2}$.

Поскольку $\sqrt{x^2} = |x|$, мы можем переписать выражение как:
$|\sin\frac{\alpha}{2} + \cos\frac{\alpha}{2}| - |\cos\frac{\alpha}{2} - \sin\frac{\alpha}{2}|$.

Раскроем модули, учитывая заданное условие $0 < \alpha < \frac{\pi}{2}$.
Если $0 < \alpha < \frac{\pi}{2}$, то $0 < \frac{\alpha}{2} < \frac{\pi}{4}$.
В интервале $(0, \frac{\pi}{4})$ и синус, и косинус положительны. Следовательно, их сумма $\sin\frac{\alpha}{2} + \cos\frac{\alpha}{2}$ также положительна. Таким образом:
$|\sin\frac{\alpha}{2} + \cos\frac{\alpha}{2}| = \sin\frac{\alpha}{2} + \cos\frac{\alpha}{2}$.

Также в интервале $(0, \frac{\pi}{4})$ значение косинуса угла больше значения его синуса, то есть $\cos\frac{\alpha}{2} > \sin\frac{\alpha}{2}$. Следовательно, разность $\cos\frac{\alpha}{2} - \sin\frac{\alpha}{2}$ положительна. Таким образом:
$|\cos\frac{\alpha}{2} - \sin\frac{\alpha}{2}| = \cos\frac{\alpha}{2} - \sin\frac{\alpha}{2}$.

Подставим раскрытые модули обратно в выражение:
$(\sin\frac{\alpha}{2} + \cos\frac{\alpha}{2}) - (\cos\frac{\alpha}{2} - \sin\frac{\alpha}{2})$.
Раскроем скобки:
$\sin\frac{\alpha}{2} + \cos\frac{\alpha}{2} - \cos\frac{\alpha}{2} + \sin\frac{\alpha}{2} = 2\sin\frac{\alpha}{2}$.

Мы преобразовали левую часть равенства и получили правую часть. Таким образом, тождество доказано.

Ответ: Что и требовалось доказать.

Помогло решение? Оставьте отзыв в комментариях ниже.

Присоединяйтесь к Телеграм-группе @top_gdz

Присоединиться

Мы подготовили для вас ответ c подробным объяснением домашего задания по алгебре за 10-11 класс, для упражнения номер 521 расположенного на странице 155 к учебнику 2014 года издания для учащихся школ и гимназий.

Теперь на нашем сайте ГДЗ.ТОП вы всегда легко и бесплатно найдёте условие с правильным ответом на вопрос «Как решить ДЗ» и «Как сделать» задание по алгебре к упражнению №521 (с. 155), авторов: Алимов (Шавкат Арифджанович), Колягин (Юрий Михайлович), Ткачева (Мария Владимировна), Федорова (Надежда Евгеньевна), Шабунин (Михаил Иванович), ФГОС (старый) базовый и углублённый уровень обучения учебного пособия издательства Просвещение.