Номер 514, страница 155 - гдз по алгебре 10-11 класс учебник Алимов, Колягин

Алгебра, 10-11 класс Учебник, авторы: Алимов Шавкат Арифджанович, Колягин Юрий Михайлович, Ткачева Мария Владимировна, Федорова Надежда Евгеньевна, Шабунин Михаил Иванович, издательство Просвещение, Москва, 2014

Авторы: Алимов Ш. А., Колягин Ю. М., Ткачева М. В., Федорова Н. Е., Шабунин М. И.

Тип: Учебник

Издательство: Просвещение

Год издания: 2014 - 2025

Уровень обучения: базовый и углублённый

Цвет обложки: синий, фиолетовый

ISBN: 978-5-09-112136-0

Допущено Министерством просвещения Российской Федерации

Математика: алгебра и начала математического анализа, геометрия

Популярные ГДЗ в 10 классе

Глава 5. Тригонометрические формулы. Параграф 30. Синус, косинус и тангенс половинного угла - номер 514, страница 155.

№514 (с. 155)
Условие. №514 (с. 155)
скриншот условия
Алгебра, 10-11 класс Учебник, авторы: Алимов Шавкат Арифджанович, Колягин Юрий Михайлович, Ткачева Мария Владимировна, Федорова Надежда Евгеньевна, Шабунин Михаил Иванович, издательство Просвещение, Москва, 2014, страница 155, номер 514, Условие

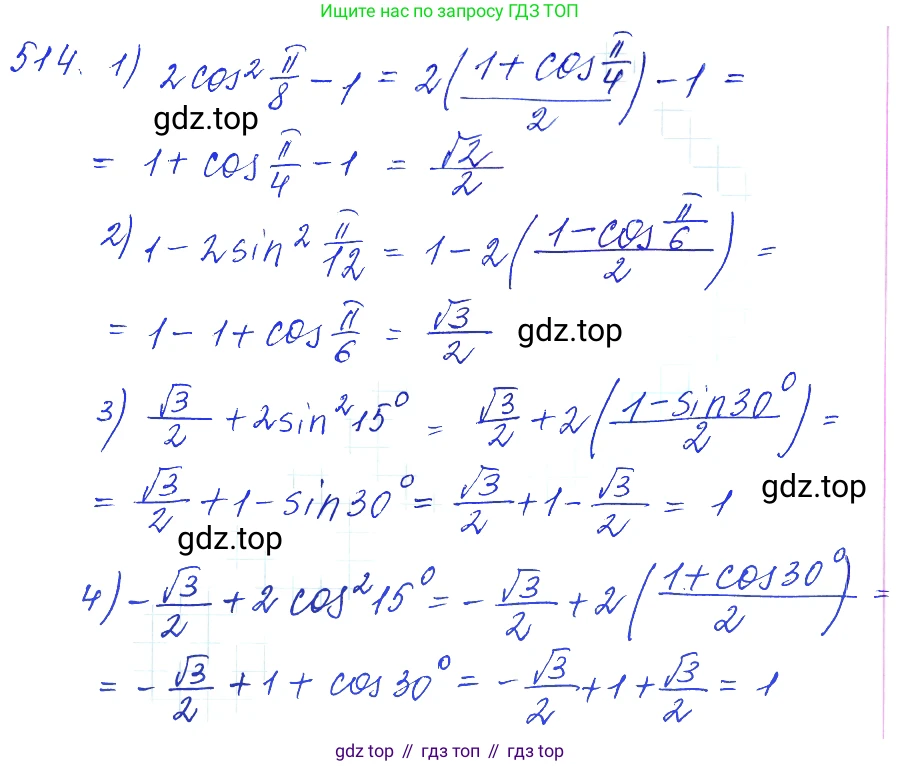
514 Найти числовое значение выражения:

