Номер 809, страница 243 - гдз по алгебре 10-11 класс учебник Алимов, Колягин

Алгебра, 10-11 класс Учебник, авторы: Алимов Шавкат Арифджанович, Колягин Юрий Михайлович, Ткачева Мария Владимировна, Федорова Надежда Евгеньевна, Шабунин Михаил Иванович, издательство Просвещение, Москва, 2014

Авторы: Алимов Ш. А., Колягин Ю. М., Ткачева М. В., Федорова Н. Е., Шабунин М. И.

Тип: Учебник

Издательство: Просвещение

Год издания: 2014 - 2025

Уровень обучения: базовый и углублённый

Цвет обложки: синий, фиолетовый

ISBN: 978-5-09-112136-0

Допущено Министерством просвещения Российской Федерации

Математика: алгебра и начала математического анализа, геометрия

Популярные ГДЗ в 10 классе

Глава 8. Производная и её геометрический смысл. Параграф 46. Правила дифференцирования - номер 809, страница 243.

№809 (с. 243)
Условие. №809 (с. 243)
скриншот условия
Алгебра, 10-11 класс Учебник, авторы: Алимов Шавкат Арифджанович, Колягин Юрий Михайлович, Ткачева Мария Владимировна, Федорова Надежда Евгеньевна, Шабунин Михаил Иванович, издательство Просвещение, Москва, 2014, страница 243, номер 809, Условие

809 Найти значения x, при которых значение производной функции f (x) равно 0, если:

