Номер 563, страница 167 - гдз по алгебре 10-11 класс учебник Алимов, Колягин

Авторы: Алимов Ш. А., Колягин Ю. М., Ткачева М. В., Федорова Н. Е., Шабунин М. И.
Тип: Учебник
Издательство: Просвещение
Год издания: 2014 - 2025
Уровень обучения: базовый и углублённый
Цвет обложки: синий, фиолетовый
ISBN: 978-5-09-112136-0
Допущено Министерством просвещения Российской Федерации
Математика: алгебра и начала математического анализа, геометрия
Популярные ГДЗ в 10 классе
Упражнения к главе 5. Глава 5. Тригонометрические формулы - номер 563, страница 167.
№563 (с. 167)
Условие. №563 (с. 167)
скриншот условия

Доказать тождество (563—564).
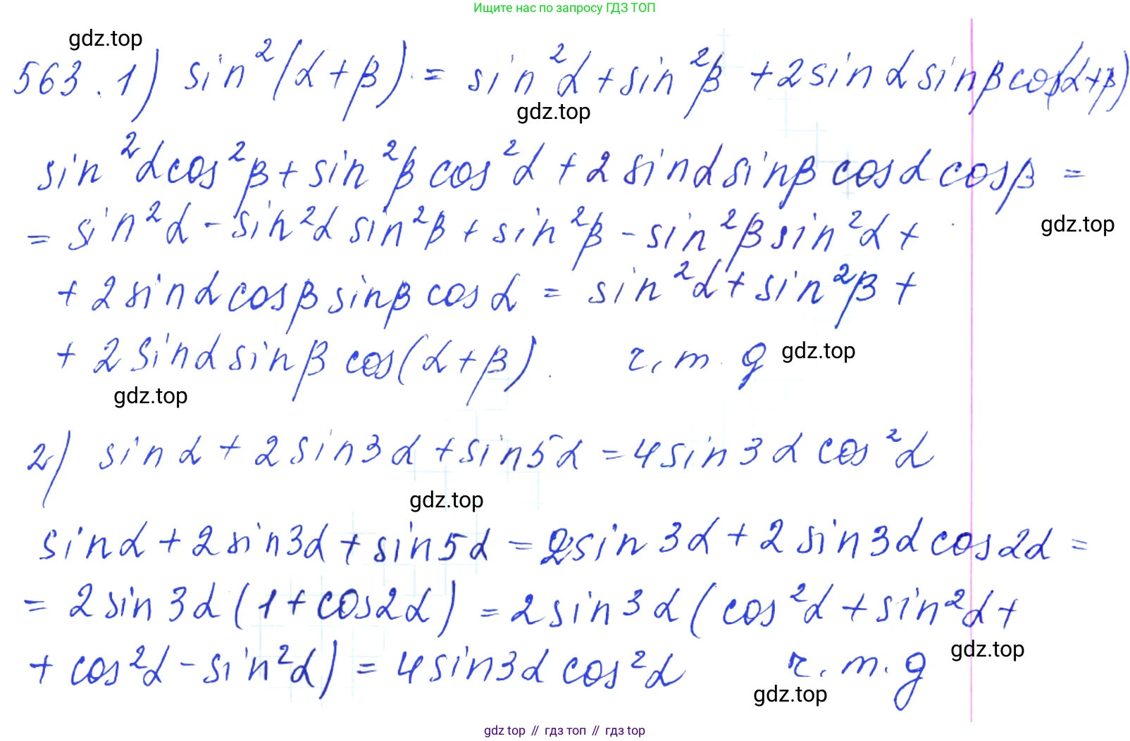
563 1) $\sin^2 (\\alpha + \\beta) = \sin^2 \\alpha + \sin^2 \\beta + 2 \sin \\alpha \sin \\beta \cos (\\alpha + \\beta)$;
2) $\sin \\alpha + 2 \sin 3\\alpha + \sin 5\\alpha = 4 \sin 3\\alpha \cos^2 \\alpha$.
Решение 1. №563 (с. 167)


Решение 2. №563 (с. 167)

Решение 4. №563 (с. 167)

Решение 5. №563 (с. 167)

Решение 6. №563 (с. 167)

Решение 7. №563 (с. 167)