1) $2 \cos^2 \frac{\pi}{8} - 1;$

2) $1 - 2 \sin^2 \frac{\pi}{12};$

3) $\frac{\sqrt{3}}{2} + 2 \sin^2 15^\circ;$

4) $-\frac{\sqrt{3}}{2} + 2 \cos^2 15^\circ.$

Решение 1. №514 (с. 155)
Алгебра, 10-11 класс Учебник, авторы: Алимов Шавкат Арифджанович, Колягин Юрий Михайлович, Ткачева Мария Владимировна, Федорова Надежда Евгеньевна, Шабунин Михаил Иванович, издательство Просвещение, Москва, 2014, страница 155, номер 514, Решение 1
Алгебра, 10-11 класс Учебник, авторы: Алимов Шавкат Арифджанович, Колягин Юрий Михайлович, Ткачева Мария Владимировна, Федорова Надежда Евгеньевна, Шабунин Михаил Иванович, издательство Просвещение, Москва, 2014, страница 155, номер 514, Решение 1 (продолжение 2)
Алгебра, 10-11 класс Учебник, авторы: Алимов Шавкат Арифджанович, Колягин Юрий Михайлович, Ткачева Мария Владимировна, Федорова Надежда Евгеньевна, Шабунин Михаил Иванович, издательство Просвещение, Москва, 2014, страница 155, номер 514, Решение 1 (продолжение 3)
Алгебра, 10-11 класс Учебник, авторы: Алимов Шавкат Арифджанович, Колягин Юрий Михайлович, Ткачева Мария Владимировна, Федорова Надежда Евгеньевна, Шабунин Михаил Иванович, издательство Просвещение, Москва, 2014, страница 155, номер 514, Решение 1 (продолжение 4)
Решение 2. №514 (с. 155)
Алгебра, 10-11 класс Учебник, авторы: Алимов Шавкат Арифджанович, Колягин Юрий Михайлович, Ткачева Мария Владимировна, Федорова Надежда Евгеньевна, Шабунин Михаил Иванович, издательство Просвещение, Москва, 2014, страница 155, номер 514, Решение 2
Алгебра, 10-11 класс Учебник, авторы: Алимов Шавкат Арифджанович, Колягин Юрий Михайлович, Ткачева Мария Владимировна, Федорова Надежда Евгеньевна, Шабунин Михаил Иванович, издательство Просвещение, Москва, 2014, страница 155, номер 514, Решение 2 (продолжение 2)
Решение 4. №514 (с. 155)
Алгебра, 10-11 класс Учебник, авторы: Алимов Шавкат Арифджанович, Колягин Юрий Михайлович, Ткачева Мария Владимировна, Федорова Надежда Евгеньевна, Шабунин Михаил Иванович, издательство Просвещение, Москва, 2014, страница 155, номер 514, Решение 4
Решение 5. №514 (с. 155)
Алгебра, 10-11 класс Учебник, авторы: Алимов Шавкат Арифджанович, Колягин Юрий Михайлович, Ткачева Мария Владимировна, Федорова Надежда Евгеньевна, Шабунин Михаил Иванович, издательство Просвещение, Москва, 2014, страница 155, номер 514, Решение 5
Решение 6. №514 (с. 155)
Алгебра, 10-11 класс Учебник, авторы: Алимов Шавкат Арифджанович, Колягин Юрий Михайлович, Ткачева Мария Владимировна, Федорова Надежда Евгеньевна, Шабунин Михаил Иванович, издательство Просвещение, Москва, 2014, страница 155, номер 514, Решение 6
Решение 7. №514 (с. 155)
Алгебра, 10-11 класс Учебник, авторы: Алимов Шавкат Арифджанович, Колягин Юрий Михайлович, Ткачева Мария Владимировна, Федорова Надежда Евгеньевна, Шабунин Михаил Иванович, издательство Просвещение, Москва, 2014, страница 155, номер 514, Решение 7
Решение 8. №514 (с. 155)

1) Для нахождения значения выражения $2 \cos^2 \frac{\pi}{8} - 1$ воспользуемся формулой косинуса двойного угла: $ \cos(2\alpha) = 2 \cos^2 \alpha - 1 $.
В данном случае $ \alpha = \frac{\pi}{8} $.
Подставим значение $ \alpha $ в формулу:
$ 2 \cos^2 \frac{\pi}{8} - 1 = \cos(2 \cdot \frac{\pi}{8}) = \cos(\frac{\pi}{4}) $.
Значение косинуса для угла $ \frac{\pi}{4} $ является табличным:
$ \cos(\frac{\pi}{4}) = \frac{\sqrt{2}}{2} $.
Ответ: $ \frac{\sqrt{2}}{2} $