1) $f(x) = x^3 - 2x;$

2) $f(x) = -x^2 + 3x + 1;$

3) $f(x) = 2x^3 + 3x^2 - 12x - 3;$

4) $f(x) = x^3 + 2x^2 - 7x + 1;$

5) $f(x) = 3x^4 - 4x^3 - 12x^2;$

6) $f(x) = x^4 + 4x^3 - 8x^2 - 5.$

Решение 1. №809 (с. 243)
Алгебра, 10-11 класс Учебник, авторы: Алимов Шавкат Арифджанович, Колягин Юрий Михайлович, Ткачева Мария Владимировна, Федорова Надежда Евгеньевна, Шабунин Михаил Иванович, издательство Просвещение, Москва, 2014, страница 243, номер 809, Решение 1
Алгебра, 10-11 класс Учебник, авторы: Алимов Шавкат Арифджанович, Колягин Юрий Михайлович, Ткачева Мария Владимировна, Федорова Надежда Евгеньевна, Шабунин Михаил Иванович, издательство Просвещение, Москва, 2014, страница 243, номер 809, Решение 1 (продолжение 2)
Алгебра, 10-11 класс Учебник, авторы: Алимов Шавкат Арифджанович, Колягин Юрий Михайлович, Ткачева Мария Владимировна, Федорова Надежда Евгеньевна, Шабунин Михаил Иванович, издательство Просвещение, Москва, 2014, страница 243, номер 809, Решение 1 (продолжение 3)
Алгебра, 10-11 класс Учебник, авторы: Алимов Шавкат Арифджанович, Колягин Юрий Михайлович, Ткачева Мария Владимировна, Федорова Надежда Евгеньевна, Шабунин Михаил Иванович, издательство Просвещение, Москва, 2014, страница 243, номер 809, Решение 1 (продолжение 4)
Алгебра, 10-11 класс Учебник, авторы: Алимов Шавкат Арифджанович, Колягин Юрий Михайлович, Ткачева Мария Владимировна, Федорова Надежда Евгеньевна, Шабунин Михаил Иванович, издательство Просвещение, Москва, 2014, страница 243, номер 809, Решение 1 (продолжение 5) Алгебра, 10-11 класс Учебник, авторы: Алимов Шавкат Арифджанович, Колягин Юрий Михайлович, Ткачева Мария Владимировна, Федорова Надежда Евгеньевна, Шабунин Михаил Иванович, издательство Просвещение, Москва, 2014, страница 243, номер 809, Решение 1 (продолжение 6)
Решение 2. №809 (с. 243)
Алгебра, 10-11 класс Учебник, авторы: Алимов Шавкат Арифджанович, Колягин Юрий Михайлович, Ткачева Мария Владимировна, Федорова Надежда Евгеньевна, Шабунин Михаил Иванович, издательство Просвещение, Москва, 2014, страница 243, номер 809, Решение 2
Алгебра, 10-11 класс Учебник, авторы: Алимов Шавкат Арифджанович, Колягин Юрий Михайлович, Ткачева Мария Владимировна, Федорова Надежда Евгеньевна, Шабунин Михаил Иванович, издательство Просвещение, Москва, 2014, страница 243, номер 809, Решение 2 (продолжение 2)
Алгебра, 10-11 класс Учебник, авторы: Алимов Шавкат Арифджанович, Колягин Юрий Михайлович, Ткачева Мария Владимировна, Федорова Надежда Евгеньевна, Шабунин Михаил Иванович, издательство Просвещение, Москва, 2014, страница 243, номер 809, Решение 2 (продолжение 3)
Решение 4. №809 (с. 243)
Алгебра, 10-11 класс Учебник, авторы: Алимов Шавкат Арифджанович, Колягин Юрий Михайлович, Ткачева Мария Владимировна, Федорова Надежда Евгеньевна, Шабунин Михаил Иванович, издательство Просвещение, Москва, 2014, страница 243, номер 809, Решение 4
Алгебра, 10-11 класс Учебник, авторы: Алимов Шавкат Арифджанович, Колягин Юрий Михайлович, Ткачева Мария Владимировна, Федорова Надежда Евгеньевна, Шабунин Михаил Иванович, издательство Просвещение, Москва, 2014, страница 243, номер 809, Решение 4 (продолжение 2)
Решение 5. №809 (с. 243)
Алгебра, 10-11 класс Учебник, авторы: Алимов Шавкат Арифджанович, Колягин Юрий Михайлович, Ткачева Мария Владимировна, Федорова Надежда Евгеньевна, Шабунин Михаил Иванович, издательство Просвещение, Москва, 2014, страница 243, номер 809, Решение 5
Решение 7. №809 (с. 243)
Алгебра, 10-11 класс Учебник, авторы: Алимов Шавкат Арифджанович, Колягин Юрий Михайлович, Ткачева Мария Владимировна, Федорова Надежда Евгеньевна, Шабунин Михаил Иванович, издательство Просвещение, Москва, 2014, страница 243, номер 809, Решение 7 Алгебра, 10-11 класс Учебник, авторы: Алимов Шавкат Арифджанович, Колягин Юрий Михайлович, Ткачева Мария Владимировна, Федорова Надежда Евгеньевна, Шабунин Михаил Иванович, издательство Просвещение, Москва, 2014, страница 243, номер 809, Решение 7 (продолжение 2) Алгебра, 10-11 класс Учебник, авторы: Алимов Шавкат Арифджанович, Колягин Юрий Михайлович, Ткачева Мария Владимировна, Федорова Надежда Евгеньевна, Шабунин Михаил Иванович, издательство Просвещение, Москва, 2014, страница 243, номер 809, Решение 7 (продолжение 3)
Решение 8. №809 (с. 243)

