Номер 815, страница 244 - гдз по алгебре 10-11 класс учебник Алимов, Колягин

Алгебра, 10-11 класс Учебник, авторы: Алимов Шавкат Арифджанович, Колягин Юрий Михайлович, Ткачева Мария Владимировна, Федорова Надежда Евгеньевна, Шабунин Михаил Иванович, издательство Просвещение, Москва, 2014

Авторы: Алимов Ш. А., Колягин Ю. М., Ткачева М. В., Федорова Н. Е., Шабунин М. И.

Тип: Учебник

Издательство: Просвещение

Год издания: 2014 - 2026

Уровень обучения: базовый и углублённый

Цвет обложки: синий, фиолетовый

ISBN: 978-5-09-112136-0

Допущено Министерством просвещения Российской Федерации

Математика: алгебра и начала математического анализа, геометрия

Глава 8. Производная и её геометрический смысл. Параграф 46. Правила дифференцирования - номер 815, страница 244.

№815 (с. 244)
Условие. №815 (с. 244)
скриншот условия
Алгебра, 10-11 класс Учебник, авторы: Алимов Шавкат Арифджанович, Колягин Юрий Михайлович, Ткачева Мария Владимировна, Федорова Надежда Евгеньевна, Шабунин Михаил Иванович, издательство Просвещение, Москва, 2014, страница 244, номер 815, Условие

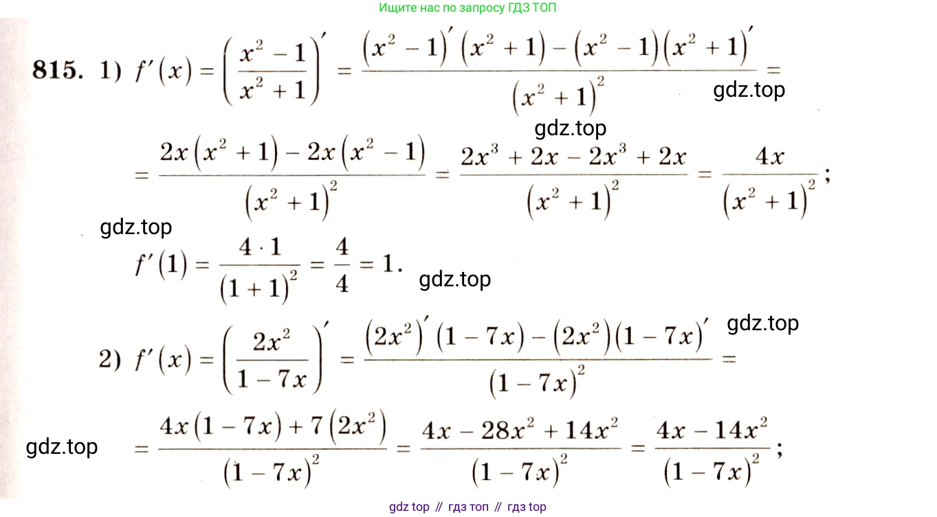
815 Найти $f'(1)$, если:

1) $f(x) = \frac{x^2 - 1}{x^2 + 1}$;

2) $f(x) = \frac{2x^2}{1 - 7x}$.

