Номер 530, страница 160 - гдз по алгебре 10-11 класс учебник Алимов, Колягин

Алгебра, 10-11 класс Учебник, авторы: Алимов Шавкат Арифджанович, Колягин Юрий Михайлович, Ткачева Мария Владимировна, Федорова Надежда Евгеньевна, Шабунин Михаил Иванович, издательство Просвещение, Москва, 2014

Авторы: Алимов Ш. А., Колягин Ю. М., Ткачева М. В., Федорова Н. Е., Шабунин М. И.

Тип: Учебник

Издательство: Просвещение

Год издания: 2014 - 2025

Уровень обучения: базовый и углублённый

Цвет обложки: синий, фиолетовый

ISBN: 978-5-09-112136-0

Допущено Министерством просвещения Российской Федерации

Математика: алгебра и начала математического анализа, геометрия

Популярные ГДЗ в 10 классе

Глава 5. Тригонометрические формулы. Параграф 31. Формулы приведения - номер 530, страница 160.

№530 (с. 160)
Условие. №530 (с. 160)
скриншот условия
Алгебра, 10-11 класс Учебник, авторы: Алимов Шавкат Арифджанович, Колягин Юрий Михайлович, Ткачева Мария Владимировна, Федорова Надежда Евгеньевна, Шабунин Михаил Иванович, издательство Просвещение, Москва, 2014, страница 160, номер 530, Условие