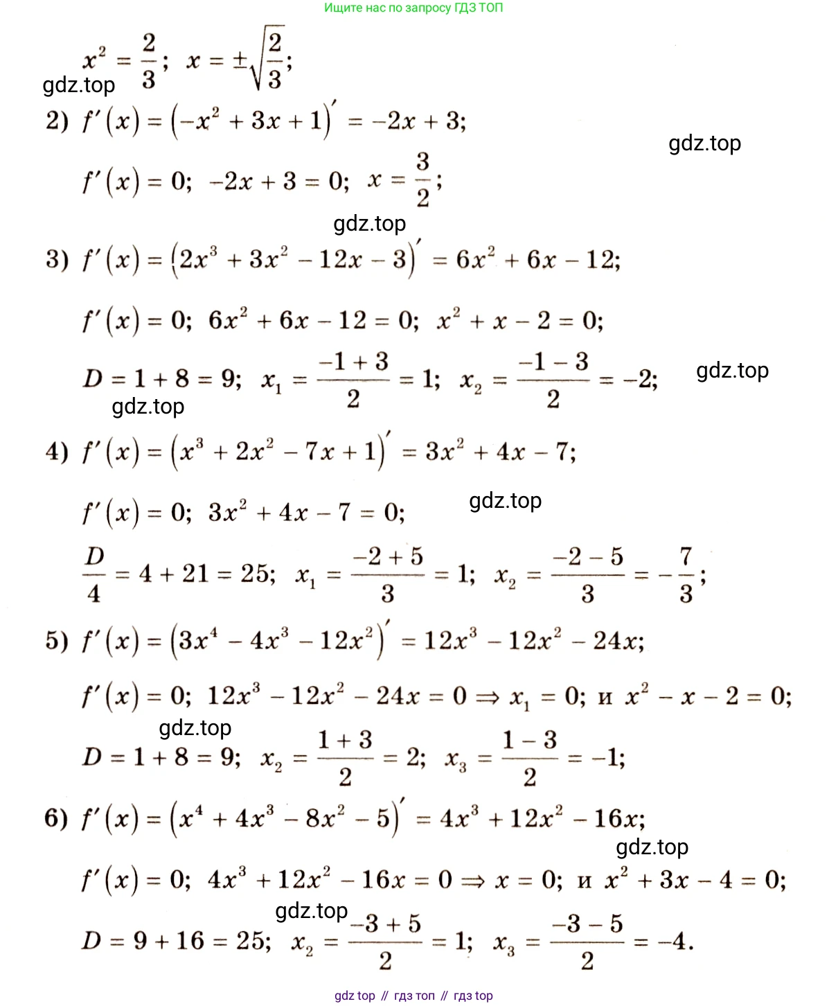
1) Дана функция $f(x) = x^3 - 2x$.
Чтобы найти значения $x$, при которых производная равна 0, сначала найдем производную функции $f'(x)$, используя правило дифференцирования степенной функции $(x^n)'=nx^{n-1}$.
$f'(x) = (x^3)' - (2x)' = 3x^2 - 2$.
Теперь приравняем производную к нулю и решим полученное уравнение:
$3x^2 - 2 = 0$
$3x^2 = 2$
$x^2 = \frac{2}{3}$
$x = \pm\sqrt{\frac{2}{3}} = \pm\frac{\sqrt{6}}{3}$.
Ответ: $x_1 = -\frac{\sqrt{6}}{3}, x_2 = \frac{\sqrt{6}}{3}$.

2) Дана функция $f(x) = -x^2 + 3x + 1$.
Находим производную функции:
$f'(x) = (-x^2)' + (3x)' + (1)' = -2x + 3$.
Приравняем производную к нулю:
$-2x + 3 = 0$
$2x = 3$
$x = \frac{3}{2} = 1.5$.
Ответ: $x = 1.5$.

3) Дана функция $f(x) = 2x^3 + 3x^2 - 12x - 3$.
Находим производную функции:
$f'(x) = (2x^3)' + (3x^2)' - (12x)' - (3)' = 6x^2 + 6x - 12$.
Приравняем производную к нулю и решим уравнение:
$6x^2 + 6x - 12 = 0$
Разделим обе части уравнения на 6 для упрощения:
$x^2 + x - 2 = 0$
Это квадратное уравнение, которое можно решить разложением на множители:
$(x + 2)(x - 1) = 0$
Корни уравнения: $x+2=0$ или $x-1=0$.
$x_1 = -2, x_2 = 1$.
Ответ: $x_1 = -2, x_2 = 1$.

