Номер 558, страница 166 - гдз по алгебре 10-11 класс учебник Алимов, Колягин

Авторы: Алимов Ш. А., Колягин Ю. М., Ткачева М. В., Федорова Н. Е., Шабунин М. И.
Тип: Учебник
Издательство: Просвещение
Год издания: 2014 - 2025
Уровень обучения: базовый и углублённый
Цвет обложки: синий, фиолетовый
ISBN: 978-5-09-112136-0
Допущено Министерством просвещения Российской Федерации
Математика: алгебра и начала математического анализа, геометрия
Популярные ГДЗ в 10 классе
Упражнения к главе 5. Глава 5. Тригонометрические формулы - номер 558, страница 166.
№558 (с. 166)
Условие. №558 (с. 166)
скриншот условия

Доказать тождество (558–559).
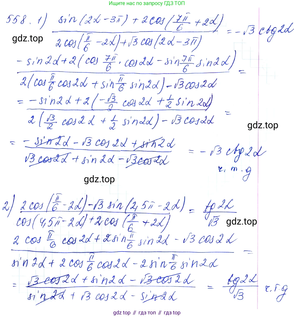
558 1) $\frac{\sin (2\alpha - 3\pi) + 2 \cos \left(\frac{7\pi}{6} + 2\alpha\right)}{2 \cos \left(\frac{\pi}{6} - 2\alpha\right) + \sqrt{3} \cos (2\alpha - 3\pi)} = -\sqrt{3} \operatorname{ctg} 2\alpha;$
2) $\frac{2 \cos \left(\frac{\pi}{6} - 2\alpha\right) - \sqrt{3} \sin(2.5\pi - 2\alpha)}{\cos (4.5\pi - 2\alpha) + 2 \cos \left(\frac{\pi}{6} + 2\alpha\right)} = \frac{\operatorname{tg} 2\alpha}{\sqrt{3}}.$
Решение 1. №558 (с. 166)


Решение 2. №558 (с. 166)

Решение 4. №558 (с. 166)


Решение 5. №558 (с. 166)

Решение 6. №558 (с. 166)

Решение 7. №558 (с. 166)