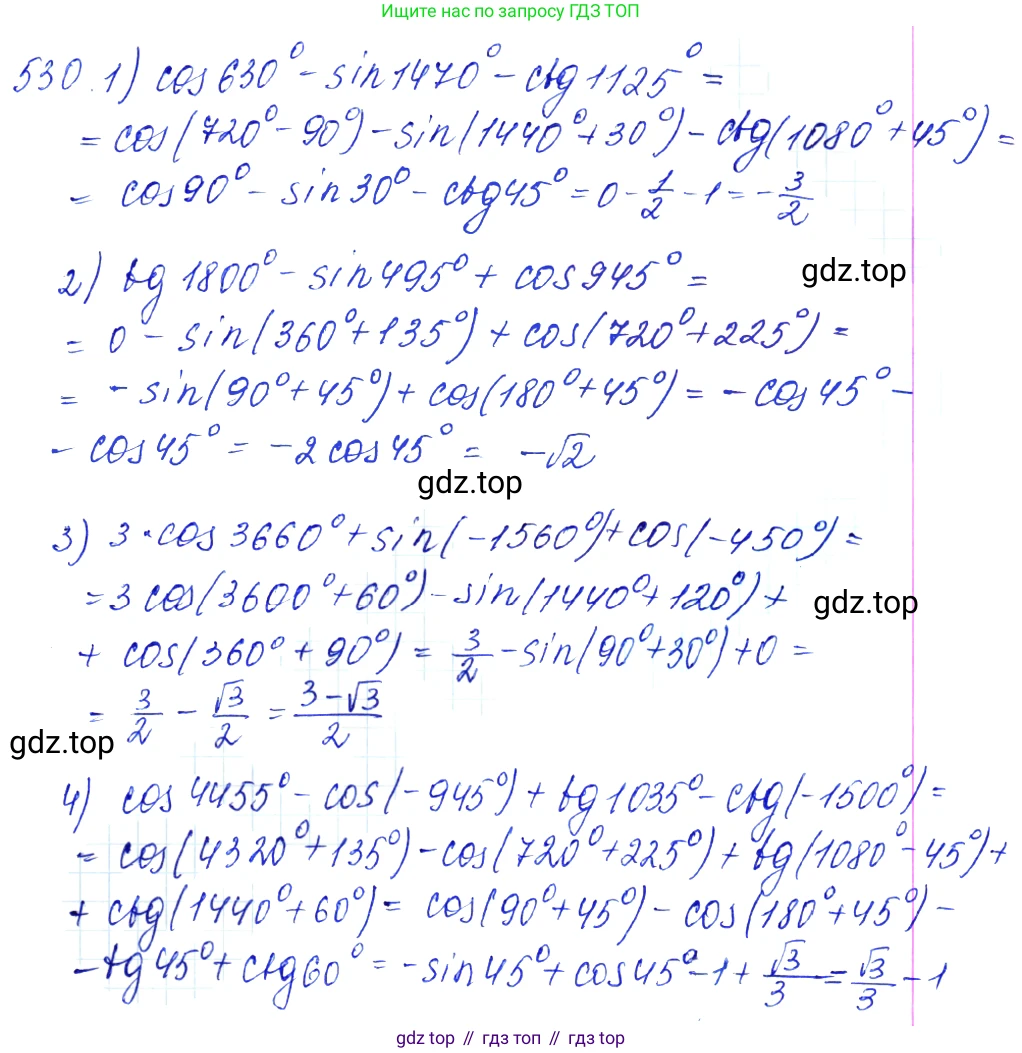
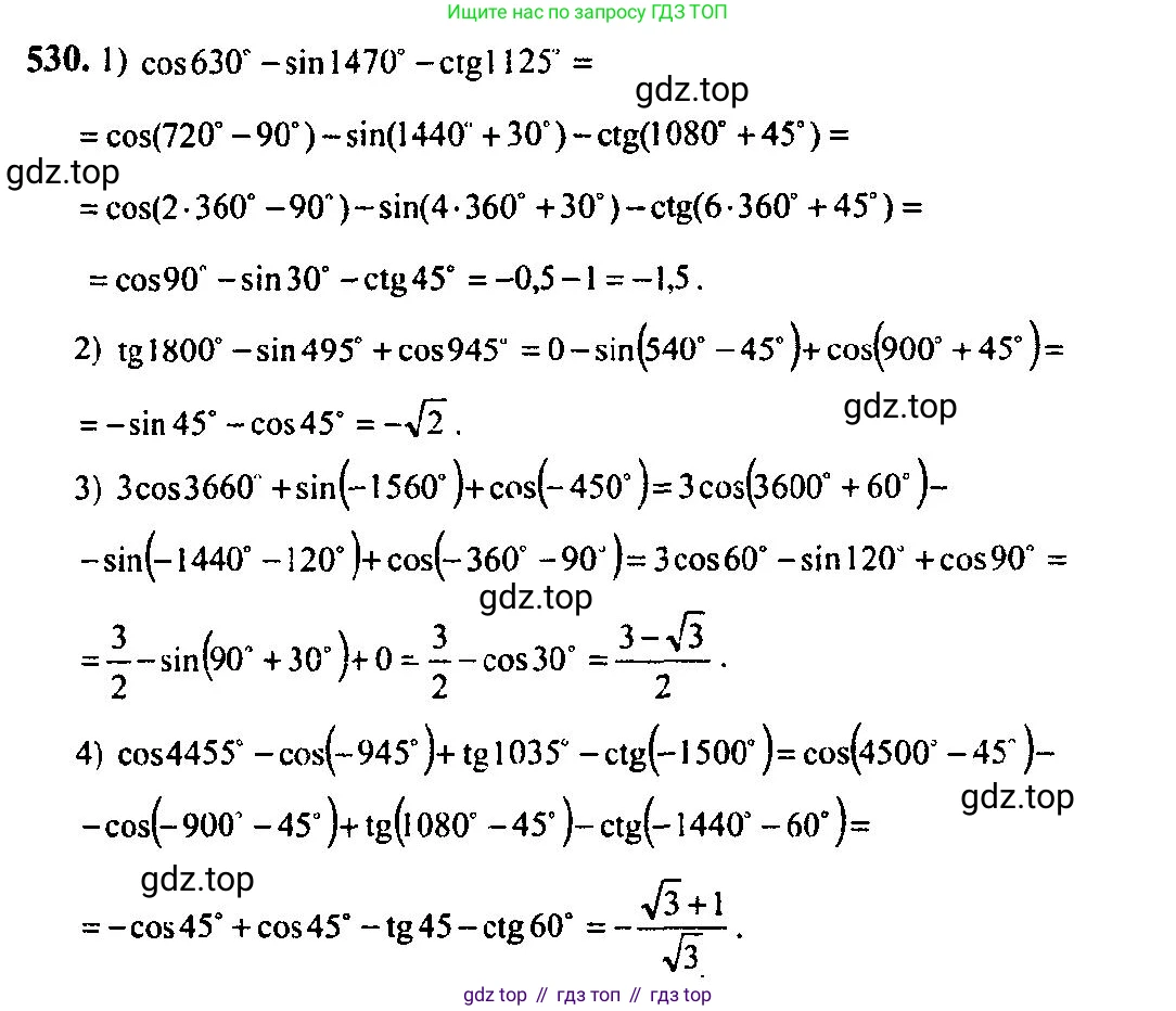
530 Найти значение выражения:

1) $\cos 630^\circ - \sin 1470^\circ - \ctg 1125^\circ;$

2) $\tg 1800^\circ - \sin 495^\circ + \cos 945^\circ;$

3) $3 \cos 3660^\circ + \sin (-1560^\circ) + \cos (-450^\circ);$

4) $\cos 4455^\circ - \cos (-945^\circ) + \tg 1035^\circ - \ctg (-1500^\circ).$

Решение 1. №530 (с. 160)
Алгебра, 10-11 класс Учебник, авторы: Алимов Шавкат Арифджанович, Колягин Юрий Михайлович, Ткачева Мария Владимировна, Федорова Надежда Евгеньевна, Шабунин Михаил Иванович, издательство Просвещение, Москва, 2014, страница 160, номер 530, Решение 1
Алгебра, 10-11 класс Учебник, авторы: Алимов Шавкат Арифджанович, Колягин Юрий Михайлович, Ткачева Мария Владимировна, Федорова Надежда Евгеньевна, Шабунин Михаил Иванович, издательство Просвещение, Москва, 2014, страница 160, номер 530, Решение 1 (продолжение 2)
Алгебра, 10-11 класс Учебник, авторы: Алимов Шавкат Арифджанович, Колягин Юрий Михайлович, Ткачева Мария Владимировна, Федорова Надежда Евгеньевна, Шабунин Михаил Иванович, издательство Просвещение, Москва, 2014, страница 160, номер 530, Решение 1 (продолжение 3)
Алгебра, 10-11 класс Учебник, авторы: Алимов Шавкат Арифджанович, Колягин Юрий Михайлович, Ткачева Мария Владимировна, Федорова Надежда Евгеньевна, Шабунин Михаил Иванович, издательство Просвещение, Москва, 2014, страница 160, номер 530, Решение 1 (продолжение 4)
Решение 2. №530 (с. 160)
Алгебра, 10-11 класс Учебник, авторы: Алимов Шавкат Арифджанович, Колягин Юрий Михайлович, Ткачева Мария Владимировна, Федорова Надежда Евгеньевна, Шабунин Михаил Иванович, издательство Просвещение, Москва, 2014, страница 160, номер 530, Решение 2
Решение 4. №530 (с. 160)
Алгебра, 10-11 класс Учебник, авторы: Алимов Шавкат Арифджанович, Колягин Юрий Михайлович, Ткачева Мария Владимировна, Федорова Надежда Евгеньевна, Шабунин Михаил Иванович, издательство Просвещение, Москва, 2014, страница 160, номер 530, Решение 4
Решение 5. №530 (с. 160)
Алгебра, 10-11 класс Учебник, авторы: Алимов Шавкат Арифджанович, Колягин Юрий Михайлович, Ткачева Мария Владимировна, Федорова Надежда Евгеньевна, Шабунин Михаил Иванович, издательство Просвещение, Москва, 2014, страница 160, номер 530, Решение 5
Решение 6. №530 (с. 160)
Алгебра, 10-11 класс Учебник, авторы: Алимов Шавкат Арифджанович, Колягин Юрий Михайлович, Ткачева Мария Владимировна, Федорова Надежда Евгеньевна, Шабунин Михаил Иванович, издательство Просвещение, Москва, 2014, страница 160, номер 530, Решение 6
Решение 7. №530 (с. 160)
Алгебра, 10-11 класс Учебник, авторы: Алимов Шавкат Арифджанович, Колягин Юрий Михайлович, Ткачева Мария Владимировна, Федорова Надежда Евгеньевна, Шабунин Михаил Иванович, издательство Просвещение, Москва, 2014, страница 160, номер 530, Решение 7
Решение 8. №530 (с. 160)

