Номер 512, страница 151 - гдз по алгебре 10-11 класс учебник Алимов, Колягин

Алгебра, 10-11 класс Учебник, авторы: Алимов Шавкат Арифджанович, Колягин Юрий Михайлович, Ткачева Мария Владимировна, Федорова Надежда Евгеньевна, Шабунин Михаил Иванович, издательство Просвещение, Москва, 2014

Авторы: Алимов Ш. А., Колягин Ю. М., Ткачева М. В., Федорова Н. Е., Шабунин М. И.

Тип: Учебник

Издательство: Просвещение

Год издания: 2014 - 2025

Уровень обучения: базовый и углублённый

Цвет обложки: синий, фиолетовый

ISBN: 978-5-09-112136-0

Допущено Министерством просвещения Российской Федерации

Математика: алгебра и начала математического анализа, геометрия

Популярные ГДЗ в 10 классе

Глава 5. Тригонометрические формулы. Параграф 29. Синус, косинус и тангенс двойного угла - номер 512, страница 151.

№512 (с. 151)
Условие. №512 (с. 151)
скриншот условия
Алгебра, 10-11 класс Учебник, авторы: Алимов Шавкат Арифджанович, Колягин Юрий Михайлович, Ткачева Мария Владимировна, Федорова Надежда Евгеньевна, Шабунин Михаил Иванович, издательство Просвещение, Москва, 2014, страница 151, номер 512, Условие

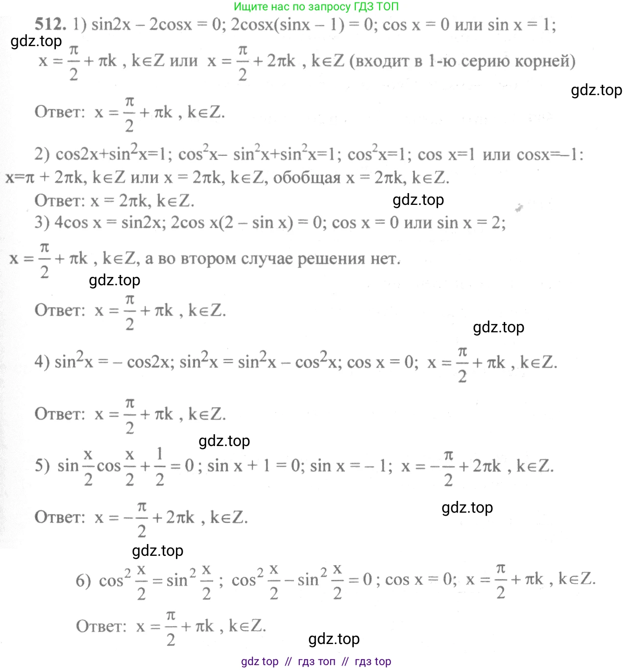
512 Решить уравнение:

1) $\sin 2x - 2 \cos x = 0$;

2) $\cos 2x + \sin^2 x = 1$;

3) $4 \cos x = \sin 2x$;

4) $\sin^2 x = -\cos 2x$;

5) $\sin \frac{x}{2} \cos \frac{x}{2} + \frac{1}{2} = 0$;

6) $\cos^2 \frac{x}{2} = \sin^2 \frac{x}{2}$.

