Номер 526, страница 159 - гдз по алгебре 10-11 класс учебник Алимов, Колягин

Алгебра, 10-11 класс Учебник, авторы: Алимов Шавкат Арифджанович, Колягин Юрий Михайлович, Ткачева Мария Владимировна, Федорова Надежда Евгеньевна, Шабунин Михаил Иванович, издательство Просвещение, Москва, 2014

Авторы: Алимов Ш. А., Колягин Ю. М., Ткачева М. В., Федорова Н. Е., Шабунин М. И.

Тип: Учебник

Издательство: Просвещение

Год издания: 2014 - 2025

Уровень обучения: базовый и углублённый

Цвет обложки: синий, фиолетовый

ISBN: 978-5-09-112136-0

Допущено Министерством просвещения Российской Федерации

Математика: алгебра и начала математического анализа, геометрия

Популярные ГДЗ в 10 классе

Глава 5. Тригонометрические формулы. Параграф 31. Формулы приведения - номер 526, страница 159.

№526 (с. 159)
Условие. №526 (с. 159)
скриншот условия
Алгебра, 10-11 класс Учебник, авторы: Алимов Шавкат Арифджанович, Колягин Юрий Михайлович, Ткачева Мария Владимировна, Федорова Надежда Евгеньевна, Шабунин Михаил Иванович, издательство Просвещение, Москва, 2014, страница 159, номер 526, Условие

526 1) $tg \frac{5\pi}{4}$;

2) $sin \frac{7\pi}{6}$;

3) $cos \frac{5\pi}{3}$;

4) $ctg \frac{5\pi}{3}$;

5) $sin \left(-\frac{13\pi}{6}\right)$;

6) $cos \left(-\frac{7\pi}{3}\right)$;

7) $tg \left(-\frac{2\pi}{3}\right)$;

8) $ctg \left(-\frac{7\pi}{4}\right)$.

