Номер 814, страница 244 - гдз по алгебре 10-11 класс учебник Алимов, Колягин

Алгебра, 10-11 класс Учебник, авторы: Алимов Шавкат Арифджанович, Колягин Юрий Михайлович, Ткачева Мария Владимировна, Федорова Надежда Евгеньевна, Шабунин Михаил Иванович, издательство Просвещение, Москва, 2014

Авторы: Алимов Ш. А., Колягин Ю. М., Ткачева М. В., Федорова Н. Е., Шабунин М. И.

Тип: Учебник

Издательство: Просвещение

Год издания: 2014 - 2026

Уровень обучения: базовый и углублённый

Цвет обложки: синий, фиолетовый

ISBN: 978-5-09-112136-0

Допущено Министерством просвещения Российской Федерации

Математика: алгебра и начала математического анализа, геометрия

Глава 8. Производная и её геометрический смысл. Параграф 46. Правила дифференцирования - номер 814, страница 244.

№814 (с. 244)
Условие. №814 (с. 244)
скриншот условия
Алгебра, 10-11 класс Учебник, авторы: Алимов Шавкат Арифджанович, Колягин Юрий Михайлович, Ткачева Мария Владимировна, Федорова Надежда Евгеньевна, Шабунин Михаил Иванович, издательство Просвещение, Москва, 2014, страница 244, номер 814, Условие

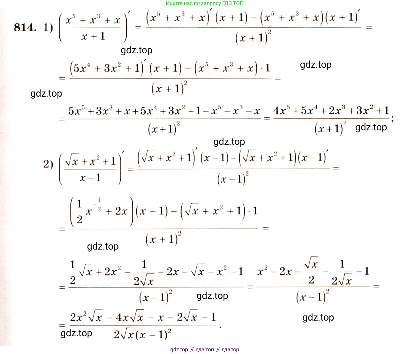
814 Найти производную функции:

1) $\frac{x^5 + x^3 + x}{x+1}$;

2) $\frac{\sqrt{x+x^2+1}}{x-1}$.

Решение 1. №814 (с. 244)
Алгебра, 10-11 класс Учебник, авторы: Алимов Шавкат Арифджанович, Колягин Юрий Михайлович, Ткачева Мария Владимировна, Федорова Надежда Евгеньевна, Шабунин Михаил Иванович, издательство Просвещение, Москва, 2014, страница 244, номер 814, Решение 1
Алгебра, 10-11 класс Учебник, авторы: Алимов Шавкат Арифджанович, Колягин Юрий Михайлович, Ткачева Мария Владимировна, Федорова Надежда Евгеньевна, Шабунин Михаил Иванович, издательство Просвещение, Москва, 2014, страница 244, номер 814, Решение 1 (продолжение 2)
Решение 2. №814 (с. 244)
Алгебра, 10-11 класс Учебник, авторы: Алимов Шавкат Арифджанович, Колягин Юрий Михайлович, Ткачева Мария Владимировна, Федорова Надежда Евгеньевна, Шабунин Михаил Иванович, издательство Просвещение, Москва, 2014, страница 244, номер 814, Решение 2
Алгебра, 10-11 класс Учебник, авторы: Алимов Шавкат Арифджанович, Колягин Юрий Михайлович, Ткачева Мария Владимировна, Федорова Надежда Евгеньевна, Шабунин Михаил Иванович, издательство Просвещение, Москва, 2014, страница 244, номер 814, Решение 2 (продолжение 2)
Решение 3. №814 (с. 244)
Алгебра, 10-11 класс Учебник, авторы: Алимов Шавкат Арифджанович, Колягин Юрий Михайлович, Ткачева Мария Владимировна, Федорова Надежда Евгеньевна, Шабунин Михаил Иванович, издательство Просвещение, Москва, 2014, страница 244, номер 814, Решение 3
Решение 4. №814 (с. 244)
Алгебра, 10-11 класс Учебник, авторы: Алимов Шавкат Арифджанович, Колягин Юрий Михайлович, Ткачева Мария Владимировна, Федорова Надежда Евгеньевна, Шабунин Михаил Иванович, издательство Просвещение, Москва, 2014, страница 244, номер 814, Решение 4
Решение 5. №814 (с. 244)
Алгебра, 10-11 класс Учебник, авторы: Алимов Шавкат Арифджанович, Колягин Юрий Михайлович, Ткачева Мария Владимировна, Федорова Надежда Евгеньевна, Шабунин Михаил Иванович, издательство Просвещение, Москва, 2014, страница 244, номер 814, Решение 5 Алгебра, 10-11 класс Учебник, авторы: Алимов Шавкат Арифджанович, Колягин Юрий Михайлович, Ткачева Мария Владимировна, Федорова Надежда Евгеньевна, Шабунин Михаил Иванович, издательство Просвещение, Москва, 2014, страница 244, номер 814, Решение 5 (продолжение 2)
Решение 7. №814 (с. 244)
Алгебра, 10-11 класс Учебник, авторы: Алимов Шавкат Арифджанович, Колягин Юрий Михайлович, Ткачева Мария Владимировна, Федорова Надежда Евгеньевна, Шабунин Михаил Иванович, издательство Просвещение, Москва, 2014, страница 244, номер 814, Решение 7
Решение 8. №814 (с. 244)
1)

Для нахождения производной функции $y = \frac{x^5 + x^3 + x}{x + 1}$ воспользуемся правилом дифференцирования частного (правилом дроби):

$(\frac{u}{v})' = \frac{u'v - uv'}{v^2}$

В нашем случае $u(x) = x^5 + x^3 + x$ и $v(x) = x + 1$.