Решение 1. №815 (с. 244)
Алгебра, 10-11 класс Учебник, авторы: Алимов Шавкат Арифджанович, Колягин Юрий Михайлович, Ткачева Мария Владимировна, Федорова Надежда Евгеньевна, Шабунин Михаил Иванович, издательство Просвещение, Москва, 2014, страница 244, номер 815, Решение 1
Алгебра, 10-11 класс Учебник, авторы: Алимов Шавкат Арифджанович, Колягин Юрий Михайлович, Ткачева Мария Владимировна, Федорова Надежда Евгеньевна, Шабунин Михаил Иванович, издательство Просвещение, Москва, 2014, страница 244, номер 815, Решение 1 (продолжение 2)
Решение 2. №815 (с. 244)
Алгебра, 10-11 класс Учебник, авторы: Алимов Шавкат Арифджанович, Колягин Юрий Михайлович, Ткачева Мария Владимировна, Федорова Надежда Евгеньевна, Шабунин Михаил Иванович, издательство Просвещение, Москва, 2014, страница 244, номер 815, Решение 2
Решение 3. №815 (с. 244)
Алгебра, 10-11 класс Учебник, авторы: Алимов Шавкат Арифджанович, Колягин Юрий Михайлович, Ткачева Мария Владимировна, Федорова Надежда Евгеньевна, Шабунин Михаил Иванович, издательство Просвещение, Москва, 2014, страница 244, номер 815, Решение 3
Решение 4. №815 (с. 244)
Алгебра, 10-11 класс Учебник, авторы: Алимов Шавкат Арифджанович, Колягин Юрий Михайлович, Ткачева Мария Владимировна, Федорова Надежда Евгеньевна, Шабунин Михаил Иванович, издательство Просвещение, Москва, 2014, страница 244, номер 815, Решение 4
Алгебра, 10-11 класс Учебник, авторы: Алимов Шавкат Арифджанович, Колягин Юрий Михайлович, Ткачева Мария Владимировна, Федорова Надежда Евгеньевна, Шабунин Михаил Иванович, издательство Просвещение, Москва, 2014, страница 244, номер 815, Решение 4 (продолжение 2)
Решение 5. №815 (с. 244)
Алгебра, 10-11 класс Учебник, авторы: Алимов Шавкат Арифджанович, Колягин Юрий Михайлович, Ткачева Мария Владимировна, Федорова Надежда Евгеньевна, Шабунин Михаил Иванович, издательство Просвещение, Москва, 2014, страница 244, номер 815, Решение 5
Решение 7. №815 (с. 244)
Алгебра, 10-11 класс Учебник, авторы: Алимов Шавкат Арифджанович, Колягин Юрий Михайлович, Ткачева Мария Владимировна, Федорова Надежда Евгеньевна, Шабунин Михаил Иванович, издательство Просвещение, Москва, 2014, страница 244, номер 815, Решение 7
Решение 8. №815 (с. 244)

1) Для функции $f(x) = \frac{x^2-1}{x^2+1}$ найдем ее производную, используя правило дифференцирования частного $(\frac{u}{v})' = \frac{u'v - uv'}{v^2}$.

Пусть $u(x) = x^2 - 1$ и $v(x) = x^2 + 1$.

Тогда их производные равны:

$u'(x) = (x^2 - 1)' = 2x$

$v'(x) = (x^2 + 1)' = 2x$

Подставляем эти значения в формулу производной частного:

$f'(x) = \frac{(2x)(x^2+1) - (x^2-1)(2x)}{(x^2+1)^2}$

Упростим выражение в числителе:

$f'(x) = \frac{2x^3 + 2x - (2x^3 - 2x)}{(x^2+1)^2} = \frac{2x^3 + 2x - 2x^3 + 2x}{(x^2+1)^2} = \frac{4x}{(x^2+1)^2}$

Теперь найдем значение производной в точке $x=1$:

$f'(1) = \frac{4 \cdot 1}{(1^2+1)^2} = \frac{4}{(1+1)^2} = \frac{4}{2^2} = \frac{4}{4} = 1$

Ответ: $1$.

2) Для функции $f(x) = \frac{2x^2}{1-7x}$ также используем правило дифференцирования частного.

Пусть $u(x) = 2x^2$ и $v(x) = 1 - 7x$.

Найдем их производные:

$u'(x) = (2x^2)' = 4x$

$v'(x) = (1 - 7x)' = -7$

Подставляем в формулу производной частного:

$f'(x) = \frac{(4x)(1-7x) - (2x^2)(-7)}{(1-7x)^2}$

Упростим числитель:

$f'(x) = \frac{4x - 28x^2 + 14x^2}{(1-7x)^2} = \frac{4x - 14x^2}{(1-7x)^2}$

Теперь найдем значение производной в точке $x=1$:

$f'(1) = \frac{4 \cdot 1 - 14 \cdot 1^2}{(1 - 7 \cdot 1)^2} = \frac{4 - 14}{(1 - 7)^2} = \frac{-10}{(-6)^2} = \frac{-10}{36}$

Сократим дробь:

$f'(1) = -\frac{10}{36} = -\frac{5}{18}$

Ответ: $-\frac{5}{18}$.

Помогло решение? Оставьте отзыв в комментариях ниже.

Присоединяйтесь к Телеграм-группе @top_gdz

Присоединиться

Мы подготовили для вас ответ c подробным объяснением домашего задания по алгебре за 10-11 класс, для упражнения номер 815 расположенного на странице 244 к учебнику 2014 года издания для учащихся школ и гимназий.

Теперь на нашем сайте ГДЗ.ТОП вы всегда легко и бесплатно найдёте условие с правильным ответом на вопрос «Как решить ДЗ» и «Как сделать» задание по алгебре к упражнению №815 (с. 244), авторов: Алимов (Шавкат Арифджанович), Колягин (Юрий Михайлович), Ткачева (Мария Владимировна), Федорова (Надежда Евгеньевна), Шабунин (Михаил Иванович), ФГОС (старый) базовый и углублённый уровень обучения учебного пособия издательства Просвещение.