Номер 780, страница 235 - гдз по алгебре 10-11 класс учебник Алимов, Колягин

Алгебра, 10-11 класс Учебник, авторы: Алимов Шавкат Арифджанович, Колягин Юрий Михайлович, Ткачева Мария Владимировна, Федорова Надежда Евгеньевна, Шабунин Михаил Иванович, издательство Просвещение, Москва, 2014

Авторы: Алимов Ш. А., Колягин Ю. М., Ткачева М. В., Федорова Н. Е., Шабунин М. И.

Тип: Учебник

Издательство: Просвещение

Год издания: 2014 - 2025

Уровень обучения: базовый и углублённый

Цвет обложки: синий, фиолетовый

ISBN: 978-5-09-112136-0

Допущено Министерством просвещения Российской Федерации

Математика: алгебра и начала математического анализа, геометрия

Популярные ГДЗ в 10 классе

Глава 8. Производная и её геометрический смысл. Параграф 44. Производная - номер 780, страница 235.

№780 (с. 235)
Условие. №780 (с. 235)
скриншот условия
Алгебра, 10-11 класс Учебник, авторы: Алимов Шавкат Арифджанович, Колягин Юрий Михайлович, Ткачева Мария Владимировна, Федорова Надежда Евгеньевна, Шабунин Михаил Иванович, издательство Просвещение, Москва, 2014, страница 235, номер 780, Условие

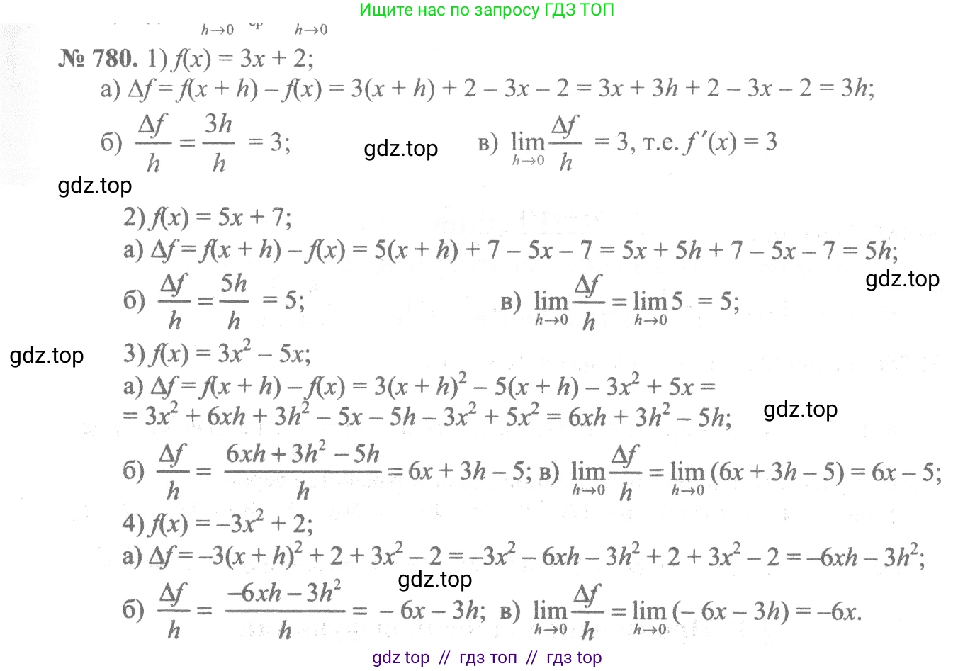
780 Используя определение производной, найти $f'(x)$, если:

1) $f(x) = 3x + 2$;

2) $f(x) = 5x + 7$;

3) $f(x) = 3x^2 - 5x$;

4) $f(x) = -3x^2 + 2$.