2) Для нахождения значения выражения $ 1 - 2 \sin^2 \frac{\pi}{12} $ воспользуемся другой формой формулы косинуса двойного угла: $ \cos(2\alpha) = 1 - 2 \sin^2 \alpha $.
В данном случае $ \alpha = \frac{\pi}{12} $.
Подставим значение $ \alpha $ в формулу:
$ 1 - 2 \sin^2 \frac{\pi}{12} = \cos(2 \cdot \frac{\pi}{12}) = \cos(\frac{\pi}{6}) $.
Значение косинуса для угла $ \frac{\pi}{6} $ является табличным:
$ \cos(\frac{\pi}{6}) = \frac{\sqrt{3}}{2} $.
Ответ: $ \frac{\sqrt{3}}{2} $

3) Рассмотрим выражение $ \frac{\sqrt{3}}{2} + 2 \sin^2 15^\circ $.
Для его упрощения используем формулу понижения степени для синуса, которая является следствием формулы косинуса двойного угла: $ 2 \sin^2 \alpha = 1 - \cos(2\alpha) $.
Применим эту формулу для $ \alpha = 15^\circ $:
$ 2 \sin^2 15^\circ = 1 - \cos(2 \cdot 15^\circ) = 1 - \cos(30^\circ) $.
Мы знаем, что $ \cos(30^\circ) = \frac{\sqrt{3}}{2} $.
Подставим это значение в выражение для $ 2 \sin^2 15^\circ $:
$ 2 \sin^2 15^\circ = 1 - \frac{\sqrt{3}}{2} $.
Теперь подставим полученный результат в исходное выражение:
$ \frac{\sqrt{3}}{2} + (1 - \frac{\sqrt{3}}{2}) = \frac{\sqrt{3}}{2} + 1 - \frac{\sqrt{3}}{2} = 1 $.
Ответ: 1

4) Рассмотрим выражение $ -\frac{\sqrt{3}}{2} + 2 \cos^2 15^\circ $.
Для его упрощения используем формулу понижения степени для косинуса, которая также является следствием формулы косинуса двойного угла: $ 2 \cos^2 \alpha = 1 + \cos(2\alpha) $.
Применим эту формулу для $ \alpha = 15^\circ $:
$ 2 \cos^2 15^\circ = 1 + \cos(2 \cdot 15^\circ) = 1 + \cos(30^\circ) $.
Мы знаем, что $ \cos(30^\circ) = \frac{\sqrt{3}}{2} $.
Подставим это значение в выражение для $ 2 \cos^2 15^\circ $:
$ 2 \cos^2 15^\circ = 1 + \frac{\sqrt{3}}{2} $.
Теперь подставим полученный результат в исходное выражение:
$ -\frac{\sqrt{3}}{2} + (1 + \frac{\sqrt{3}}{2}) = -\frac{\sqrt{3}}{2} + 1 + \frac{\sqrt{3}}{2} = 1 $.
Ответ: 1

Помогло решение? Оставьте отзыв в комментариях ниже.

Присоединяйтесь к Телеграм-группе @top_gdz

Присоединиться

Мы подготовили для вас ответ c подробным объяснением домашего задания по алгебре за 10-11 класс, для упражнения номер 514 расположенного на странице 155 к учебнику 2014 года издания для учащихся школ и гимназий.

Теперь на нашем сайте ГДЗ.ТОП вы всегда легко и бесплатно найдёте условие с правильным ответом на вопрос «Как решить ДЗ» и «Как сделать» задание по алгебре к упражнению №514 (с. 155), авторов: Алимов (Шавкат Арифджанович), Колягин (Юрий Михайлович), Ткачева (Мария Владимировна), Федорова (Надежда Евгеньевна), Шабунин (Михаил Иванович), ФГОС (старый) базовый и углублённый уровень обучения учебного пособия издательства Просвещение.