Номер 562, страница 166 - гдз по алгебре 10-11 класс учебник Алимов, Колягин

Алгебра, 10-11 класс Учебник, авторы: Алимов Шавкат Арифджанович, Колягин Юрий Михайлович, Ткачева Мария Владимировна, Федорова Надежда Евгеньевна, Шабунин Михаил Иванович, издательство Просвещение, Москва, 2014

Авторы: Алимов Ш. А., Колягин Ю. М., Ткачева М. В., Федорова Н. Е., Шабунин М. И.

Тип: Учебник

Издательство: Просвещение

Год издания: 2014 - 2025

Уровень обучения: базовый и углублённый

Цвет обложки: синий, фиолетовый

ISBN: 978-5-09-112136-0

Допущено Министерством просвещения Российской Федерации

Математика: алгебра и начала математического анализа, геометрия

Популярные ГДЗ в 10 классе

Глава 5. Тригонометрические формулы. Упражнения к главе 5 - номер 562, страница 166.

№562 (с. 166)
Условие. №562 (с. 166)
скриншот условия
Алгебра, 10-11 класс Учебник, авторы: Алимов Шавкат Арифджанович, Колягин Юрий Михайлович, Ткачева Мария Владимировна, Федорова Надежда Евгеньевна, Шабунин Михаил Иванович, издательство Просвещение, Москва, 2014, страница 166, номер 562, Условие

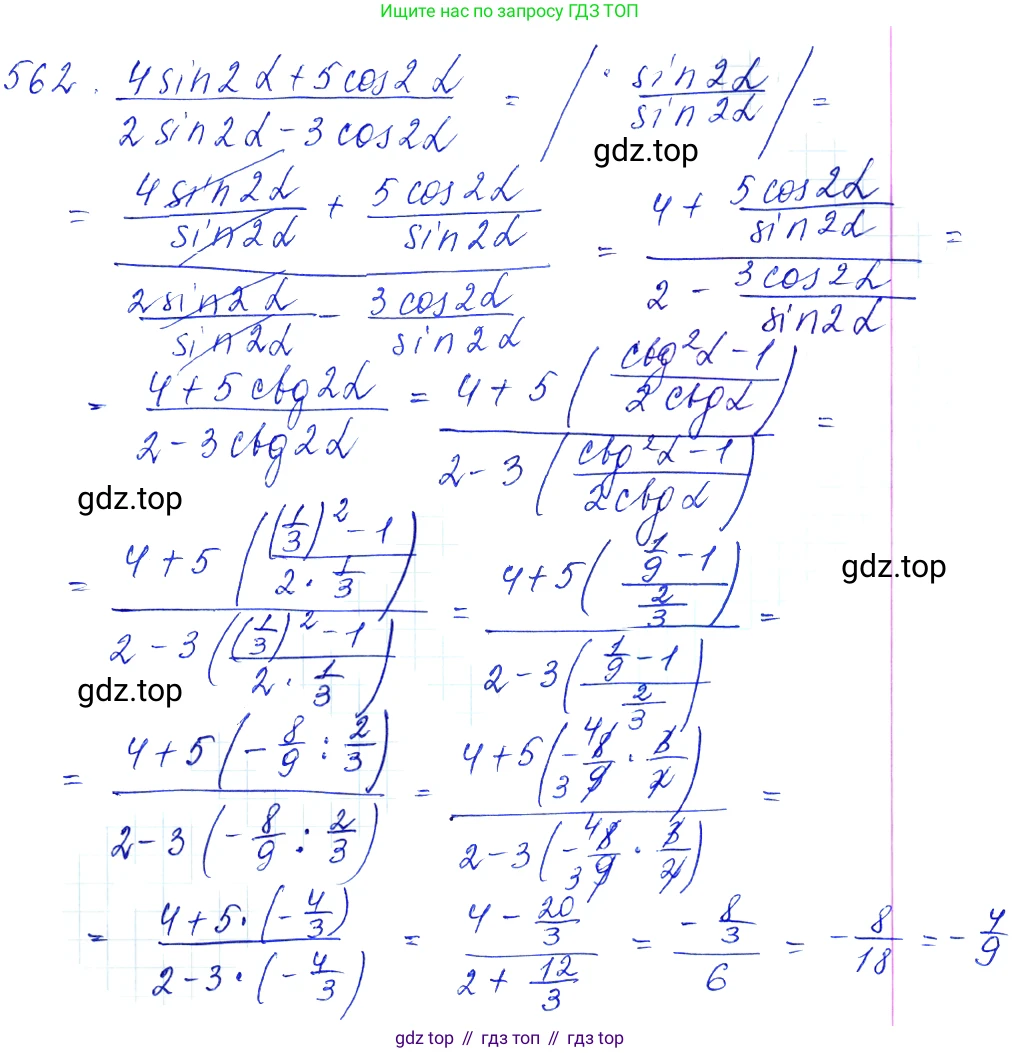
562 Вычислить значение выражения $ \frac{4 \sin 2\alpha + 5 \cos 2\alpha}{2 \sin 2\alpha - 3 \cos 2\alpha} $, если $ \operatorname{ctg} \alpha = \frac{1}{3} $.

