Номер 559, страница 166 - гдз по алгебре 10-11 класс учебник Алимов, Колягин

Алгебра, 10-11 класс Учебник, авторы: Алимов Шавкат Арифджанович, Колягин Юрий Михайлович, Ткачева Мария Владимировна, Федорова Надежда Евгеньевна, Шабунин Михаил Иванович, издательство Просвещение, Москва, 2014

Авторы: Алимов Ш. А., Колягин Ю. М., Ткачева М. В., Федорова Н. Е., Шабунин М. И.

Тип: Учебник

Издательство: Просвещение

Год издания: 2014 - 2026

Уровень обучения: базовый и углублённый

Цвет обложки: синий, фиолетовый

ISBN: 978-5-09-112136-0

Допущено Министерством просвещения Российской Федерации

Математика: алгебра и начала математического анализа, геометрия

Глава 5. Тригонометрические формулы. Упражнения к главе 5 - номер 559, страница 166.

№559 (с. 166)
Условие. №559 (с. 166)
скриншот условия
Алгебра, 10-11 класс Учебник, авторы: Алимов Шавкат Арифджанович, Колягин Юрий Михайлович, Ткачева Мария Владимировна, Федорова Надежда Евгеньевна, Шабунин Михаил Иванович, издательство Просвещение, Москва, 2014, страница 166, номер 559, Условие

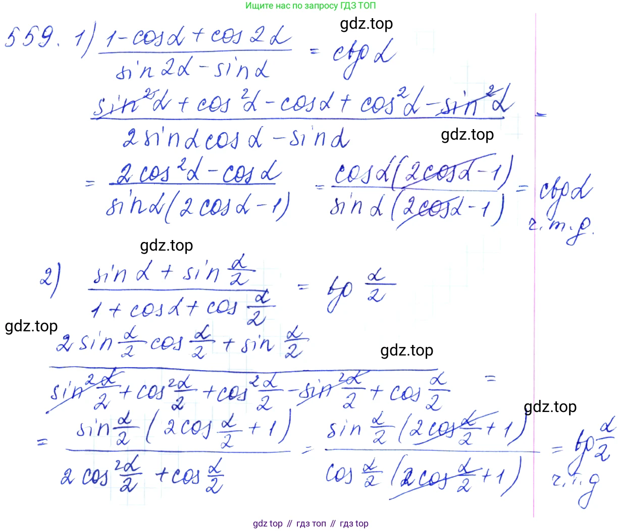
559 1) $\frac{1 - \cos \alpha + \cos 2\alpha}{\sin 2\alpha - \sin \alpha} = \operatorname{ctg} \alpha;$

2) $\frac{\sin \alpha + \sin \frac{\alpha}{2}}{1 + \cos \alpha + \cos \frac{\alpha}{2}} = \operatorname{tg} \frac{\alpha}{2}.$

Решение 1. №559 (с. 166)
Алгебра, 10-11 класс Учебник, авторы: Алимов Шавкат Арифджанович, Колягин Юрий Михайлович, Ткачева Мария Владимировна, Федорова Надежда Евгеньевна, Шабунин Михаил Иванович, издательство Просвещение, Москва, 2014, страница 166, номер 559, Решение 1
Алгебра, 10-11 класс Учебник, авторы: Алимов Шавкат Арифджанович, Колягин Юрий Михайлович, Ткачева Мария Владимировна, Федорова Надежда Евгеньевна, Шабунин Михаил Иванович, издательство Просвещение, Москва, 2014, страница 166, номер 559, Решение 1 (продолжение 2)
Решение 2. №559 (с. 166)
Алгебра, 10-11 класс Учебник, авторы: Алимов Шавкат Арифджанович, Колягин Юрий Михайлович, Ткачева Мария Владимировна, Федорова Надежда Евгеньевна, Шабунин Михаил Иванович, издательство Просвещение, Москва, 2014, страница 166, номер 559, Решение 2
Решение 3. №559 (с. 166)
Алгебра, 10-11 класс Учебник, авторы: Алимов Шавкат Арифджанович, Колягин Юрий Михайлович, Ткачева Мария Владимировна, Федорова Надежда Евгеньевна, Шабунин Михаил Иванович, издательство Просвещение, Москва, 2014, страница 166, номер 559, Решение 3
Решение 4. №559 (с. 166)
Алгебра, 10-11 класс Учебник, авторы: Алимов Шавкат Арифджанович, Колягин Юрий Михайлович, Ткачева Мария Владимировна, Федорова Надежда Евгеньевна, Шабунин Михаил Иванович, издательство Просвещение, Москва, 2014, страница 166, номер 559, Решение 4
Решение 5. №559 (с. 166)
Алгебра, 10-11 класс Учебник, авторы: Алимов Шавкат Арифджанович, Колягин Юрий Михайлович, Ткачева Мария Владимировна, Федорова Надежда Евгеньевна, Шабунин Михаил Иванович, издательство Просвещение, Москва, 2014, страница 166, номер 559, Решение 5
Решение 6. №559 (с. 166)
Алгебра, 10-11 класс Учебник, авторы: Алимов Шавкат Арифджанович, Колягин Юрий Михайлович, Ткачева Мария Владимировна, Федорова Надежда Евгеньевна, Шабунин Михаил Иванович, издательство Просвещение, Москва, 2014, страница 166, номер 559, Решение 6
Решение 7. №559 (с. 166)
Алгебра, 10-11 класс Учебник, авторы: Алимов Шавкат Арифджанович, Колягин Юрий Михайлович, Ткачева Мария Владимировна, Федорова Надежда Евгеньевна, Шабунин Михаил Иванович, издательство Просвещение, Москва, 2014, страница 166, номер 559, Решение 7
Решение 8. №559 (с. 166)

