Номер 811, страница 243 - гдз по алгебре 10-11 класс учебник Алимов, Колягин

Алгебра, 10-11 класс Учебник, авторы: Алимов Шавкат Арифджанович, Колягин Юрий Михайлович, Ткачева Мария Владимировна, Федорова Надежда Евгеньевна, Шабунин Михаил Иванович, издательство Просвещение, Москва, 2014

Авторы: Алимов Ш. А., Колягин Ю. М., Ткачева М. В., Федорова Н. Е., Шабунин М. И.

Тип: Учебник

Издательство: Просвещение

Год издания: 2014 - 2025

Уровень обучения: базовый и углублённый

Цвет обложки: синий, фиолетовый

ISBN: 978-5-09-112136-0

Допущено Министерством просвещения Российской Федерации

Математика: алгебра и начала математического анализа, геометрия

Популярные ГДЗ в 10 классе

Глава 8. Производная и её геометрический смысл. Параграф 46. Правила дифференцирования - номер 811, страница 243.

№811 (с. 243)
Условие. №811 (с. 243)
скриншот условия
Алгебра, 10-11 класс Учебник, авторы: Алимов Шавкат Арифджанович, Колягин Юрий Михайлович, Ткачева Мария Владимировна, Федорова Надежда Евгеньевна, Шабунин Михаил Иванович, издательство Просвещение, Москва, 2014, страница 243, номер 811, Условие

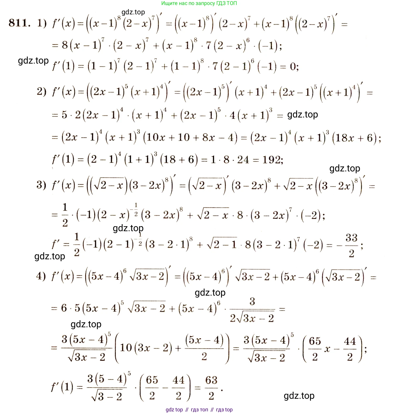
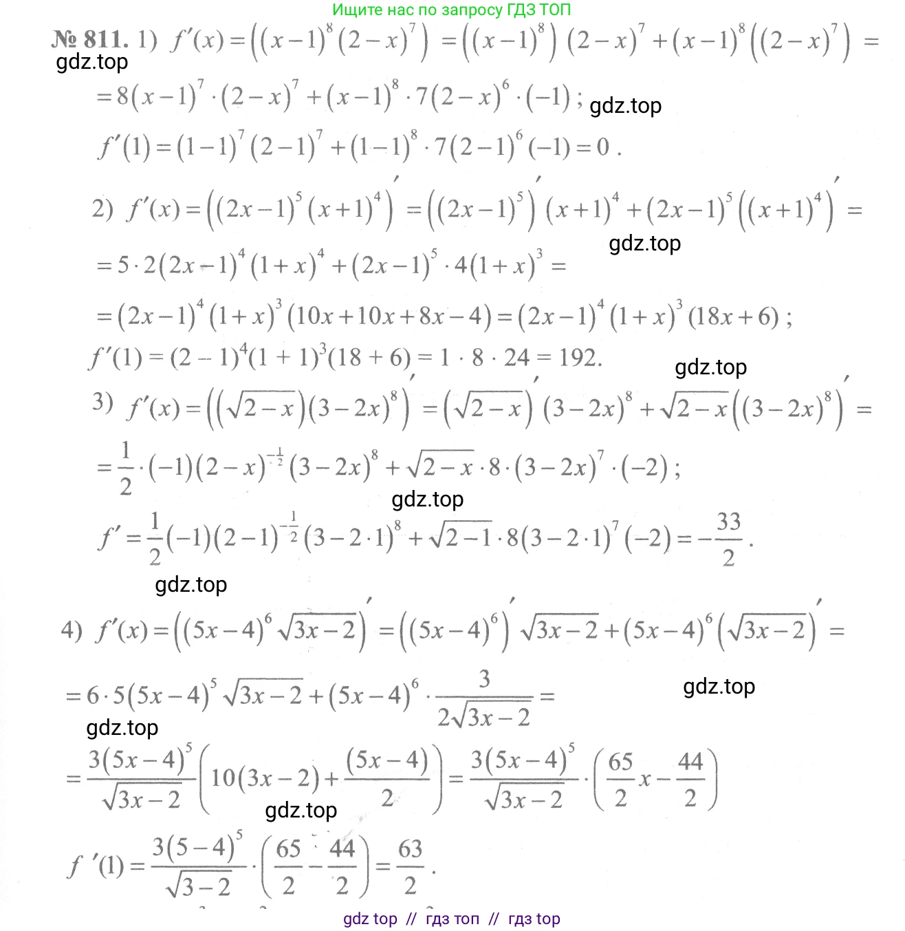
811 Найти $f'(1)$, если:

1) $f(x) = (x - 1)^8 (2 - x)^7;$

2) $f(x) = (2x - 1)^5 (1 + x)^4;$

3) $f(x) = \sqrt{2 - x} (3 - 2x)^8;$

4) $f(x) = (5x - 4)^6 \sqrt{3x - 2}.$

Решение 1. №811 (с. 243)
Алгебра, 10-11 класс Учебник, авторы: Алимов Шавкат Арифджанович, Колягин Юрий Михайлович, Ткачева Мария Владимировна, Федорова Надежда Евгеньевна, Шабунин Михаил Иванович, издательство Просвещение, Москва, 2014, страница 243, номер 811, Решение 1
Алгебра, 10-11 класс Учебник, авторы: Алимов Шавкат Арифджанович, Колягин Юрий Михайлович, Ткачева Мария Владимировна, Федорова Надежда Евгеньевна, Шабунин Михаил Иванович, издательство Просвещение, Москва, 2014, страница 243, номер 811, Решение 1 (продолжение 2)
Алгебра, 10-11 класс Учебник, авторы: Алимов Шавкат Арифджанович, Колягин Юрий Михайлович, Ткачева Мария Владимировна, Федорова Надежда Евгеньевна, Шабунин Михаил Иванович, издательство Просвещение, Москва, 2014, страница 243, номер 811, Решение 1 (продолжение 3)
Алгебра, 10-11 класс Учебник, авторы: Алимов Шавкат Арифджанович, Колягин Юрий Михайлович, Ткачева Мария Владимировна, Федорова Надежда Евгеньевна, Шабунин Михаил Иванович, издательство Просвещение, Москва, 2014, страница 243, номер 811, Решение 1 (продолжение 4)
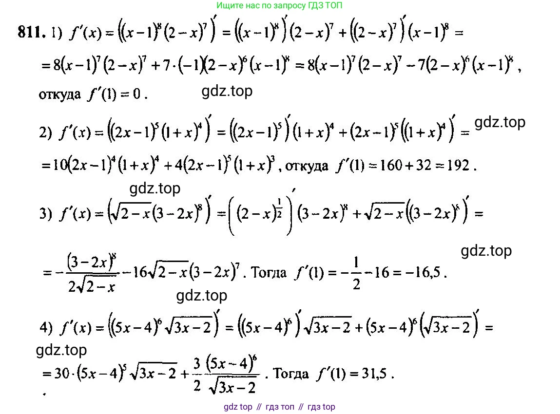
Решение 2. №811 (с. 243)
Алгебра, 10-11 класс Учебник, авторы: Алимов Шавкат Арифджанович, Колягин Юрий Михайлович, Ткачева Мария Владимировна, Федорова Надежда Евгеньевна, Шабунин Михаил Иванович, издательство Просвещение, Москва, 2014, страница 243, номер 811, Решение 2
Алгебра, 10-11 класс Учебник, авторы: Алимов Шавкат Арифджанович, Колягин Юрий Михайлович, Ткачева Мария Владимировна, Федорова Надежда Евгеньевна, Шабунин Михаил Иванович, издательство Просвещение, Москва, 2014, страница 243, номер 811, Решение 2 (продолжение 2)
Решение 4. №811 (с. 243)
Алгебра, 10-11 класс Учебник, авторы: Алимов Шавкат Арифджанович, Колягин Юрий Михайлович, Ткачева Мария Владимировна, Федорова Надежда Евгеньевна, Шабунин Михаил Иванович, издательство Просвещение, Москва, 2014, страница 243, номер 811, Решение 4
Решение 5. №811 (с. 243)
Алгебра, 10-11 класс Учебник, авторы: Алимов Шавкат Арифджанович, Колягин Юрий Михайлович, Ткачева Мария Владимировна, Федорова Надежда Евгеньевна, Шабунин Михаил Иванович, издательство Просвещение, Москва, 2014, страница 243, номер 811, Решение 5
Решение 7. №811 (с. 243)
Алгебра, 10-11 класс Учебник, авторы: Алимов Шавкат Арифджанович, Колягин Юрий Михайлович, Ткачева Мария Владимировна, Федорова Надежда Евгеньевна, Шабунин Михаил Иванович, издательство Просвещение, Москва, 2014, страница 243, номер 811, Решение 7 Алгебра, 10-11 класс Учебник, авторы: Алимов Шавкат Арифджанович, Колягин Юрий Михайлович, Ткачева Мария Владимировна, Федорова Надежда Евгеньевна, Шабунин Михаил Иванович, издательство Просвещение, Москва, 2014, страница 243, номер 811, Решение 7 (продолжение 2)
Решение 8. №811 (с. 243)