Решение 1. №526 (с. 159)
Алгебра, 10-11 класс Учебник, авторы: Алимов Шавкат Арифджанович, Колягин Юрий Михайлович, Ткачева Мария Владимировна, Федорова Надежда Евгеньевна, Шабунин Михаил Иванович, издательство Просвещение, Москва, 2014, страница 159, номер 526, Решение 1
Алгебра, 10-11 класс Учебник, авторы: Алимов Шавкат Арифджанович, Колягин Юрий Михайлович, Ткачева Мария Владимировна, Федорова Надежда Евгеньевна, Шабунин Михаил Иванович, издательство Просвещение, Москва, 2014, страница 159, номер 526, Решение 1 (продолжение 2)
Алгебра, 10-11 класс Учебник, авторы: Алимов Шавкат Арифджанович, Колягин Юрий Михайлович, Ткачева Мария Владимировна, Федорова Надежда Евгеньевна, Шабунин Михаил Иванович, издательство Просвещение, Москва, 2014, страница 159, номер 526, Решение 1 (продолжение 3)
Алгебра, 10-11 класс Учебник, авторы: Алимов Шавкат Арифджанович, Колягин Юрий Михайлович, Ткачева Мария Владимировна, Федорова Надежда Евгеньевна, Шабунин Михаил Иванович, издательство Просвещение, Москва, 2014, страница 159, номер 526, Решение 1 (продолжение 4)
Алгебра, 10-11 класс Учебник, авторы: Алимов Шавкат Арифджанович, Колягин Юрий Михайлович, Ткачева Мария Владимировна, Федорова Надежда Евгеньевна, Шабунин Михаил Иванович, издательство Просвещение, Москва, 2014, страница 159, номер 526, Решение 1 (продолжение 5) Алгебра, 10-11 класс Учебник, авторы: Алимов Шавкат Арифджанович, Колягин Юрий Михайлович, Ткачева Мария Владимировна, Федорова Надежда Евгеньевна, Шабунин Михаил Иванович, издательство Просвещение, Москва, 2014, страница 159, номер 526, Решение 1 (продолжение 6) Алгебра, 10-11 класс Учебник, авторы: Алимов Шавкат Арифджанович, Колягин Юрий Михайлович, Ткачева Мария Владимировна, Федорова Надежда Евгеньевна, Шабунин Михаил Иванович, издательство Просвещение, Москва, 2014, страница 159, номер 526, Решение 1 (продолжение 7) Алгебра, 10-11 класс Учебник, авторы: Алимов Шавкат Арифджанович, Колягин Юрий Михайлович, Ткачева Мария Владимировна, Федорова Надежда Евгеньевна, Шабунин Михаил Иванович, издательство Просвещение, Москва, 2014, страница 159, номер 526, Решение 1 (продолжение 8)
Решение 2. №526 (с. 159)
Алгебра, 10-11 класс Учебник, авторы: Алимов Шавкат Арифджанович, Колягин Юрий Михайлович, Ткачева Мария Владимировна, Федорова Надежда Евгеньевна, Шабунин Михаил Иванович, издательство Просвещение, Москва, 2014, страница 159, номер 526, Решение 2
Алгебра, 10-11 класс Учебник, авторы: Алимов Шавкат Арифджанович, Колягин Юрий Михайлович, Ткачева Мария Владимировна, Федорова Надежда Евгеньевна, Шабунин Михаил Иванович, издательство Просвещение, Москва, 2014, страница 159, номер 526, Решение 2 (продолжение 2)
Решение 4. №526 (с. 159)
Алгебра, 10-11 класс Учебник, авторы: Алимов Шавкат Арифджанович, Колягин Юрий Михайлович, Ткачева Мария Владимировна, Федорова Надежда Евгеньевна, Шабунин Михаил Иванович, издательство Просвещение, Москва, 2014, страница 159, номер 526, Решение 4
Решение 5. №526 (с. 159)
Алгебра, 10-11 класс Учебник, авторы: Алимов Шавкат Арифджанович, Колягин Юрий Михайлович, Ткачева Мария Владимировна, Федорова Надежда Евгеньевна, Шабунин Михаил Иванович, издательство Просвещение, Москва, 2014, страница 159, номер 526, Решение 5
Решение 6. №526 (с. 159)
Алгебра, 10-11 класс Учебник, авторы: Алимов Шавкат Арифджанович, Колягин Юрий Михайлович, Ткачева Мария Владимировна, Федорова Надежда Евгеньевна, Шабунин Михаил Иванович, издательство Просвещение, Москва, 2014, страница 159, номер 526, Решение 6
Решение 7. №526 (с. 159)
Алгебра, 10-11 класс Учебник, авторы: Алимов Шавкат Арифджанович, Колягин Юрий Михайлович, Ткачева Мария Владимировна, Федорова Надежда Евгеньевна, Шабунин Михаил Иванович, издательство Просвещение, Москва, 2014, страница 159, номер 526, Решение 7
Решение 8. №526 (с. 159)

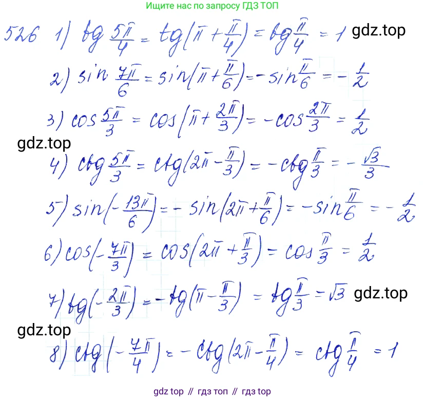
1) Чтобы найти значение $\tg\frac{5\pi}{4}$, представим угол $\frac{5\pi}{4}$ в виде суммы $\pi + \frac{\pi}{4}$.
Используя свойство периодичности тангенса ($\tg(\pi + \alpha) = \tg\alpha$), получаем:
$\tg\frac{5\pi}{4} = \tg(\pi + \frac{\pi}{4}) = \tg\frac{\pi}{4} = 1$.
Ответ: $1$.

2) Чтобы найти значение $\sin\frac{7\pi}{6}$, представим угол $\frac{7\pi}{6}$ в виде суммы $\pi + \frac{\pi}{6}$.
Используя формулу приведения $\sin(\pi + \alpha) = -\sin\alpha$, получаем:
$\sin\frac{7\pi}{6} = \sin(\pi + \frac{\pi}{6}) = -\sin\frac{\pi}{6} = -\frac{1}{2}$.
Ответ: $-\frac{1}{2}$.