1) Чтобы доказать тождество $ \frac{1 - \cos \alpha + \cos 2\alpha}{\sin 2\alpha - \sin \alpha} = \text{ctg } \alpha $, преобразуем его левую часть.

Воспользуемся формулами двойного угла: $ \cos 2\alpha = 2\cos^2 \alpha - 1 $ и $ \sin 2\alpha = 2\sin \alpha \cos \alpha $.

Преобразуем числитель дроби:

$ 1 - \cos \alpha + \cos 2\alpha = (1 + \cos 2\alpha) - \cos \alpha = 2\cos^2 \alpha - \cos \alpha = \cos \alpha (2\cos \alpha - 1) $

Преобразуем знаменатель дроби:

$ \sin 2\alpha - \sin \alpha = 2\sin \alpha \cos \alpha - \sin \alpha = \sin \alpha (2\cos \alpha - 1) $

Подставим полученные выражения обратно в дробь:

$ \frac{\cos \alpha (2\cos \alpha - 1)}{\sin \alpha (2\cos \alpha - 1)} $

Сократим общий множитель $ (2\cos \alpha - 1) $ (при условии, что он не равен нулю):

$ \frac{\cos \alpha}{\sin \alpha} = \text{ctg } \alpha $

Мы получили выражение, стоящее в правой части исходного равенства. Таким образом, тождество доказано.

Ответ: Тождество доказано.

2) Чтобы доказать тождество $ \frac{\sin \alpha + \sin \frac{\alpha}{2}}{1 + \cos \alpha + \cos \frac{\alpha}{2}} = \text{tg } \frac{\alpha}{2} $, преобразуем его левую часть.

Выразим $ \sin \alpha $ и $ \cos \alpha $ через тригонометрические функции угла $ \frac{\alpha}{2} $, используя формулы двойного угла (для угла $ \alpha = 2 \cdot \frac{\alpha}{2} $):

$ \sin \alpha = 2\sin\frac{\alpha}{2}\cos\frac{\alpha}{2} $

$ \cos \alpha = 2\cos^2\frac{\alpha}{2} - 1 $

Преобразуем числитель дроби:

$ \sin \alpha + \sin \frac{\alpha}{2} = 2\sin\frac{\alpha}{2}\cos\frac{\alpha}{2} + \sin\frac{\alpha}{2} = \sin\frac{\alpha}{2} (2\cos\frac{\alpha}{2} + 1) $

Преобразуем знаменатель дроби:

$ 1 + \cos \alpha + \cos \frac{\alpha}{2} = 1 + (2\cos^2\frac{\alpha}{2} - 1) + \cos\frac{\alpha}{2} = 2\cos^2\frac{\alpha}{2} + \cos\frac{\alpha}{2} = \cos\frac{\alpha}{2} (2\cos\frac{\alpha}{2} + 1) $

Подставим полученные выражения обратно в дробь:

$ \frac{\sin\frac{\alpha}{2} (2\cos\frac{\alpha}{2} + 1)}{\cos\frac{\alpha}{2} (2\cos\frac{\alpha}{2} + 1)} $

Сократим общий множитель $ (2\cos\frac{\alpha}{2} + 1) $ (при условии, что он не равен нулю):

$ \frac{\sin\frac{\alpha}{2}}{\cos\frac{\alpha}{2}} = \text{tg } \frac{\alpha}{2} $

Мы получили выражение, стоящее в правой части исходного равенства. Таким образом, тождество доказано.

Ответ: Тождество доказано.

Помогло решение? Оставьте отзыв в комментариях ниже.

Присоединяйтесь к Телеграм-группе @top_gdz

Присоединиться

Мы подготовили для вас ответ c подробным объяснением домашего задания по алгебре за 10-11 класс, для упражнения номер 559 расположенного на странице 166 к учебнику 2014 года издания для учащихся школ и гимназий.

Теперь на нашем сайте ГДЗ.ТОП вы всегда легко и бесплатно найдёте условие с правильным ответом на вопрос «Как решить ДЗ» и «Как сделать» задание по алгебре к упражнению №559 (с. 166), авторов: Алимов (Шавкат Арифджанович), Колягин (Юрий Михайлович), Ткачева (Мария Владимировна), Федорова (Надежда Евгеньевна), Шабунин (Михаил Иванович), ФГОС (старый) базовый и углублённый уровень обучения учебного пособия издательства Просвещение.