Решение 8. №558 (с. 166)
Докажем тождество: $ \frac{\sin(2\alpha - 3\pi) + 2\cos(\frac{7\pi}{6} + 2\alpha)}{2\cos(\frac{\pi}{6} - 2\alpha) + \sqrt{3}\cos(2\alpha - 3\pi)} = -\sqrt{3} \cot(2\alpha) $.
Для этого преобразуем левую часть равенства, используя формулы приведения и тригонометрические тождества.
Сначала упростим числитель дроби: $ \sin(2\alpha - 3\pi) + 2\cos(\frac{7\pi}{6} + 2\alpha) $.
Используем периодичность и свойства синуса: $ \sin(2\alpha - 3\pi) = \sin(2\alpha - \pi - 2\pi) = \sin(2\alpha - \pi) = -\sin(\pi - 2\alpha) = -\sin(2\alpha) $.
Преобразуем второй член числителя, используя формулу приведения $ \cos(\pi + x) = -\cos(x) $ и формулу косинуса суммы $ \cos(a+b) = \cos a \cos b - \sin a \sin b $:
$ 2\cos(\frac{7\pi}{6} + 2\alpha) = 2\cos(\pi + \frac{\pi}{6} + 2\alpha) = -2\cos(\frac{\pi}{6} + 2\alpha) = -2(\cos\frac{\pi}{6}\cos(2\alpha) - \sin\frac{\pi}{6}\sin(2\alpha)) $.
Подставляем значения $ \cos\frac{\pi}{6} = \frac{\sqrt{3}}{2} $ и $ \sin\frac{\pi}{6} = \frac{1}{2} $:
$ -2(\frac{\sqrt{3}}{2}\cos(2\alpha) - \frac{1}{2}\sin(2\alpha)) = -\sqrt{3}\cos(2\alpha) + \sin(2\alpha) $.
Теперь весь числитель равен:
$ -\sin(2\alpha) + (-\sqrt{3}\cos(2\alpha) + \sin(2\alpha)) = -\sqrt{3}\cos(2\alpha) $.
Теперь упростим знаменатель дроби: $ 2\cos(\frac{\pi}{6} - 2\alpha) + \sqrt{3}\cos(2\alpha - 3\pi) $.
Преобразуем первый член знаменателя, используя формулу косинуса разности $ \cos(a-b) = \cos a \cos b + \sin a \sin b $:
$ 2\cos(\frac{\pi}{6} - 2\alpha) = 2(\cos\frac{\pi}{6}\cos(2\alpha) + \sin\frac{\pi}{6}\sin(2\alpha)) = 2(\frac{\sqrt{3}}{2}\cos(2\alpha) + \frac{1}{2}\sin(2\alpha)) = \sqrt{3}\cos(2\alpha) + \sin(2\alpha) $.
Преобразуем второй член знаменателя, используя свойство четности косинуса и формулы приведения: $ \cos(2\alpha - 3\pi) = \cos(3\pi - 2\alpha) = \cos(\pi - 2\alpha + 2\pi) = \cos(\pi - 2\alpha) = -\cos(2\alpha) $.
Тогда $ \sqrt{3}\cos(2\alpha - 3\pi) = -\sqrt{3}\cos(2\alpha) $.
Теперь весь знаменатель равен:
$ (\sqrt{3}\cos(2\alpha) + \sin(2\alpha)) - \sqrt{3}\cos(2\alpha) = \sin(2\alpha) $.
Подставим упрощенные выражения для числителя и знаменателя в исходную дробь:
$ \frac{-\sqrt{3}\cos(2\alpha)}{\sin(2\alpha)} = -\sqrt{3}\cot(2\alpha) $.
Левая часть равна правой, тождество доказано.
Ответ: Тождество доказано.
2)Докажем тождество: $ \frac{2\cos(\frac{\pi}{6} - 2\alpha) - \sqrt{3}\sin(2.5\pi - 2\alpha)}{\cos(4.5\pi - 2\alpha) + 2\cos(\frac{\pi}{6} + 2\alpha)} = \frac{\tan(2\alpha)}{\sqrt{3}} $.
Преобразуем левую часть равенства.
Сначала упростим числитель: $ 2\cos(\frac{\pi}{6} - 2\alpha) - \sqrt{3}\sin(2.5\pi - 2\alpha) $.
Первый член $ 2\cos(\frac{\pi}{6} - 2\alpha) $ был упрощен в предыдущей задаче: $ \sqrt{3}\cos(2\alpha) + \sin(2\alpha) $.
Преобразуем второй член числителя, используя формулы приведения. Заметим, что $ 2.5\pi = \frac{5\pi}{2} = \frac{\pi}{2} + 2\pi $.
$ \sin(2.5\pi - 2\alpha) = \sin(\frac{5\pi}{2} - 2\alpha) = \sin(\frac{\pi}{2} - 2\alpha) = \cos(2\alpha) $.
Тогда $ -\sqrt{3}\sin(2.5\pi - 2\alpha) = -\sqrt{3}\cos(2\alpha) $.
Весь числитель равен:
$ (\sqrt{3}\cos(2\alpha) + \sin(2\alpha)) - \sqrt{3}\cos(2\alpha) = \sin(2\alpha) $.
Теперь упростим знаменатель: $ \cos(4.5\pi - 2\alpha) + 2\cos(\frac{\pi}{6} + 2\alpha) $.
Преобразуем первый член знаменателя. Заметим, что $ 4.5\pi = \frac{9\pi}{2} = \frac{\pi}{2} + 4\pi $.
$ \cos(4.5\pi - 2\alpha) = \cos(\frac{9\pi}{2} - 2\alpha) = \cos(\frac{\pi}{2} - 2\alpha) = \sin(2\alpha) $.
Второй член $ 2\cos(\frac{\pi}{6} + 2\alpha) $ был упрощен в предыдущей задаче: $ 2\cos(\frac{\pi}{6} + 2\alpha) = \sqrt{3}\cos(2\alpha) - \sin(2\alpha) $.
Весь знаменатель равен:
$ \sin(2\alpha) + (\sqrt{3}\cos(2\alpha) - \sin(2\alpha)) = \sqrt{3}\cos(2\alpha) $.
Подставим упрощенные выражения для числителя и знаменателя в исходную дробь:
$ \frac{\sin(2\alpha)}{\sqrt{3}\cos(2\alpha)} = \frac{1}{\sqrt{3}}\frac{\sin(2\alpha)}{\cos(2\alpha)} = \frac{\tan(2\alpha)}{\sqrt{3}} $.
Левая часть равна правой, тождество доказано.
Ответ: Тождество доказано.
Другие задания:
Помогло решение? Оставьте отзыв в комментариях ниже.
Мы подготовили для вас ответ c подробным объяснением домашего задания по алгебре за 10-11 класс, для упражнения номер 558 расположенного на странице 166 к учебнику 2014 года издания для учащихся школ и гимназий.
Теперь на нашем сайте ГДЗ.ТОП вы всегда легко и бесплатно найдёте условие с правильным ответом на вопрос «Как решить ДЗ» и «Как сделать» задание по алгебре к упражнению №558 (с. 166), авторов: Алимов (Шавкат Арифджанович), Колягин (Юрий Михайлович), Ткачева (Мария Владимировна), Федорова (Надежда Евгеньевна), Шабунин (Михаил Иванович), ФГОС (старый) базовый и углублённый уровень обучения учебного пособия издательства Просвещение.