Решение 1. №780 (с. 235)
Алгебра, 10-11 класс Учебник, авторы: Алимов Шавкат Арифджанович, Колягин Юрий Михайлович, Ткачева Мария Владимировна, Федорова Надежда Евгеньевна, Шабунин Михаил Иванович, издательство Просвещение, Москва, 2014, страница 235, номер 780, Решение 1
Алгебра, 10-11 класс Учебник, авторы: Алимов Шавкат Арифджанович, Колягин Юрий Михайлович, Ткачева Мария Владимировна, Федорова Надежда Евгеньевна, Шабунин Михаил Иванович, издательство Просвещение, Москва, 2014, страница 235, номер 780, Решение 1 (продолжение 2)
Алгебра, 10-11 класс Учебник, авторы: Алимов Шавкат Арифджанович, Колягин Юрий Михайлович, Ткачева Мария Владимировна, Федорова Надежда Евгеньевна, Шабунин Михаил Иванович, издательство Просвещение, Москва, 2014, страница 235, номер 780, Решение 1 (продолжение 3)
Алгебра, 10-11 класс Учебник, авторы: Алимов Шавкат Арифджанович, Колягин Юрий Михайлович, Ткачева Мария Владимировна, Федорова Надежда Евгеньевна, Шабунин Михаил Иванович, издательство Просвещение, Москва, 2014, страница 235, номер 780, Решение 1 (продолжение 4)
Решение 2. №780 (с. 235)
Алгебра, 10-11 класс Учебник, авторы: Алимов Шавкат Арифджанович, Колягин Юрий Михайлович, Ткачева Мария Владимировна, Федорова Надежда Евгеньевна, Шабунин Михаил Иванович, издательство Просвещение, Москва, 2014, страница 235, номер 780, Решение 2
Алгебра, 10-11 класс Учебник, авторы: Алимов Шавкат Арифджанович, Колягин Юрий Михайлович, Ткачева Мария Владимировна, Федорова Надежда Евгеньевна, Шабунин Михаил Иванович, издательство Просвещение, Москва, 2014, страница 235, номер 780, Решение 2 (продолжение 2)
Решение 5. №780 (с. 235)
Алгебра, 10-11 класс Учебник, авторы: Алимов Шавкат Арифджанович, Колягин Юрий Михайлович, Ткачева Мария Владимировна, Федорова Надежда Евгеньевна, Шабунин Михаил Иванович, издательство Просвещение, Москва, 2014, страница 235, номер 780, Решение 5
Решение 7. №780 (с. 235)
Алгебра, 10-11 класс Учебник, авторы: Алимов Шавкат Арифджанович, Колягин Юрий Михайлович, Ткачева Мария Владимировна, Федорова Надежда Евгеньевна, Шабунин Михаил Иванович, издательство Просвещение, Москва, 2014, страница 235, номер 780, Решение 7
Решение 8. №780 (с. 235)

Для нахождения производной $f'(x)$ воспользуемся определением производной функции в точке:

$f'(x) = \lim_{\Delta x \to 0} \frac{f(x + \Delta x) - f(x)}{\Delta x}$

Здесь $\Delta x$ — приращение аргумента, а $f(x + \Delta x) - f(x)$ — приращение функции.

1) $f(x) = 3x + 2$

1. Найдём значение функции в точке $x + \Delta x$:
$f(x + \Delta x) = 3(x + \Delta x) + 2 = 3x + 3\Delta x + 2$.

2. Найдём приращение функции:
$f(x + \Delta x) - f(x) = (3x + 3\Delta x + 2) - (3x + 2) = 3x + 3\Delta x + 2 - 3x - 2 = 3\Delta x$.

3. Найдём отношение приращения функции к приращению аргумента:
$\frac{f(x + \Delta x) - f(x)}{\Delta x} = \frac{3\Delta x}{\Delta x} = 3$.

4. Вычислим предел этого отношения при $\Delta x \to 0$:
$f'(x) = \lim_{\Delta x \to 0} 3 = 3$.

Ответ: $f'(x) = 3$.

2) $f(x) = 5x + 7$

1. Найдём значение функции в точке $x + \Delta x$:
$f(x + \Delta x) = 5(x + \Delta x) + 7 = 5x + 5\Delta x + 7$.

2. Найдём приращение функции:
$f(x + \Delta x) - f(x) = (5x + 5\Delta x + 7) - (5x + 7) = 5x + 5\Delta x + 7 - 5x - 7 = 5\Delta x$.