1) Дана функция $f(x) = (x - 1)^8 (2 - x)^7$.

Для нахождения производной $f'(x)$ воспользуемся правилом дифференцирования произведения двух функций: $(uv)' = u'v + uv'$.

Пусть $u(x) = (x - 1)^8$ и $v(x) = (2 - x)^7$.

Найдем производные $u'(x)$ и $v'(x)$ по правилу дифференцирования сложной функции:

$u'(x) = ((x - 1)^8)' = 8(x - 1)^{8-1} \cdot (x - 1)' = 8(x - 1)^7 \cdot 1 = 8(x - 1)^7$.

$v'(x) = ((2 - x)^7)' = 7(2 - x)^{7-1} \cdot (2 - x)' = 7(2 - x)^6 \cdot (-1) = -7(2 - x)^6$.

Теперь подставим найденные производные в формулу производной произведения:

$f'(x) = u'(x)v(x) + u(x)v'(x) = 8(x - 1)^7 (2 - x)^7 + (x - 1)^8 (-7(2 - x)^6)$.

Нам нужно найти значение производной в точке $x = 1$. Подставим $x = 1$ в выражение для $f'(x)$:

$f'(1) = 8(1 - 1)^7 (2 - 1)^7 + (1 - 1)^8 (-7(2 - 1)^6)$.

$f'(1) = 8(0)^7 (1)^7 + (0)^8 (-7(1)^6) = 8 \cdot 0 \cdot 1 + 0 \cdot (-7) = 0 + 0 = 0$.

Ответ: 0

2) Дана функция $f(x) = (2x - 1)^5 (1 + x)^4$.

Используем правило дифференцирования произведения $(uv)' = u'v + uv'$.

Пусть $u(x) = (2x - 1)^5$ и $v(x) = (1 + x)^4$.

Найдем их производные:

$u'(x) = ((2x - 1)^5)' = 5(2x - 1)^{5-1} \cdot (2x - 1)' = 5(2x - 1)^4 \cdot 2 = 10(2x - 1)^4$.

$v'(x) = ((1 + x)^4)' = 4(1 + x)^{4-1} \cdot (1 + x)' = 4(1 + x)^3 \cdot 1 = 4(1 + x)^3$.

Подставим в формулу производной произведения:

$f'(x) = 10(2x - 1)^4 (1 + x)^4 + (2x - 1)^5 \cdot 4(1 + x)^3$.

Теперь вычислим значение производной в точке $x = 1$:

$f'(1) = 10(2 \cdot 1 - 1)^4 (1 + 1)^4 + (2 \cdot 1 - 1)^5 \cdot 4(1 + 1)^3$.

$f'(1) = 10(1)^4 (2)^4 + (1)^5 \cdot 4(2)^3 = 10 \cdot 1 \cdot 16 + 1 \cdot 4 \cdot 8 = 160 + 32 = 192$.

Ответ: 192

3) Дана функция $f(x) = \sqrt{2 - x(3 - 2x)^8}$.

Эту функцию можно представить как $f(x) = (2 - x(3 - 2x)^8)^{1/2}$. Для нахождения производной воспользуемся правилом дифференцирования сложной функции (цепным правилом): $(g(h(x)))' = g'(h(x)) \cdot h'(x)$.