4) Дана функция $f(x) = x^3 + 2x^2 - 7x + 1$.
Находим производную функции:
$f'(x) = (x^3)' + (2x^2)' - (7x)' + (1)' = 3x^2 + 4x - 7$.
Приравняем производную к нулю:
$3x^2 + 4x - 7 = 0$
Решим это квадратное уравнение с помощью дискриминанта $D = b^2 - 4ac$:
$D = 4^2 - 4 \cdot 3 \cdot (-7) = 16 + 84 = 100 = 10^2$.
$x = \frac{-b \pm \sqrt{D}}{2a} = \frac{-4 \pm 10}{2 \cdot 3} = \frac{-4 \pm 10}{6}$.
$x_1 = \frac{-4 + 10}{6} = \frac{6}{6} = 1$.
$x_2 = \frac{-4 - 10}{6} = \frac{-14}{6} = -\frac{7}{3}$.
Ответ: $x_1 = -\frac{7}{3}, x_2 = 1$.

5) Дана функция $f(x) = 3x^4 - 4x^3 - 12x^2$.
Находим производную функции:
$f'(x) = (3x^4)' - (4x^3)' - (12x^2)' = 12x^3 - 12x^2 - 24x$.
Приравняем производную к нулю и решим уравнение:
$12x^3 - 12x^2 - 24x = 0$
Вынесем общий множитель $12x$ за скобки:
$12x(x^2 - x - 2) = 0$
Произведение равно нулю, если хотя бы один из множителей равен нулю:
1) $12x = 0 \implies x_1 = 0$.
2) $x^2 - x - 2 = 0$. Решим квадратное уравнение. По теореме Виета, корни $x_2=2, x_3=-1$.
Проверка: $2+(-1)=1$, $2 \cdot (-1)=-2$.
Таким образом, получаем три значения $x$.
Ответ: $x_1 = -1, x_2 = 0, x_3 = 2$.

6) Дана функция $f(x) = x^4 + 4x^3 - 8x^2 - 5$.
Находим производную функции:
$f'(x) = (x^4)' + (4x^3)' - (8x^2)' - (5)' = 4x^3 + 12x^2 - 16x$.
Приравняем производную к нулю и решим уравнение:
$4x^3 + 12x^2 - 16x = 0$
Вынесем общий множитель $4x$ за скобки:
$4x(x^2 + 3x - 4) = 0$
Произведение равно нулю, если хотя бы один из множителей равен нулю:
1) $4x = 0 \implies x_1 = 0$.
2) $x^2 + 3x - 4 = 0$. Решим квадратное уравнение. По теореме Виета, корни $x_2=1, x_3=-4$.
Проверка: $1+(-4)=-3$, $1 \cdot (-4)=-4$.
Таким образом, получаем три значения $x$.
Ответ: $x_1 = -4, x_2 = 0, x_3 = 1$.

Помогло решение? Оставьте отзыв в комментариях ниже.

Присоединяйтесь к Телеграм-группе @top_gdz

Присоединиться

Мы подготовили для вас ответ c подробным объяснением домашего задания по алгебре за 10-11 класс, для упражнения номер 809 расположенного на странице 243 к учебнику 2014 года издания для учащихся школ и гимназий.

Теперь на нашем сайте ГДЗ.ТОП вы всегда легко и бесплатно найдёте условие с правильным ответом на вопрос «Как решить ДЗ» и «Как сделать» задание по алгебре к упражнению №809 (с. 243), авторов: Алимов (Шавкат Арифджанович), Колягин (Юрий Михайлович), Ткачева (Мария Владимировна), Федорова (Надежда Евгеньевна), Шабунин (Михаил Иванович), ФГОС (старый) базовый и углублённый уровень обучения учебного пособия издательства Просвещение.