Номер 810, страница 243 - гдз по алгебре 10-11 класс учебник Алимов, Колягин

Алгебра, 10-11 класс Учебник, авторы: Алимов Шавкат Арифджанович, Колягин Юрий Михайлович, Ткачева Мария Владимировна, Федорова Надежда Евгеньевна, Шабунин Михаил Иванович, издательство Просвещение, Москва, 2014

Авторы: Алимов Ш. А., Колягин Ю. М., Ткачева М. В., Федорова Н. Е., Шабунин М. И.

Тип: Учебник

Издательство: Просвещение

Год издания: 2014 - 2025

Уровень обучения: базовый и углублённый

Цвет обложки: синий, фиолетовый

ISBN: 978-5-09-112136-0

Допущено Министерством просвещения Российской Федерации

Математика: алгебра и начала математического анализа, геометрия

Популярные ГДЗ в 10 классе

Глава 8. Производная и её геометрический смысл. Параграф 46. Правила дифференцирования - номер 810, страница 243.

№810 (с. 243)
Условие. №810 (с. 243)
скриншот условия
Алгебра, 10-11 класс Учебник, авторы: Алимов Шавкат Арифджанович, Колягин Юрий Михайлович, Ткачева Мария Владимировна, Федорова Надежда Евгеньевна, Шабунин Михаил Иванович, издательство Просвещение, Москва, 2014, страница 243, номер 810, Условие

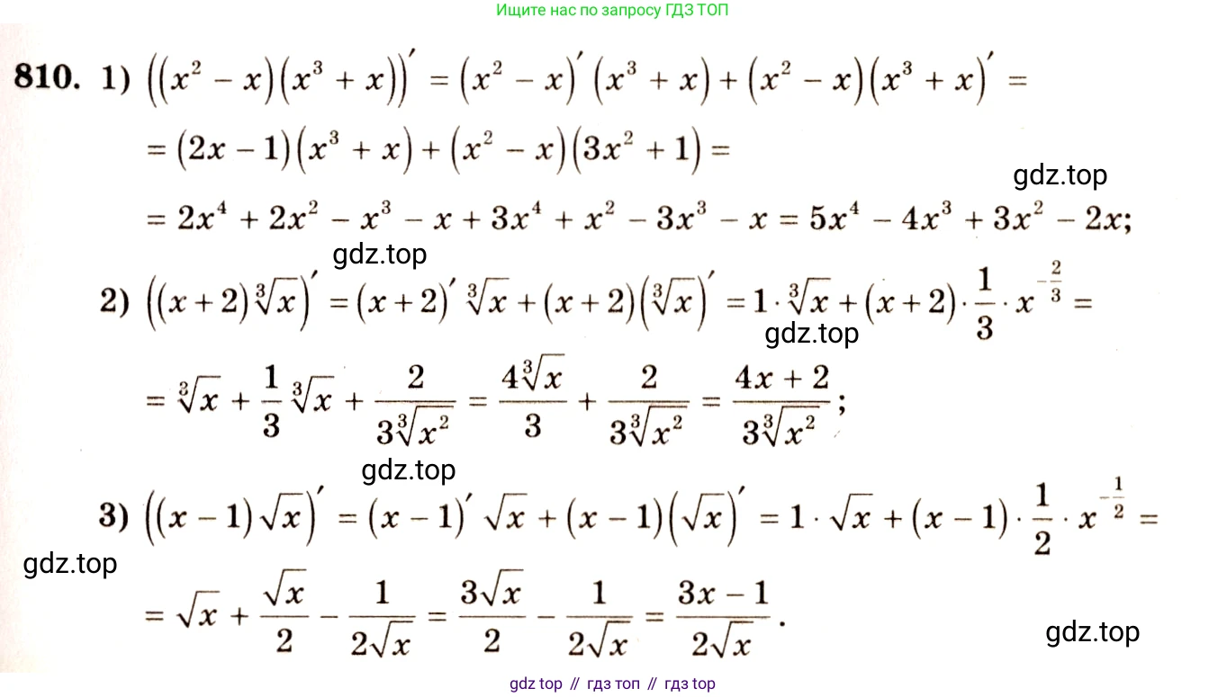
810 Найти производную функции:

1) $(x^2 - x) (x^3 + x);$

2) $(x + 2) \sqrt[3]{x};$

3) $(x - 1) \sqrt{x}.$

Решение 1. №810 (с. 243)
Алгебра, 10-11 класс Учебник, авторы: Алимов Шавкат Арифджанович, Колягин Юрий Михайлович, Ткачева Мария Владимировна, Федорова Надежда Евгеньевна, Шабунин Михаил Иванович, издательство Просвещение, Москва, 2014, страница 243, номер 810, Решение 1
Алгебра, 10-11 класс Учебник, авторы: Алимов Шавкат Арифджанович, Колягин Юрий Михайлович, Ткачева Мария Владимировна, Федорова Надежда Евгеньевна, Шабунин Михаил Иванович, издательство Просвещение, Москва, 2014, страница 243, номер 810, Решение 1 (продолжение 2)
Алгебра, 10-11 класс Учебник, авторы: Алимов Шавкат Арифджанович, Колягин Юрий Михайлович, Ткачева Мария Владимировна, Федорова Надежда Евгеньевна, Шабунин Михаил Иванович, издательство Просвещение, Москва, 2014, страница 243, номер 810, Решение 1 (продолжение 3)
Решение 2. №810 (с. 243)
Алгебра, 10-11 класс Учебник, авторы: Алимов Шавкат Арифджанович, Колягин Юрий Михайлович, Ткачева Мария Владимировна, Федорова Надежда Евгеньевна, Шабунин Михаил Иванович, издательство Просвещение, Москва, 2014, страница 243, номер 810, Решение 2
Решение 4. №810 (с. 243)
Алгебра, 10-11 класс Учебник, авторы: Алимов Шавкат Арифджанович, Колягин Юрий Михайлович, Ткачева Мария Владимировна, Федорова Надежда Евгеньевна, Шабунин Михаил Иванович, издательство Просвещение, Москва, 2014, страница 243, номер 810, Решение 4
Решение 5. №810 (с. 243)
Алгебра, 10-11 класс Учебник, авторы: Алимов Шавкат Арифджанович, Колягин Юрий Михайлович, Ткачева Мария Владимировна, Федорова Надежда Евгеньевна, Шабунин Михаил Иванович, издательство Просвещение, Москва, 2014, страница 243, номер 810, Решение 5
Решение 7. №810 (с. 243)
Алгебра, 10-11 класс Учебник, авторы: Алимов Шавкат Арифджанович, Колягин Юрий Михайлович, Ткачева Мария Владимировна, Федорова Надежда Евгеньевна, Шабунин Михаил Иванович, издательство Просвещение, Москва, 2014, страница 243, номер 810, Решение 7
Решение 8. №810 (с. 243)