Решение 8. №563 (с. 167)
1) Докажем тождество $sin^2(\alpha + \beta) = sin^2\alpha + sin^2\beta + 2 \sin\alpha \sin\beta \cos(\alpha + \beta)$.
Для доказательства будем преобразовывать правую часть равенства. Рассмотрим следующий подход: перенесем некоторые слагаемые, чтобы упростить выражение. Перенесем $sin^2\alpha$ из правой части в левую:
$sin^2(\alpha + \beta) - sin^2\alpha = sin^2\beta + 2 \sin\alpha \sin\beta \cos(\alpha + \beta)$
К левой части применим формулу разности квадратов синусов: $sin^2x - sin^2y = sin(x - y)sin(x + y)$. В нашем случае $x = \alpha + \beta$ и $y = \alpha$.
$sin^2(\alpha + \beta) - sin^2\alpha = sin((\alpha + \beta) - \alpha)sin((\alpha + \beta) + \alpha) = \sin\beta \cdot sin(2\alpha + \beta)$.
Теперь тождество, которое нужно доказать, имеет вид:
$\sin\beta \cdot sin(2\alpha + \beta) = sin^2\beta + 2 \sin\alpha \sin\beta \cos(\alpha + \beta)$
Вынесем общий множитель $\sin\beta$ в правой части:
$\sin\beta \cdot sin(2\alpha + \beta) = \sin\beta(\sin\beta + 2 \sin\alpha \cos(\alpha + \beta))$
Рассмотрим два случая.
Случай 1: $\sin\beta \ne 0$. В этом случае мы можем разделить обе части равенства на $\sin\beta$:
$sin(2\alpha + \beta) = \sin\beta + 2 \sin\alpha \cos(\alpha + \beta)$
Распишем левую часть, используя формулу синуса суммы: $sin(2\alpha + \beta) = sin((\alpha + \beta) + \alpha) = \sin(\alpha + \beta)\cos\alpha + \cos(\alpha + \beta)\sin\alpha$.
Подставим это в уравнение:
$\sin(\alpha + \beta)\cos\alpha + \cos(\alpha + \beta)\sin\alpha = \sin\beta + 2 \sin\alpha \cos(\alpha + \beta)$
Перенесем слагаемое $2 \sin\alpha \cos(\alpha + \beta)$ влево и приведем подобные:
$\sin(\alpha + \beta)\cos\alpha - \cos(\alpha + \beta)\sin\alpha = \sin\beta$
Левая часть является формулой синуса разности $sin(x-y) = \sin x \cos y - \cos x \sin y$, где $x = \alpha+\beta$ и $y = \alpha$:
$sin((\alpha+\beta)-\alpha) = \sin\beta$
Мы получили верное равенство $\sin\beta = \sin\beta$.
Случай 2: $\sin\beta = 0$. Это означает, что $\beta = k\pi$, где $k$ — целое число. Подставим это в исходное тождество.
Левая часть: $sin^2(\alpha + k\pi) = (\pm \sin\alpha)^2 = \sin^2\alpha$.
Правая часть: $sin^2\alpha + sin^2(k\pi) + 2 \sin\alpha \sin(k\pi) \cos(\alpha + k\pi) = \sin^2\alpha + 0 + 2 \sin\alpha \cdot 0 \cdot \cos(\alpha+k\pi) = \sin^2\alpha$.
Левая часть равна правой, следовательно, тождество верно для всех значений $\alpha$ и $\beta$.
Ответ: Тождество доказано.
2) Докажем тождество $\sin\alpha + 2 \sin3\alpha + \sin5\alpha = 4 \sin3\alpha \cos^2\alpha$.
Преобразуем левую часть (ЛЧ) выражения. Сгруппируем первое и третье слагаемые:
ЛЧ = $(\sin\alpha + \sin5\alpha) + 2 \sin3\alpha$
К выражению в скобках применим формулу суммы синусов $sin x + sin y = 2\sin\frac{x+y}{2}\cos\frac{x-y}{2}$:
$\sin\alpha + \sin5\alpha = 2\sin\frac{\alpha+5\alpha}{2}\cos\frac{5\alpha-\alpha}{2} = 2\sin\frac{6\alpha}{2}\cos\frac{4\alpha}{2} = 2\sin(3\alpha)\cos(2\alpha)$
Подставим полученный результат в выражение для левой части:
ЛЧ = $2\sin(3\alpha)\cos(2\alpha) + 2\sin3\alpha$
Вынесем общий множитель $2\sin(3\alpha)$ за скобки:
ЛЧ = $2\sin(3\alpha)(\cos(2\alpha) + 1)$
Далее воспользуемся формулой косинуса двойного угла: $\cos(2\alpha) = 2\cos^2\alpha - 1$. Из этой формулы следует, что $\cos(2\alpha) + 1 = 2\cos^2\alpha$.
Подставим это в наше выражение:
ЛЧ = $2\sin(3\alpha) \cdot (2\cos^2\alpha) = 4\sin(3\alpha)\cos^2\alpha$
Таким образом, левая часть тождества равна правой части.
Ответ: Тождество доказано.
Другие задания:
Помогло решение? Оставьте отзыв в комментариях ниже.
Мы подготовили для вас ответ c подробным объяснением домашего задания по алгебре за 10-11 класс, для упражнения номер 563 расположенного на странице 167 к учебнику 2014 года издания для учащихся школ и гимназий.
Теперь на нашем сайте ГДЗ.ТОП вы всегда легко и бесплатно найдёте условие с правильным ответом на вопрос «Как решить ДЗ» и «Как сделать» задание по алгебре к упражнению №563 (с. 167), авторов: Алимов (Шавкат Арифджанович), Колягин (Юрий Михайлович), Ткачева (Мария Владимировна), Федорова (Надежда Евгеньевна), Шабунин (Михаил Иванович), ФГОС (старый) базовый и углублённый уровень обучения учебного пособия издательства Просвещение.