Найдем производные $u'(x)$ и $v'(x)$:

$u'(x) = (x^5 + x^3 + x)' = 5x^4 + 3x^2 + 1$

$v'(x) = (x + 1)' = 1$

Подставим эти выражения в формулу для производной частного:

$y' = \frac{(5x^4 + 3x^2 + 1)(x + 1) - (x^5 + x^3 + x)(1)}{(x + 1)^2}$

Раскроем скобки в числителе:

$(5x^4 + 3x^2 + 1)(x + 1) = 5x^5 + 5x^4 + 3x^3 + 3x^2 + x + 1$

Теперь упростим весь числитель:

$(5x^5 + 5x^4 + 3x^3 + 3x^2 + x + 1) - (x^5 + x^3 + x) = 5x^5 + 5x^4 + 3x^3 + 3x^2 + x + 1 - x^5 - x^3 - x = 4x^5 + 5x^4 + 2x^3 + 3x^2 + 1$

Таким образом, производная функции равна:

$y' = \frac{4x^5 + 5x^4 + 2x^3 + 3x^2 + 1}{(x + 1)^2}$

Ответ: $\frac{4x^5 + 5x^4 + 2x^3 + 3x^2 + 1}{(x + 1)^2}$

2)

Для нахождения производной функции $y = \frac{\sqrt{x + x^2 + 1}}{x - 1}$ также воспользуемся правилом дифференцирования частного:

$(\frac{u}{v})' = \frac{u'v - uv'}{v^2}$

Здесь $u(x) = \sqrt{x + x^2 + 1}$ и $v(x) = x - 1$.

Найдем производную $v'(x)$:

$v'(x) = (x - 1)' = 1$

Для нахождения производной $u'(x)$ используем правило дифференцирования сложной функции (цепное правило). Пусть $f(t) = \sqrt{t}$ и $t(x) = x^2 + x + 1$. Тогда $u'(x) = f'(t(x)) \cdot t'(x)$.

$f'(t) = (\sqrt{t})' = (t^{1/2})' = \frac{1}{2}t^{-1/2} = \frac{1}{2\sqrt{t}}$

$t'(x) = (x^2 + x + 1)' = 2x + 1$

Следовательно, $u'(x) = \frac{1}{2\sqrt{x^2 + x + 1}} \cdot (2x + 1) = \frac{2x + 1}{2\sqrt{x^2 + x + 1}}$

Подставим все найденные производные в формулу для производной частного:

$y' = \frac{(\frac{2x + 1}{2\sqrt{x^2 + x + 1}})(x - 1) - (\sqrt{x^2 + x + 1})(1)}{(x - 1)^2}$

Упростим числитель дроби. Для этого приведем его к общему знаменателю $2\sqrt{x^2 + x + 1}$:

$\frac{(2x + 1)(x - 1) - \sqrt{x^2 + x + 1} \cdot 2\sqrt{x^2 + x + 1}}{2\sqrt{x^2 + x + 1}} = \frac{(2x^2 - 2x + x - 1) - 2(x^2 + x + 1)}{2\sqrt{x^2 + x + 1}}$

Раскроем скобки и приведем подобные слагаемые:

$\frac{2x^2 - x - 1 - 2x^2 - 2x - 2}{2\sqrt{x^2 + x + 1}} = \frac{-3x - 3}{2\sqrt{x^2 + x + 1}} = \frac{-3(x + 1)}{2\sqrt{x^2 + x + 1}}$

Теперь подставим упрощенный числитель обратно в выражение для производной:

$y' = \frac{\frac{-3(x + 1)}{2\sqrt{x^2 + x + 1}}}{(x - 1)^2} = \frac{-3(x + 1)}{2(x - 1)^2\sqrt{x^2 + x + 1}}$

Ответ: $\frac{-3(x + 1)}{2(x - 1)^2\sqrt{x^2 + x + 1}}$

Помогло решение? Оставьте отзыв в комментариях ниже.

Присоединяйтесь к Телеграм-группе @top_gdz

Присоединиться

Мы подготовили для вас ответ c подробным объяснением домашего задания по алгебре за 10-11 класс, для упражнения номер 814 расположенного на странице 244 к учебнику 2014 года издания для учащихся школ и гимназий.

Теперь на нашем сайте ГДЗ.ТОП вы всегда легко и бесплатно найдёте условие с правильным ответом на вопрос «Как решить ДЗ» и «Как сделать» задание по алгебре к упражнению №814 (с. 244), авторов: Алимов (Шавкат Арифджанович), Колягин (Юрий Михайлович), Ткачева (Мария Владимировна), Федорова (Надежда Евгеньевна), Шабунин (Михаил Иванович), ФГОС (старый) базовый и углублённый уровень обучения учебного пособия издательства Просвещение.