Производная внешней функции-корня: $(\sqrt{u})' = \frac{1}{2\sqrt{u}}$.

Производная внутренней функции $h(x) = 2 - x(3 - 2x)^8$ находится с помощью правила произведения для второго слагаемого:

$h'(x) = (2 - x(3 - 2x)^8)' = 0 - ((x)'(3 - 2x)^8 + x((3 - 2x)^8)')$.

$h'(x) = -(1 \cdot (3 - 2x)^8 + x \cdot 8(3 - 2x)^7 \cdot (3 - 2x)')$.

$h'(x) = -((3 - 2x)^8 + 8x(3 - 2x)^7 \cdot (-2)) = -(3 - 2x)^8 + 16x(3 - 2x)^7$.

Теперь соберем производную $f'(x)$:

$f'(x) = \frac{1}{2\sqrt{2 - x(3 - 2x)^8}} \cdot (-(3 - 2x)^8 + 16x(3 - 2x)^7)$.

Вычислим значение производной в точке $x = 1$:

Сначала вычислим значение числителя при $x=1$:

$-(3 - 2 \cdot 1)^8 + 16 \cdot 1 \cdot (3 - 2 \cdot 1)^7 = -(1)^8 + 16 \cdot (1)^7 = -1 + 16 = 15$.

Теперь вычислим значение знаменателя при $x=1$:

$2\sqrt{2 - 1 \cdot (3 - 2 \cdot 1)^8} = 2\sqrt{2 - 1 \cdot (1)^8} = 2\sqrt{2 - 1} = 2\sqrt{1} = 2$.

Таким образом, $f'(1) = \frac{15}{2} = 7.5$.

Ответ: 7.5

4) Дана функция $f(x) = (5x - 4)^6 \sqrt{3x - 2}$.

Используем правило дифференцирования произведения $(uv)' = u'v + uv'$.

Пусть $u(x) = (5x - 4)^6$ и $v(x) = \sqrt{3x - 2} = (3x - 2)^{1/2}$.

Найдем их производные:

$u'(x) = ((5x - 4)^6)' = 6(5x - 4)^5 \cdot (5x - 4)' = 6(5x - 4)^5 \cdot 5 = 30(5x - 4)^5$.

$v'(x) = (\sqrt{3x - 2})' = \frac{1}{2\sqrt{3x - 2}} \cdot (3x - 2)' = \frac{1}{2\sqrt{3x - 2}} \cdot 3 = \frac{3}{2\sqrt{3x - 2}}$.

Подставим в формулу производной произведения:

$f'(x) = 30(5x - 4)^5 \sqrt{3x - 2} + (5x - 4)^6 \frac{3}{2\sqrt{3x - 2}}$.

Теперь вычислим значение производной в точке $x = 1$:

$f'(1) = 30(5 \cdot 1 - 4)^5 \sqrt{3 \cdot 1 - 2} + (5 \cdot 1 - 4)^6 \frac{3}{2\sqrt{3 \cdot 1 - 2}}$.

$f'(1) = 30(1)^5 \sqrt{1} + (1)^6 \frac{3}{2\sqrt{1}} = 30 \cdot 1 \cdot 1 + 1 \cdot \frac{3}{2} = 30 + \frac{3}{2}$.

$f'(1) = 30 + 1.5 = 31.5$.

Ответ: 31.5

Помогло решение? Оставьте отзыв в комментариях ниже.

Присоединяйтесь к Телеграм-группе @top_gdz

Присоединиться

Мы подготовили для вас ответ c подробным объяснением домашего задания по алгебре за 10-11 класс, для упражнения номер 811 расположенного на странице 243 к учебнику 2014 года издания для учащихся школ и гимназий.

Теперь на нашем сайте ГДЗ.ТОП вы всегда легко и бесплатно найдёте условие с правильным ответом на вопрос «Как решить ДЗ» и «Как сделать» задание по алгебре к упражнению №811 (с. 243), авторов: Алимов (Шавкат Арифджанович), Колягин (Юрий Михайлович), Ткачева (Мария Владимировна), Федорова (Надежда Евгеньевна), Шабунин (Михаил Иванович), ФГОС (старый) базовый и углублённый уровень обучения учебного пособия издательства Просвещение.