Решение 1. №562 (с. 166)
Алгебра, 10-11 класс Учебник, авторы: Алимов Шавкат Арифджанович, Колягин Юрий Михайлович, Ткачева Мария Владимировна, Федорова Надежда Евгеньевна, Шабунин Михаил Иванович, издательство Просвещение, Москва, 2014, страница 166, номер 562, Решение 1
Решение 2. №562 (с. 166)
Алгебра, 10-11 класс Учебник, авторы: Алимов Шавкат Арифджанович, Колягин Юрий Михайлович, Ткачева Мария Владимировна, Федорова Надежда Евгеньевна, Шабунин Михаил Иванович, издательство Просвещение, Москва, 2014, страница 166, номер 562, Решение 2
Решение 3. №562 (с. 166)
Алгебра, 10-11 класс Учебник, авторы: Алимов Шавкат Арифджанович, Колягин Юрий Михайлович, Ткачева Мария Владимировна, Федорова Надежда Евгеньевна, Шабунин Михаил Иванович, издательство Просвещение, Москва, 2014, страница 166, номер 562, Решение 3
Решение 4. №562 (с. 166)
Алгебра, 10-11 класс Учебник, авторы: Алимов Шавкат Арифджанович, Колягин Юрий Михайлович, Ткачева Мария Владимировна, Федорова Надежда Евгеньевна, Шабунин Михаил Иванович, издательство Просвещение, Москва, 2014, страница 166, номер 562, Решение 4
Алгебра, 10-11 класс Учебник, авторы: Алимов Шавкат Арифджанович, Колягин Юрий Михайлович, Ткачева Мария Владимировна, Федорова Надежда Евгеньевна, Шабунин Михаил Иванович, издательство Просвещение, Москва, 2014, страница 166, номер 562, Решение 4 (продолжение 2)
Решение 5. №562 (с. 166)
Алгебра, 10-11 класс Учебник, авторы: Алимов Шавкат Арифджанович, Колягин Юрий Михайлович, Ткачева Мария Владимировна, Федорова Надежда Евгеньевна, Шабунин Михаил Иванович, издательство Просвещение, Москва, 2014, страница 166, номер 562, Решение 5
Решение 6. №562 (с. 166)
Алгебра, 10-11 класс Учебник, авторы: Алимов Шавкат Арифджанович, Колягин Юрий Михайлович, Ткачева Мария Владимировна, Федорова Надежда Евгеньевна, Шабунин Михаил Иванович, издательство Просвещение, Москва, 2014, страница 166, номер 562, Решение 6
Решение 7. №562 (с. 166)
Алгебра, 10-11 класс Учебник, авторы: Алимов Шавкат Арифджанович, Колягин Юрий Михайлович, Ткачева Мария Владимировна, Федорова Надежда Евгеньевна, Шабунин Михаил Иванович, издательство Просвещение, Москва, 2014, страница 166, номер 562, Решение 7
Решение 8. №562 (с. 166)