Решение 1. №512 (с. 151)
Алгебра, 10-11 класс Учебник, авторы: Алимов Шавкат Арифджанович, Колягин Юрий Михайлович, Ткачева Мария Владимировна, Федорова Надежда Евгеньевна, Шабунин Михаил Иванович, издательство Просвещение, Москва, 2014, страница 151, номер 512, Решение 1
Алгебра, 10-11 класс Учебник, авторы: Алимов Шавкат Арифджанович, Колягин Юрий Михайлович, Ткачева Мария Владимировна, Федорова Надежда Евгеньевна, Шабунин Михаил Иванович, издательство Просвещение, Москва, 2014, страница 151, номер 512, Решение 1 (продолжение 2)
Алгебра, 10-11 класс Учебник, авторы: Алимов Шавкат Арифджанович, Колягин Юрий Михайлович, Ткачева Мария Владимировна, Федорова Надежда Евгеньевна, Шабунин Михаил Иванович, издательство Просвещение, Москва, 2014, страница 151, номер 512, Решение 1 (продолжение 3)
Алгебра, 10-11 класс Учебник, авторы: Алимов Шавкат Арифджанович, Колягин Юрий Михайлович, Ткачева Мария Владимировна, Федорова Надежда Евгеньевна, Шабунин Михаил Иванович, издательство Просвещение, Москва, 2014, страница 151, номер 512, Решение 1 (продолжение 4)
Алгебра, 10-11 класс Учебник, авторы: Алимов Шавкат Арифджанович, Колягин Юрий Михайлович, Ткачева Мария Владимировна, Федорова Надежда Евгеньевна, Шабунин Михаил Иванович, издательство Просвещение, Москва, 2014, страница 151, номер 512, Решение 1 (продолжение 5) Алгебра, 10-11 класс Учебник, авторы: Алимов Шавкат Арифджанович, Колягин Юрий Михайлович, Ткачева Мария Владимировна, Федорова Надежда Евгеньевна, Шабунин Михаил Иванович, издательство Просвещение, Москва, 2014, страница 151, номер 512, Решение 1 (продолжение 6)
Решение 2. №512 (с. 151)
Алгебра, 10-11 класс Учебник, авторы: Алимов Шавкат Арифджанович, Колягин Юрий Михайлович, Ткачева Мария Владимировна, Федорова Надежда Евгеньевна, Шабунин Михаил Иванович, издательство Просвещение, Москва, 2014, страница 151, номер 512, Решение 2
Алгебра, 10-11 класс Учебник, авторы: Алимов Шавкат Арифджанович, Колягин Юрий Михайлович, Ткачева Мария Владимировна, Федорова Надежда Евгеньевна, Шабунин Михаил Иванович, издательство Просвещение, Москва, 2014, страница 151, номер 512, Решение 2 (продолжение 2)
Решение 4. №512 (с. 151)
Алгебра, 10-11 класс Учебник, авторы: Алимов Шавкат Арифджанович, Колягин Юрий Михайлович, Ткачева Мария Владимировна, Федорова Надежда Евгеньевна, Шабунин Михаил Иванович, издательство Просвещение, Москва, 2014, страница 151, номер 512, Решение 4
Решение 5. №512 (с. 151)
Алгебра, 10-11 класс Учебник, авторы: Алимов Шавкат Арифджанович, Колягин Юрий Михайлович, Ткачева Мария Владимировна, Федорова Надежда Евгеньевна, Шабунин Михаил Иванович, издательство Просвещение, Москва, 2014, страница 151, номер 512, Решение 5
Алгебра, 10-11 класс Учебник, авторы: Алимов Шавкат Арифджанович, Колягин Юрий Михайлович, Ткачева Мария Владимировна, Федорова Надежда Евгеньевна, Шабунин Михаил Иванович, издательство Просвещение, Москва, 2014, страница 151, номер 512, Решение 5 (продолжение 2)
Решение 6. №512 (с. 151)
Алгебра, 10-11 класс Учебник, авторы: Алимов Шавкат Арифджанович, Колягин Юрий Михайлович, Ткачева Мария Владимировна, Федорова Надежда Евгеньевна, Шабунин Михаил Иванович, издательство Просвещение, Москва, 2014, страница 151, номер 512, Решение 6
Решение 7. №512 (с. 151)
Алгебра, 10-11 класс Учебник, авторы: Алимов Шавкат Арифджанович, Колягин Юрий Михайлович, Ткачева Мария Владимировна, Федорова Надежда Евгеньевна, Шабунин Михаил Иванович, издательство Просвещение, Москва, 2014, страница 151, номер 512, Решение 7 Алгебра, 10-11 класс Учебник, авторы: Алимов Шавкат Арифджанович, Колягин Юрий Михайлович, Ткачева Мария Владимировна, Федорова Надежда Евгеньевна, Шабунин Михаил Иванович, издательство Просвещение, Москва, 2014, страница 151, номер 512, Решение 7 (продолжение 2) Алгебра, 10-11 класс Учебник, авторы: Алимов Шавкат Арифджанович, Колягин Юрий Михайлович, Ткачева Мария Владимировна, Федорова Надежда Евгеньевна, Шабунин Михаил Иванович, издательство Просвещение, Москва, 2014, страница 151, номер 512, Решение 7 (продолжение 3)
Решение 8. №512 (с. 151)

1) $ \sin 2x - 2 \cos x = 0 $

Используем формулу синуса двойного угла $ \sin 2x = 2 \sin x \cos x $:

$ 2 \sin x \cos x - 2 \cos x = 0 $

Вынесем общий множитель $ 2 \cos x $ за скобки:

$ 2 \cos x (\sin x - 1) = 0 $

Произведение равно нулю, когда один из множителей равен нулю. Получаем два уравнения:

а) $ \cos x = 0 $

Решением является $ x = \frac{\pi}{2} + \pi k $, где $ k \in \mathbb{Z} $.

б) $ \sin x - 1 = 0 \implies \sin x = 1 $

Решением является $ x = \frac{\pi}{2} + 2\pi n $, где $ n \in \mathbb{Z} $.

Заметим, что вторая серия решений ($ x = \frac{\pi}{2} + 2\pi n $) является подмножеством первой серии решений ($ x = \frac{\pi}{2} + \pi k $), так как включает в себя случаи, когда $ k $ — четное число ($ k=2n $). Поэтому, чтобы охватить все решения, достаточно указать только первую, более общую, серию.