3) Чтобы найти значение $\cos\frac{5\pi}{3}$, представим угол $\frac{5\pi}{3}$ в виде разности $2\pi - \frac{\pi}{3}$.
Используя свойство периодичности косинуса и его четность ($\cos(2\pi - \alpha) = \cos(-\alpha) = \cos\alpha$), получаем:
$\cos\frac{5\pi}{3} = \cos(2\pi - \frac{\pi}{3}) = \cos\frac{\pi}{3} = \frac{1}{2}$.
Ответ: $\frac{1}{2}$.

4) Чтобы найти значение $\ctg\frac{5\pi}{3}$, представим угол $\frac{5\pi}{3}$ в виде разности $2\pi - \frac{\pi}{3}$.
Используя свойство периодичности котангенса и его нечетность ($\ctg(2\pi + \alpha) = \ctg\alpha$ и $\ctg(-\alpha) = -\ctg\alpha$), получаем:
$\ctg\frac{5\pi}{3} = \ctg(2\pi - \frac{\pi}{3}) = \ctg(-\frac{\pi}{3}) = -\ctg\frac{\pi}{3} = -\frac{\sqrt{3}}{3}$.
Ответ: $-\frac{\sqrt{3}}{3}$.

5) Синус — нечетная функция, поэтому $\sin(-\alpha) = -\sin\alpha$.
$\sin(-\frac{13\pi}{6}) = -\sin\frac{13\pi}{6}$.
Представим угол $\frac{13\pi}{6}$ как $2\pi + \frac{\pi}{6}$. Учитывая периодичность синуса ($2\pi$):
$-\sin(\frac{12\pi}{6} + \frac{\pi}{6}) = -\sin(2\pi + \frac{\pi}{6}) = -\sin\frac{\pi}{6} = -\frac{1}{2}$.
Ответ: $-\frac{1}{2}$.

6) Косинус — четная функция, поэтому $\cos(-\alpha) = \cos\alpha$.
$\cos(-\frac{7\pi}{3}) = \cos\frac{7\pi}{3}$.
Представим угол $\frac{7\pi}{3}$ как $2\pi + \frac{\pi}{3}$. Учитывая периодичность косинуса ($2\pi$):
$\cos(\frac{6\pi}{3} + \frac{\pi}{3}) = \cos(2\pi + \frac{\pi}{3}) = \cos\frac{\pi}{3} = \frac{1}{2}$.
Ответ: $\frac{1}{2}$.

7) Тангенс — нечетная функция, поэтому $\tg(-\alpha) = -\tg\alpha$.
$\tg(-\frac{2\pi}{3}) = -\tg\frac{2\pi}{3}$.
Используем формулу приведения $\tg(\pi - \alpha) = -\tg\alpha$:
$-\tg\frac{2\pi}{3} = -\tg(\pi - \frac{\pi}{3}) = -(-\tg\frac{\pi}{3}) = \tg\frac{\pi}{3} = \sqrt{3}$.
Ответ: $\sqrt{3}$.

8) Котангенс — нечетная функция, поэтому $\ctg(-\alpha) = -\ctg\alpha$.
$\ctg(-\frac{7\pi}{4}) = -\ctg\frac{7\pi}{4}$.
Используем свойство периодичности ($\ctg(2\pi - \alpha) = \ctg(-\alpha) = -\ctg\alpha$):
$-\ctg\frac{7\pi}{4} = -\ctg(2\pi - \frac{\pi}{4}) = -(-\ctg\frac{\pi}{4}) = \ctg\frac{\pi}{4} = 1$.
Ответ: $1$.

Помогло решение? Оставьте отзыв в комментариях ниже.

Присоединяйтесь к Телеграм-группе @top_gdz

Присоединиться

Мы подготовили для вас ответ c подробным объяснением домашего задания по алгебре за 10-11 класс, для упражнения номер 526 расположенного на странице 159 к учебнику 2014 года издания для учащихся школ и гимназий.

Теперь на нашем сайте ГДЗ.ТОП вы всегда легко и бесплатно найдёте условие с правильным ответом на вопрос «Как решить ДЗ» и «Как сделать» задание по алгебре к упражнению №526 (с. 159), авторов: Алимов (Шавкат Арифджанович), Колягин (Юрий Михайлович), Ткачева (Мария Владимировна), Федорова (Надежда Евгеньевна), Шабунин (Михаил Иванович), ФГОС (старый) базовый и углублённый уровень обучения учебного пособия издательства Просвещение.