Для того чтобы вычислить значение данного выражения, мы можем преобразовать его, выразив через $\text{tg} \, 2\alpha$. Для этого разделим числитель и знаменатель дроби на $\cos 2\alpha$, при условии, что $\cos 2\alpha \neq 0$.

$$ \frac{4 \sin 2\alpha + 5 \cos 2\alpha}{2 \sin 2\alpha - 3 \cos 2\alpha} = \frac{\frac{4 \sin 2\alpha}{\cos 2\alpha} + \frac{5 \cos 2\alpha}{\cos 2\alpha}}{\frac{2 \sin 2\alpha}{\cos 2\alpha} - \frac{3 \cos 2\alpha}{\cos 2\alpha}} = \frac{4 \text{tg} \, 2\alpha + 5}{2 \text{tg} \, 2\alpha - 3} $$

Теперь нам нужно найти значение $\text{tg} \, 2\alpha$. Из условия задачи мы знаем, что $\text{ctg} \, \alpha = \frac{1}{3}$. Найдем $\text{tg} \, \alpha$:

$$ \text{tg} \, \alpha = \frac{1}{\text{ctg} \, \alpha} = \frac{1}{1/3} = 3 $$

Воспользуемся формулой тангенса двойного угла:

$$ \text{tg} \, 2\alpha = \frac{2 \text{tg} \, \alpha}{1 - \text{tg}^2 \alpha} $$

Подставим в эту формулу значение $\text{tg} \, \alpha = 3$:

$$ \text{tg} \, 2\alpha = \frac{2 \cdot 3}{1 - 3^2} = \frac{6}{1 - 9} = \frac{6}{-8} = -\frac{3}{4} $$

Так как мы получили конечное значение для $\text{tg} \, 2\alpha$, наше начальное предположение, что $\cos 2\alpha \neq 0$, верно.

Теперь подставим найденное значение $\text{tg} \, 2\alpha = -\frac{3}{4}$ в преобразованное выражение:

$$ \frac{4 \text{tg} \, 2\alpha + 5}{2 \text{tg} \, 2\alpha - 3} = \frac{4 \cdot \left(-\frac{3}{4}\right) + 5}{2 \cdot \left(-\frac{3}{4}\right) - 3} = \frac{-3 + 5}{-\frac{3}{2} - 3} $$

Упростим полученную дробь:

$$ \frac{2}{-\frac{3}{2} - \frac{6}{2}} = \frac{2}{-\frac{9}{2}} = 2 \cdot \left(-\frac{2}{9}\right) = -\frac{4}{9} $$

Ответ: $-\frac{4}{9}$.

Помогло решение? Оставьте отзыв в комментариях ниже.

Присоединяйтесь к Телеграм-группе @top_gdz

Присоединиться

Мы подготовили для вас ответ c подробным объяснением домашего задания по алгебре за 10-11 класс, для упражнения номер 562 расположенного на странице 166 к учебнику 2014 года издания для учащихся школ и гимназий.

Теперь на нашем сайте ГДЗ.ТОП вы всегда легко и бесплатно найдёте условие с правильным ответом на вопрос «Как решить ДЗ» и «Как сделать» задание по алгебре к упражнению №562 (с. 166), авторов: Алимов (Шавкат Арифджанович), Колягин (Юрий Михайлович), Ткачева (Мария Владимировна), Федорова (Надежда Евгеньевна), Шабунин (Михаил Иванович), ФГОС (старый) базовый и углублённый уровень обучения учебного пособия издательства Просвещение.