Ответ: $ x = \frac{\pi}{2} + \pi k, k \in \mathbb{Z} $.


2) $ \cos 2x + \sin^2 x = 1 $

Используем формулу косинуса двойного угла $ \cos 2x = 1 - 2\sin^2 x $:

$ (1 - 2\sin^2 x) + \sin^2 x = 1 $

Упростим выражение:

$ 1 - \sin^2 x = 1 $

$ \sin^2 x = 0 $

$ \sin x = 0 $

Решением данного уравнения является:

$ x = \pi k $, где $ k \in \mathbb{Z} $.

Ответ: $ x = \pi k, k \in \mathbb{Z} $.


3) $ 4 \cos x = \sin 2x $

Используем формулу синуса двойного угла $ \sin 2x = 2 \sin x \cos x $:

$ 4 \cos x = 2 \sin x \cos x $

Перенесем все члены в левую часть:

$ 4 \cos x - 2 \sin x \cos x = 0 $

Вынесем общий множитель $ 2 \cos x $:

$ 2 \cos x (2 - \sin x) = 0 $

Получаем два уравнения:

а) $ \cos x = 0 $

Решением является $ x = \frac{\pi}{2} + \pi k $, где $ k \in \mathbb{Z} $.

б) $ 2 - \sin x = 0 \implies \sin x = 2 $

Это уравнение не имеет решений, так как область значений функции синус $ [-1, 1] $.

Следовательно, решением исходного уравнения является только первая серия корней.

Ответ: $ x = \frac{\pi}{2} + \pi k, k \in \mathbb{Z} $.


4) $ \sin^2 x = -\cos 2x $

Перенесем $ \cos 2x $ в левую часть уравнения:

$ \sin^2 x + \cos 2x = 0 $

Используем формулу косинуса двойного угла $ \cos 2x = \cos^2 x - \sin^2 x $:

$ \sin^2 x + (\cos^2 x - \sin^2 x) = 0 $

После упрощения получаем:

$ \cos^2 x = 0 $

$ \cos x = 0 $

Решением данного уравнения является:

$ x = \frac{\pi}{2} + \pi k $, где $ k \in \mathbb{Z} $.

Ответ: $ x = \frac{\pi}{2} + \pi k, k \in \mathbb{Z} $.


5) $ \sin \frac{x}{2} \cos \frac{x}{2} + \frac{1}{2} = 0 $

Используем формулу синуса двойного угла $ \sin(2\alpha) = 2 \sin \alpha \cos \alpha $, из которой следует, что $ \sin \alpha \cos \alpha = \frac{1}{2} \sin(2\alpha) $. Применим ее для $ \alpha = \frac{x}{2} $:

$ \frac{1}{2} \sin(2 \cdot \frac{x}{2}) + \frac{1}{2} = 0 $

$ \frac{1}{2} \sin x + \frac{1}{2} = 0 $

Умножим обе части на 2:

$ \sin x + 1 = 0 $

$ \sin x = -1 $

Решением данного уравнения является:

$ x = -\frac{\pi}{2} + 2\pi k $, где $ k \in \mathbb{Z} $.

Ответ: $ x = -\frac{\pi}{2} + 2\pi k, k \in \mathbb{Z} $.


6) $ \cos^2 \frac{x}{2} = \sin^2 \frac{x}{2} $

Перенесем $ \sin^2 \frac{x}{2} $ в левую часть:

$ \cos^2 \frac{x}{2} - \sin^2 \frac{x}{2} = 0 $

Используем формулу косинуса двойного угла $ \cos(2\alpha) = \cos^2 \alpha - \sin^2 \alpha $. Применим ее для $ \alpha = \frac{x}{2} $:

$ \cos(2 \cdot \frac{x}{2}) = 0 $

$ \cos x = 0 $

Решением данного уравнения является:

$ x = \frac{\pi}{2} + \pi k $, где $ k \in \mathbb{Z} $.

Ответ: $ x = \frac{\pi}{2} + \pi k, k \in \mathbb{Z} $.

Помогло решение? Оставьте отзыв в комментариях ниже.

Присоединяйтесь к Телеграм-группе @top_gdz

Присоединиться

Мы подготовили для вас ответ c подробным объяснением домашего задания по алгебре за 10-11 класс, для упражнения номер 512 расположенного на странице 151 к учебнику 2014 года издания для учащихся школ и гимназий.

Теперь на нашем сайте ГДЗ.ТОП вы всегда легко и бесплатно найдёте условие с правильным ответом на вопрос «Как решить ДЗ» и «Как сделать» задание по алгебре к упражнению №512 (с. 151), авторов: Алимов (Шавкат Арифджанович), Колягин (Юрий Михайлович), Ткачева (Мария Владимировна), Федорова (Надежда Евгеньевна), Шабунин (Михаил Иванович), ФГОС (старый) базовый и углублённый уровень обучения учебного пособия издательства Просвещение.