1) Для нахождения значения выражения $ \cos 630^\circ - \sin 1470^\circ \operatorname{ctg} 1125^\circ $ необходимо упростить каждый член выражения, используя периодичность тригонометрических функций.
Период синуса и косинуса равен $360^\circ$, а котангенса — $180^\circ$. Отсутствие знака между $ \sin 1470^\circ $ и $ \operatorname{ctg} 1125^\circ $ означает умножение.
1. Упростим $ \cos 630^\circ $.
$ 630^\circ = 360^\circ + 270^\circ $.
$ \cos 630^\circ = \cos(360^\circ + 270^\circ) = \cos 270^\circ = 0 $.
2. Упростим $ \sin 1470^\circ $.
$ 1470^\circ = 4 \cdot 360^\circ + 30^\circ = 1440^\circ + 30^\circ $.
$ \sin 1470^\circ = \sin(4 \cdot 360^\circ + 30^\circ) = \sin 30^\circ = \frac{1}{2} $.
3. Упростим $ \operatorname{ctg} 1125^\circ $.
$ 1125^\circ = 6 \cdot 180^\circ + 45^\circ = 1080^\circ + 45^\circ $.
$ \operatorname{ctg} 1125^\circ = \operatorname{ctg}(6 \cdot 180^\circ + 45^\circ) = \operatorname{ctg} 45^\circ = 1 $.
4. Подставим полученные значения в исходное выражение:
$ \cos 630^\circ - \sin 1470^\circ \operatorname{ctg} 1125^\circ = 0 - \frac{1}{2} \cdot 1 = -\frac{1}{2} $.
Ответ: $ -\frac{1}{2} $.

2) Для нахождения значения выражения $ \operatorname{tg} 1800^\circ - \sin 495^\circ + \cos 945^\circ $ упростим каждую функцию.
Период тангенса равен $180^\circ$, синуса и косинуса — $360^\circ$.
1. Упростим $ \operatorname{tg} 1800^\circ $.
$ 1800^\circ = 10 \cdot 180^\circ $.
$ \operatorname{tg} 1800^\circ = \operatorname{tg}(10 \cdot 180^\circ) = \operatorname{tg}(0^\circ) = 0 $.
2. Упростим $ \sin 495^\circ $.
$ 495^\circ = 360^\circ + 135^\circ $.
$ \sin 495^\circ = \sin(360^\circ + 135^\circ) = \sin 135^\circ = \sin(180^\circ - 45^\circ) = \sin 45^\circ = \frac{\sqrt{2}}{2} $.
3. Упростим $ \cos 945^\circ $.
$ 945^\circ = 2 \cdot 360^\circ + 225^\circ = 720^\circ + 225^\circ $.
$ \cos 945^\circ = \cos(2 \cdot 360^\circ + 225^\circ) = \cos 225^\circ = \cos(180^\circ + 45^\circ) = -\cos 45^\circ = -\frac{\sqrt{2}}{2} $.
4. Подставим значения в выражение:
$ \operatorname{tg} 1800^\circ - \sin 495^\circ + \cos 945^\circ = 0 - \frac{\sqrt{2}}{2} + \left(-\frac{\sqrt{2}}{2}\right) = -\frac{\sqrt{2}}{2} - \frac{\sqrt{2}}{2} = -\frac{2\sqrt{2}}{2} = -\sqrt{2} $.
Ответ: $ -\sqrt{2} $.

3) Для нахождения значения выражения $ 3 \cos 3660^\circ + \sin(-1560^\circ) + \cos(-450^\circ) $ упростим каждую функцию, используя также свойства четности ($ \cos(-x) = \cos x $) и нечетности ($ \sin(-x) = -\sin x $).
1. Упростим $ \cos 3660^\circ $.
$ 3660^\circ = 10 \cdot 360^\circ + 60^\circ $.
$ \cos 3660^\circ = \cos(10 \cdot 360^\circ + 60^\circ) = \cos 60^\circ = \frac{1}{2} $.
2. Упростим $ \sin(-1560^\circ) $.
$ \sin(-1560^\circ) = -\sin(1560^\circ) $.
$ 1560^\circ = 4 \cdot 360^\circ + 120^\circ = 1440^\circ + 120^\circ $.
$ -\sin(1560^\circ) = -\sin(4 \cdot 360^\circ + 120^\circ) = -\sin 120^\circ = -\sin(180^\circ - 60^\circ) = -\sin 60^\circ = -\frac{\sqrt{3}}{2} $.
3. Упростим $ \cos(-450^\circ) $.
$ \cos(-450^\circ) = \cos(450^\circ) = \cos(360^\circ + 90^\circ) = \cos 90^\circ = 0 $.
4. Подставим значения в выражение:
$ 3 \cos 3660^\circ + \sin(-1560^\circ) + \cos(-450^\circ) = 3 \cdot \frac{1}{2} + \left(-\frac{\sqrt{3}}{2}\right) + 0 = \frac{3}{2} - \frac{\sqrt{3}}{2} = \frac{3 - \sqrt{3}}{2} $.
Ответ: $ \frac{3 - \sqrt{3}}{2} $.