3. Найдём отношение приращения функции к приращению аргумента:
$\frac{f(x + \Delta x) - f(x)}{\Delta x} = \frac{5\Delta x}{\Delta x} = 5$.

4. Вычислим предел этого отношения при $\Delta x \to 0$:
$f'(x) = \lim_{\Delta x \to 0} 5 = 5$.

Ответ: $f'(x) = 5$.

3) $f(x) = 3x^2 - 5x$

1. Найдём значение функции в точке $x + \Delta x$:
$f(x + \Delta x) = 3(x + \Delta x)^2 - 5(x + \Delta x) = 3(x^2 + 2x\Delta x + (\Delta x)^2) - 5x - 5\Delta x = 3x^2 + 6x\Delta x + 3(\Delta x)^2 - 5x - 5\Delta x$.

2. Найдём приращение функции:
$f(x + \Delta x) - f(x) = (3x^2 + 6x\Delta x + 3(\Delta x)^2 - 5x - 5\Delta x) - (3x^2 - 5x) = 3x^2 + 6x\Delta x + 3(\Delta x)^2 - 5x - 5\Delta x - 3x^2 + 5x = 6x\Delta x + 3(\Delta x)^2 - 5\Delta x$.

3. Найдём отношение приращения функции к приращению аргумента:
$\frac{f(x + \Delta x) - f(x)}{\Delta x} = \frac{6x\Delta x + 3(\Delta x)^2 - 5\Delta x}{\Delta x} = \frac{\Delta x(6x + 3\Delta x - 5)}{\Delta x} = 6x + 3\Delta x - 5$.

4. Вычислим предел этого отношения при $\Delta x \to 0$:
$f'(x) = \lim_{\Delta x \to 0} (6x + 3\Delta x - 5) = 6x + 3 \cdot 0 - 5 = 6x - 5$.

Ответ: $f'(x) = 6x - 5$.

4) $f(x) = -3x^2 + 2$

1. Найдём значение функции в точке $x + \Delta x$:
$f(x + \Delta x) = -3(x + \Delta x)^2 + 2 = -3(x^2 + 2x\Delta x + (\Delta x)^2) + 2 = -3x^2 - 6x\Delta x - 3(\Delta x)^2 + 2$.

2. Найдём приращение функции:
$f(x + \Delta x) - f(x) = (-3x^2 - 6x\Delta x - 3(\Delta x)^2 + 2) - (-3x^2 + 2) = -3x^2 - 6x\Delta x - 3(\Delta x)^2 + 2 + 3x^2 - 2 = -6x\Delta x - 3(\Delta x)^2$.

3. Найдём отношение приращения функции к приращению аргумента:
$\frac{f(x + \Delta x) - f(x)}{\Delta x} = \frac{-6x\Delta x - 3(\Delta x)^2}{\Delta x} = \frac{\Delta x(-6x - 3\Delta x)}{\Delta x} = -6x - 3\Delta x$.

4. Вычислим предел этого отношения при $\Delta x \to 0$:
$f'(x) = \lim_{\Delta x \to 0} (-6x - 3\Delta x) = -6x - 3 \cdot 0 = -6x$.

Ответ: $f'(x) = -6x$.

Помогло решение? Оставьте отзыв в комментариях ниже.

Присоединяйтесь к Телеграм-группе @top_gdz

Присоединиться

Мы подготовили для вас ответ c подробным объяснением домашего задания по алгебре за 10-11 класс, для упражнения номер 780 расположенного на странице 235 к учебнику 2014 года издания для учащихся школ и гимназий.

Теперь на нашем сайте ГДЗ.ТОП вы всегда легко и бесплатно найдёте условие с правильным ответом на вопрос «Как решить ДЗ» и «Как сделать» задание по алгебре к упражнению №780 (с. 235), авторов: Алимов (Шавкат Арифджанович), Колягин (Юрий Михайлович), Ткачева (Мария Владимировна), Федорова (Надежда Евгеньевна), Шабунин (Михаил Иванович), ФГОС (старый) базовый и углублённый уровень обучения учебного пособия издательства Просвещение.