1) Чтобы найти производную функции $y = (x^2 - x)(x^3 + x)$, можно использовать правило производной произведения $(uv)' = u'v + uv'$.
Пусть $u = x^2 - x$ и $v = x^3 + x$.
Найдем их производные:
$u' = (x^2 - x)' = 2x - 1$
$v' = (x^3 + x)' = 3x^2 + 1$
Подставим в формулу производной произведения:
$y' = (2x - 1)(x^3 + x) + (x^2 - x)(3x^2 + 1)$
Раскроем скобки и упростим выражение:
$y' = (2x^4 + 2x^2 - x^3 - x) + (3x^4 + x^2 - 3x^3 - x)$
$y' = (2x^4 + 3x^4) + (-x^3 - 3x^3) + (2x^2 + x^2) + (-x - x)$
$y' = 5x^4 - 4x^3 + 3x^2 - 2x$

Другой способ — сначала раскрыть скобки в исходной функции, а затем найти производную:
$y = (x^2 - x)(x^3 + x) = x^5 + x^3 - x^4 - x^2 = x^5 - x^4 + x^3 - x^2$
$y' = (x^5 - x^4 + x^3 - x^2)' = 5x^4 - 4x^3 + 3x^2 - 2x$

Ответ: $5x^4 - 4x^3 + 3x^2 - 2x$

2) Чтобы найти производную функции $y = (x + 2)\sqrt[3]{x}$, представим корень в виде степени: $y = (x + 2)x^{1/3}$.
Воспользуемся правилом производной произведения $(uv)' = u'v + uv'$, где $u = x + 2$ и $v = x^{1/3}$.
Найдем их производные:
$u' = (x + 2)' = 1$
$v' = (x^{1/3})' = \frac{1}{3}x^{1/3 - 1} = \frac{1}{3}x^{-2/3}$
Подставим в формулу:
$y' = 1 \cdot x^{1/3} + (x + 2) \cdot \frac{1}{3}x^{-2/3}$
$y' = x^{1/3} + \frac{x+2}{3x^{2/3}}$
Приведем к общему знаменателю $3x^{2/3}$ (или $3\sqrt[3]{x^2}$):
$y' = \frac{x^{1/3} \cdot 3x^{2/3}}{3x^{2/3}} + \frac{x+2}{3x^{2/3}} = \frac{3x^{1/3+2/3} + x+2}{3x^{2/3}}$
$y' = \frac{3x^1 + x+2}{3x^{2/3}} = \frac{4x+2}{3\sqrt[3]{x^2}}$

Ответ: $\frac{4x+2}{3\sqrt[3]{x^2}}$

3) Чтобы найти производную функции $y = (x - 1)\sqrt{x}$, представим корень в виде степени: $y = (x - 1)x^{1/2}$.
Воспользуемся правилом производной произведения $(uv)' = u'v + uv'$, где $u = x - 1$ и $v = x^{1/2}$.
Найдем их производные:
$u' = (x - 1)' = 1$
$v' = (x^{1/2})' = \frac{1}{2}x^{1/2 - 1} = \frac{1}{2}x^{-1/2}$
Подставим в формулу:
$y' = 1 \cdot x^{1/2} + (x - 1) \cdot \frac{1}{2}x^{-1/2}$
$y' = \sqrt{x} + \frac{x-1}{2\sqrt{x}}$
Приведем к общему знаменателю $2\sqrt{x}$:
$y' = \frac{\sqrt{x} \cdot 2\sqrt{x}}{2\sqrt{x}} + \frac{x-1}{2\sqrt{x}} = \frac{2x + x-1}{2\sqrt{x}}$
$y' = \frac{3x-1}{2\sqrt{x}}$

Ответ: $\frac{3x-1}{2\sqrt{x}}$

Помогло решение? Оставьте отзыв в комментариях ниже.

Присоединяйтесь к Телеграм-группе @top_gdz

Присоединиться

Мы подготовили для вас ответ c подробным объяснением домашего задания по алгебре за 10-11 класс, для упражнения номер 810 расположенного на странице 243 к учебнику 2014 года издания для учащихся школ и гимназий.

Теперь на нашем сайте ГДЗ.ТОП вы всегда легко и бесплатно найдёте условие с правильным ответом на вопрос «Как решить ДЗ» и «Как сделать» задание по алгебре к упражнению №810 (с. 243), авторов: Алимов (Шавкат Арифджанович), Колягин (Юрий Михайлович), Ткачева (Мария Владимировна), Федорова (Надежда Евгеньевна), Шабунин (Михаил Иванович), ФГОС (старый) базовый и углублённый уровень обучения учебного пособия издательства Просвещение.