4) Для нахождения значения выражения $ \cos 4455^\circ - \cos(-945^\circ) + \operatorname{tg} 1035^\circ - \operatorname{ctg}(-1500^\circ) $ упростим каждую функцию, используя свойства периодичности, четности и нечетности ($ \operatorname{ctg}(-x) = -\operatorname{ctg} x $).
1. Упростим $ \cos 4455^\circ $.
$ 4455^\circ = 12 \cdot 360^\circ + 135^\circ = 4320^\circ + 135^\circ $.
$ \cos 4455^\circ = \cos(12 \cdot 360^\circ + 135^\circ) = \cos 135^\circ = \cos(180^\circ - 45^\circ) = -\cos 45^\circ = -\frac{\sqrt{2}}{2} $.
2. Упростим $ \cos(-945^\circ) $.
$ \cos(-945^\circ) = \cos(945^\circ) = \cos(2 \cdot 360^\circ + 225^\circ) = \cos 225^\circ = \cos(180^\circ + 45^\circ) = -\cos 45^\circ = -\frac{\sqrt{2}}{2} $.
3. Упростим $ \operatorname{tg} 1035^\circ $.
$ 1035^\circ = 5 \cdot 180^\circ + 135^\circ = 900^\circ + 135^\circ $.
$ \operatorname{tg} 1035^\circ = \operatorname{tg}(5 \cdot 180^\circ + 135^\circ) = \operatorname{tg} 135^\circ = \operatorname{tg}(180^\circ - 45^\circ) = -\operatorname{tg} 45^\circ = -1 $.
4. Упростим $ \operatorname{ctg}(-1500^\circ) $.
$ \operatorname{ctg}(-1500^\circ) = -\operatorname{ctg}(1500^\circ) $.
$ 1500^\circ = 8 \cdot 180^\circ + 60^\circ = 1440^\circ + 60^\circ $.
$ -\operatorname{ctg}(1500^\circ) = -\operatorname{ctg}(8 \cdot 180^\circ + 60^\circ) = -\operatorname{ctg} 60^\circ = -\frac{\sqrt{3}}{3} $.
5. Подставим значения в выражение:
$ \cos 4455^\circ - \cos(-945^\circ) + \operatorname{tg} 1035^\circ - \operatorname{ctg}(-1500^\circ) = \left(-\frac{\sqrt{2}}{2}\right) - \left(-\frac{\sqrt{2}}{2}\right) + (-1) - \left(-\frac{\sqrt{3}}{3}\right) = -\frac{\sqrt{2}}{2} + \frac{\sqrt{2}}{2} - 1 + \frac{\sqrt{3}}{3} = -1 + \frac{\sqrt{3}}{3} $.
Ответ: $ -1 + \frac{\sqrt{3}}{3} $.

Помогло решение? Оставьте отзыв в комментариях ниже.

Присоединяйтесь к Телеграм-группе @top_gdz

Присоединиться

Мы подготовили для вас ответ c подробным объяснением домашего задания по алгебре за 10-11 класс, для упражнения номер 530 расположенного на странице 160 к учебнику 2014 года издания для учащихся школ и гимназий.

Теперь на нашем сайте ГДЗ.ТОП вы всегда легко и бесплатно найдёте условие с правильным ответом на вопрос «Как решить ДЗ» и «Как сделать» задание по алгебре к упражнению №530 (с. 160), авторов: Алимов (Шавкат Арифджанович), Колягин (Юрий Михайлович), Ткачева (Мария Владимировна), Федорова (Надежда Евгеньевна), Шабунин (Михаил Иванович), ФГОС (старый) базовый и углублённый уровень обучения учебного пособия издательства Просвещение.